Bulletin of Botanical Research ›› 2026, Vol. 46 ›› Issue (1): 91-100.doi: 10.7525/j.issn.1673-5102.2026.01.008
• Original Paper • Previous Articles Next Articles
Chengming XIONG1, Qiaoxin WANG1, Liming HE1,2, Jianfei LIU1, Guangzhou PENG1, Anhong HU3, Xinyu LI4, Yaguang ZHAN1,2(
)
Received:2025-09-11
Online:2026-01-20
Published:2026-01-20
Contact:
Yaguang ZHAN
E-mail:yaguangzhan@126.com
CLC Number:
Chengming XIONG, Qiaoxin WANG, Liming HE, Jianfei LIU, Guangzhou PENG, Anhong HU, Xinyu LI, Yaguang ZHAN. Impact of Rejuvenation Measures on Growth and Tissue Culture Regeneration of Fraxinus mandshurica[J]. Bulletin of Botanical Research, 2026, 46(1): 91-100.
Add to citation manager EndNote|Ris|BibTeX
URL: https://bbr.nefu.edu.cn/EN/10.7525/j.issn.1673-5102.2026.01.008
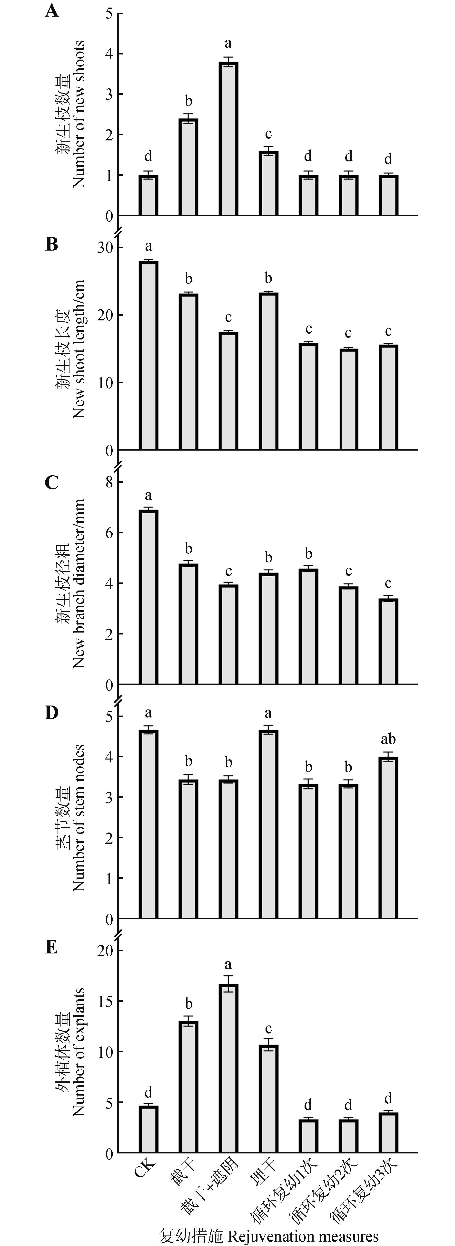
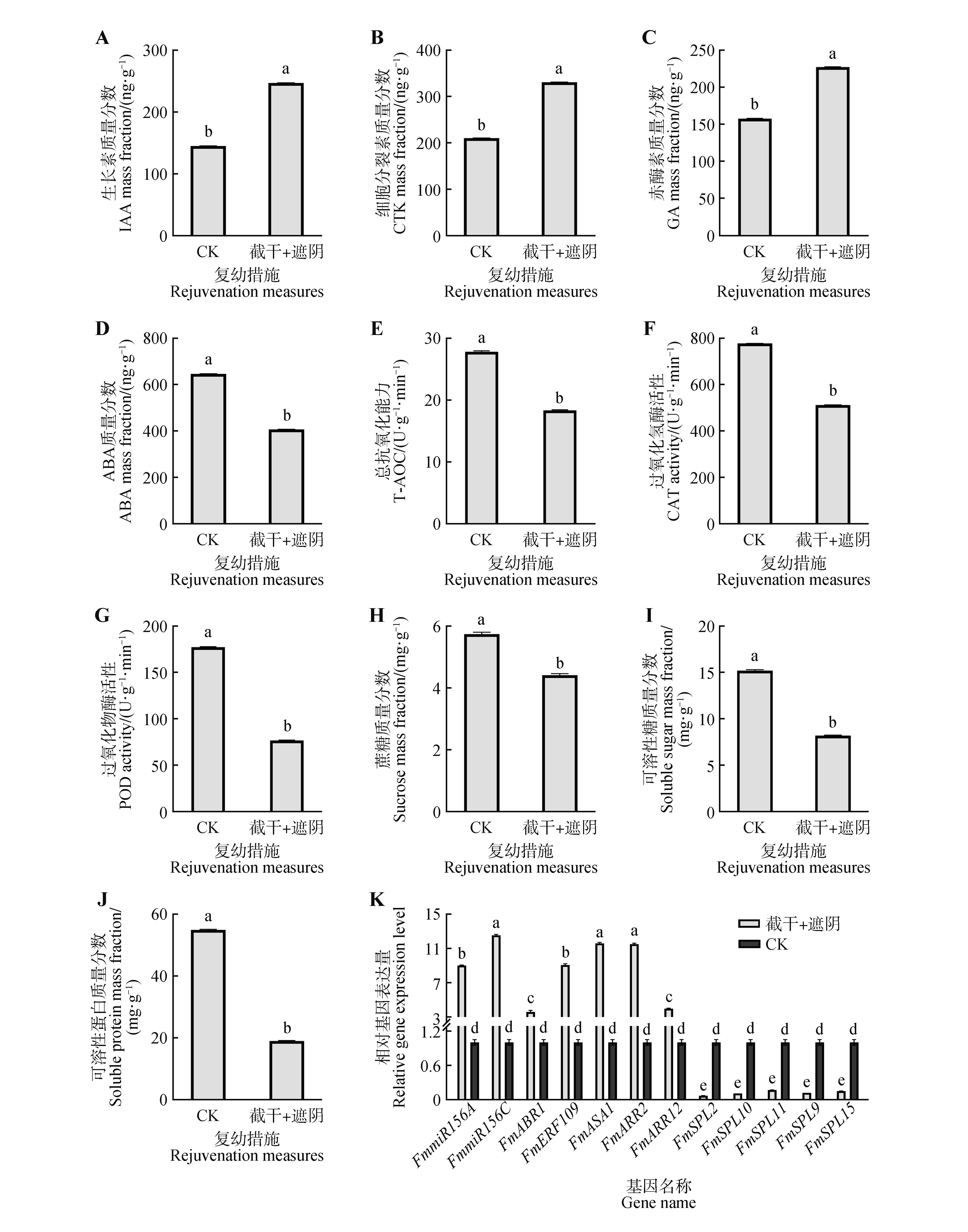
Table 1
The membership function analysis of the regeneration capacity indicators of Fraxinus mandshurica tissue culture under different rejuvenation treatments
不同复幼处理 Different rejuvenation treatments | 外植体启动率 Explant initiation rate/% | 芽分化率 Differentiation rate/% | 分化芽数量 Number of differentiated buds | 增殖系数 Propagation coefficient | 隶属函数值 D | 排名 Ranking |
|---|---|---|---|---|---|---|
截干+遮阴 Trunk cutting+shading | 82.42 | 61.11 | 5.67 | 6.00 | 0.99 | 1 |
循环3次 Three cycles of rejuvenation | 82.59 | 63.33 | 6.33 | 6.63 | 0.76 | 2 |
截干 Trunk cutting | 74.03 | 44.44 | 4.33 | 4.23 | 0.76 | 3 |
埋干 Stem layering for shoot regeneration | 85.74 | 25.56 | 1.33 | 3.77 | 0.63 | 4 |
循环2次 Two cycles of rejuvenation | 70.37 | 55.56 | 4.67 | 5.87 | 0.61 | 5 |
循环1次 One cycle of rejuvenation | 56.30 | 34.44 | 2.67 | 4.43 | 0.41 | 6 |
未处理 CK | 25.30 | 9.90 | 1.33 | 0 | 0.09 | 7 |
| [1] | 张鹏.不同发育阶段水曲柳种子的休眠与萌发生理[D].哈尔滨:东北林业大学,2008. |
| ZHANG P.The dormancy and germination physiology of Manchurian ash seeds in different development stage[D].Harbin:Northeast Forestry University,2008. | |
| [2] | 刘婷,李明月,朱美如,等.不同水曲柳无性系种子休眠差异[J].植物研究,2024,44(5):711-720. |
| LIU T, LI M Y, ZHU M R,et al.Differences in seed dormancy among different clones of Fraxinus mandshurica [J].Bulletin of Botanical Research,2024,44(5):711-720. | |
| [3] | 丁一巍.水曲柳组培苗生根技术研究及根发育基因PLT表达分析[D].哈尔滨:东北林业大学,2019. |
| DING Y W.Study on shoot rooting technology in vitro and PLT gene expression analysis during root development of Fraxinus mandshurica [D].Harbin:Northeast Forestry University,2019. | |
| [4] | 郭长花.白杨年龄与位置效应的生理生化机制研究[D].北京:北京林业大学,2008. |
| GUO C H.Study on physiological and biochemical mechanism of age effect and position effect in white poplar[D].Beijing:Beijing Forestry University,2008. | |
| [5] | 苏畅.基于白桦全基因组重亚硫酸盐测序(bisulfite-sequencing)的甲基化图谱分析[D].哈尔滨:东北林业大学,2015. |
| SU C.Shotgun bisulfite sequencing of the Betula platyphylla genome reveals the tree’s DNA methylation patterning[D].Harbin:Northeast Forestry University,2015. | |
| [6] | LIU J F, FU K Z, LI B Y,et al.A novel approach for enhancing sprouting to increase yield and its mechanism in Fraxinus mandshurica Rupr[J].Scientia Horticulturae,2025,339:113897. |
| [7] | 栾启福,姜景民,沈凤强,等.影响杂交松扦插成活率因素的研究[J].中国农学通报,2011,27(16):32-35. |
| LUAN Q F, JIANG J M, SHEN F Q.Study on several factors of influencing survival rate of stem cutting of pine hybrids[J].Chinese Agricultural Science Bulletin,2011,27(16):32-35. | |
| [8] | 黄焱,季孔庶,汤庚国.珍珠黄杨不同扦插继代的荧光特性[J].东北林业大学学报,2008,36(10):9-11. |
| HUANG Y, JI K S, TANG G G.Chlorophyll fluorescence parameters in different successive continuous cutting generations of Buxus sinica var. parvifolia [J].Journal of Northeast Forestry University,2008,36(10):9-11. | |
| [9] | HE L M, YAN J L, LU H,et al.Phenotypic differences of leaves and transcriptome analysis of Fraxinus mandshurica×Fraxinus sogdiana F1 variety[J].Forests,2023,14(8):1554. |
| [10] | 李传胄.水曲柳物候性状高通量评价及萌动差异耐寒杂种优势形成机制研究[D].哈尔滨:东北林业大学,2024. |
| LI C Z.High-throughput evaluation of climatic traits and the formation mechanism of sprouting differential cold-tolerant hybrids in Fraxinus mandshurica [D].Harbin:Northeast Forestry University,2024. | |
| [11] | ZHANG Z J, SUN Y H, LI Y.Plant rejuvenation:from phenotypes to mechanisms[J].Plant Cell Reports,2020,39(10):1249-1262. |
| [12] | 张瑞娥.毛白杨不同优良无性系组培特性的比较研究[D].杨凌:西北农林科技大学,2003. |
| ZHANG R E.A comparatively study on the tissure culture characteristics of Populus tomentosa Carr. clones[D].Yangling:Northwest A&F University,2003. | |
| [13] | 王佳佳,张明如,高磊,等.遮荫和氮素添加对芒萁光合特性与抗氧化酶活性的影响[J].西南林业大学学报(自然科学),2019,39(6):24-32. |
| WANG J J, ZHANG M R, GAO L,et al.Effects of light intensity gradient and nitrogen addition on photosynthetic characteristics and antioxidant enzyme activities of Dicranopteris dichotoma [J].Journal of Southwest Forestry University (Natural Sciences),2019,39(6):24-32. | |
| [14] | 叶洲辰,杨顺,于添化,等.复幼处理对小黑杨叶片营养成分及光合特性的影响[[J].森林工程,2025,41(6):1145-1155. |
| YE Z C, YANG S, YU T H,et al.Effects of rejuvenation treatment on nutritional composition and photosynthetic characteristics of Populus simonii×P.nigra leaves[J].Forest Engineering,2025,41(6):1145-1155. | |
| [15] | 彭广州,刘建飞,王巧欣,等.循环复幼对水曲柳生长繁殖及生理的影响[J].植物研究,2024,44(5):721-729. |
| PENG G Z, LIU J F, WANG Q X,et al.Effects of cycle rejuvenation on growth,reproduction and physiology of Fraxinus mandshurica [J].Bulletin of Botanical Research,2024,44(5):721-729. | |
| [16] | WU G, PARK M Y, CONWAY S R,et al.The sequential action of miR156 and miR172 regulates developmental timing in Arabidopsis [J].Cell,2009,138(4):750-759. |
| [17] | YANG L, XU M L,KOO Y,et al.Sugar promotes vegetative phase change in Arabidopsis thaliana by repressing the expression of MIR156A and MIR156C [J].eLife,2013,2:e00260. |
| [18] | 薛文辉,詹亚光,何利明,等.水曲柳复幼:微繁技术研究[J].林业科技,2016,41(2):4-8. |
| XUE W H, ZHAN Y G, HE L M,et al.Rejuvenation and micropropagation study in Fraxinus mandschurica [J].Forestry Science & Technology,2016,41(2):4-8. | |
| [19] | BHATIA S, SINGH R.Interconversion of free sugars in relation to activities of enzymes catalyzing synthesis and cleavage of sucrose in growing stem tissues of sorghum[J].Indian Journal of Experimental Biology,2001,39(10):1035-1040. |
| [20] | YE B B, SHANG G D, PAN Y,et al.AP2/ERF transcription factors integrate age and wound signals for root regeneration[J].The Plant Cell,2020,32(1):226-241. |
| [21] | ZHANG T Q, LIAN H, TANG H B,et al.An intrinsic microRNA timer regulates progressive decline in shoot regenerative capacity in plants[J].The Plant Cell,2015, 27(2):349-360. |
| [22] | 刘杰,孙宇涵,袁存权,等.林木根萌复幼方式的研究进展[J].分子植物育种,2022,20(14):4867-4872. |
| LIU J, SUN Y H, YUAN C Q,et al.A review for rejuvenation of root-sprout in trees[J].Molecular Plant Breeding,2022,20(14):4867-4872. | |
| [23] | 刘建飞.水曲柳扦插繁殖配套技术及糖代谢调控年龄效应促进生根研究[D].哈尔滨:东北林业大学,2025. |
| LIU J F.Study on a comprehensive technology of cutting propagation and promoting root formation by the age effect regulation on sugar metabolism in Fraxinus mandshurica [D].Harbin:Northeast Forestry University,2025. | |
| [24] | LIVNE S, WEISS D.Cytosolic activity of the gibberellin receptor GIBBERELLIN INSENSITIVE DWARF1A[J].Plant & Cell Physiology,2014,55(10):1727-1733. |
| [25] | 彭广州.循环复幼促进水曲柳扦插生根繁殖研究[D].哈尔滨:东北林业大学,2024. |
| PENG G Z.Study on promoting rooting propagation of Fraxinus mandshurica cutting by cyclic rejuvenation[D].Harbin:Northeast Forestry University,2024. | |
| [26] | 杨舜垚.湿加松平茬复幼机理研究[D].北京:北京林业大学,2022. |
| YANG S Y.The mechanism of Pinus elliottii × P . caribaea rejuvenation after stem pruning[D].Beijing:Beijing Forestry University,2022. | |
| [27] | 刘从,田甜,李珊,等.中国木本植物幼苗生长对光照强度的响应[J].生态学报,2018,38(2):518-527. |
| LIU C, TIAN T, LI S,et al.Growth response of Chinese woody plant seedlings to different light intensities[J].Acta Ecologica Sinica,2018,38(2):518-527. | |
| [28] | YU S, CAO L, ZHOU C M,et al.Sugar is an endogenous cue for juvenile-to-adult phase transition in plants[J].eLife,2013,2:e00269. |
| [29] | 郑万钧.中国树木志:第4卷[M].北京:中国林业出版社,2004:4389-4404. |
| ZHENG W J.Silva Sinica:Vol.4[M].Beijing:China Forestry Publishing House,2004:4389-4404. | |
| [30] | 薛思雷,王庆成,孙欣欣,等.遮荫对水曲柳和蒙古栎光合、生长和生物量分配的影响[J].植物研究,2012,32(3):354-359. |
| XUE S L, WANG Q C, SUN X X,et al.Effects of shading on the photosynthetic characteristics,growth,and biomass allocation in Fraxinus mandshurica and Quercus mongolica [J].Bulletin of Botanical Research,2012,32(3):354-359. | |
| [31] | 孙佳音,杨逢建,庞海河,等.遮荫对南方红豆杉光合特性及生活史型影响[J].植物研究,2007,27(4):439-444. |
| SUN J Y, YANG F J, PANG H H,et al.Effects of shading treatment on photosynthetic response and life cycle form of Taxus chinensis var. mairei [J].Bulletin of Botanical Research,2007,27(4):439-444. | |
| [32] | 陈德良,陶月良,吴友贵,等.遮荫对百山祖冷杉光合特性和叶绿素荧光参数的影响[J].核农学报,2016,30(10):2056-2064. |
| CHEN D L, TAO Y L, WU Y G,et al.Effect of shade on the photosynthetic characteristics and chlorophyll fluorescence parameters of Abies beshanzuensis M.H.Wu.[J].Journal of Nuclear Agricultural Sciences,2016,30(10):2056-2064. |
| [1] | Mengmeng CHENG, Bin GE, Beisen KOU, Wenbin GUAN, Hai LU, Huihong GUO, Hui LI. Identification and Expression Analysis of HDAC and HAT gene families in Xanthoceras sorbifolium [J]. Bulletin of Botanical Research, 2026, 46(1): 51-66. |
| [2] | Yingying FU, Jiahui LAI, Huayi YUAN, Hongya YU, Guanghua LIU, Furong XU. Analysis of Physiological and Biochemical Indexes Changes During Seed Germination of Paris polyphylla var. yunnanensis [J]. Bulletin of Botanical Research, 2025, 45(6): 952-964. |
| [3] | Yingying WANG, Dengli YU, Fengjin QIU, Rongrong YAN, Guoxiong HU. Tissue Culture and Rapid Propagation of Endangered Salvia petrophila [J]. Bulletin of Botanical Research, 2025, 45(4): 558-568. |
| [4] | Qingqing XU, Dehui SUN, Wenmeng WANG, Dangdang LI, Xingguo LAN, Guangchao SUI. Research Progress of Plant Growth, Development and Stress Resistance Traits Regulated by Liquid-liquid Phase Separation-mediated Gene Expression [J]. Bulletin of Botanical Research, 2024, 44(6): 805-811. |
| [5] | Ting LIU, Mingyue LI, Meiru ZHU, Hao XIN, Bowen DONG, Peng ZHANG. Differences in Seed Dormancy Among Different Clones of Fraxinus mandshurica [J]. Bulletin of Botanical Research, 2024, 44(5): 711-720. |
| [6] | Guangzhou PENG, Jianfei LIU, Qiaoxin WANG, Kezhuo FU, Ye ZHANG, Chenxi ZHANG, Yaguang ZHAN. Effects of Cycle Rejuvenation on Growth, Reproduction and Physiology of Fraxinus mandshurica [J]. Bulletin of Botanical Research, 2024, 44(5): 721-729. |
| [7] | Huiling YAN, Xinxin ZHANG, Xiyang ZHAO, Guanzheng QU, Zhaoning WANG, Rui HAN. Effects of Light Signal on Anthocyanin Biosynthesis and Gene Expression of AmRosea1 Overexpressed 84K Poplar [J]. Bulletin of Botanical Research, 2023, 43(6): 815-825. |
| [8] | Xu HE, Yuan GAO, Qunye ZHANG, Chenguang ZHOU, Wei LI, Shuang LI. Establishment and Application of Genetic Transformation System for Populus simonii×P. nigra ‘Baicheng’ [J]. Bulletin of Botanical Research, 2023, 43(5): 667-678. |
| [9] | Chaoran SHAN, Xiaohu CHEN, Yunfei DING, Wei ZHAO, Han LU, Shangzhu GAO, Fenghui QI, Yaguang ZHAN, Fansuo ZENG. Functional Analysis of FmCCoAOMT Gene in Fraxinus mandshurica During Lignin Synthesis and Abiotic Stress [J]. Bulletin of Botanical Research, 2023, 43(5): 768-778. |
| [10] | Lei XU, Xiao XU, Qinsong LIU. Effects of Exogenous Salicylic Acid on Antioxidant System and Gene Expression of Davidia involucrata Seedlings under Salt Stress [J]. Bulletin of Botanical Research, 2023, 43(4): 572-581. |
| [11] | Chunjing JIAO, Mingyue LI, Peng ZHANG. Effects of Exogenous Hormones Soaking and Osmotic Treatment on Thermal Dormancy of Seeds of Fraxinus mandshurica [J]. Bulletin of Botanical Research, 2023, 43(3): 370-378. |
| [12] | Chenjing SHEN, Wenbo WU, Luran GENG, Fulong WANG, Pengzhou ZHAO, Jinhui SONG, Yaguang ZHAN, Jing YIN. Regulatory Effects of Salicylic Acid,Nano-zinc Oxide and Growth-promoting Fungi YZ13-1 on the Resistance to Drought Stress of Fraxinus mandshurica [J]. Bulletin of Botanical Research, 2023, 43(3): 388-395. |
| [13] | Yue REN, Cheng WEI, Tiantian XU, Hailong SHEN, Ling YANG. Effects of Cryopreservation on Physiological and Biochemical Characteristics of Fraxinus mandshurica Embryos [J]. Bulletin of Botanical Research, 2023, 43(3): 396-403. |
| [14] | Hong YANG, Lifeng WANG, Longjun DAI, Bingbing GUO. Effects of Tapping Panel Dryness on Mitochondrial Ultrastructure and ROS Metabolism in Barks of Rubber Tree (Hevea brasiliensis) [J]. Bulletin of Botanical Research, 2023, 43(1): 69-75. |
| [15] | Mengshuo LI, Yingze LIU, Huan LU, Sheng QIANG. Photosynthetic Capacity Differentiation and Gene Transcription in Different Geographical Populations of Arabidopsis thaliana under Common Garden conditions [J]. Bulletin of Botanical Research, 2023, 43(1): 90-99. |
| Viewed | ||||||
|
Full text |
|
|||||
|
Abstract |
|
|||||