植物研究 ›› 2025, Vol. 45 ›› Issue (5): 695-706.doi: 10.7525/j.issn.1673-5102.2025.05.005
赵启泽1, 茶晓飞2, 郑绍傑1, 王元友1, 韦兴兰1, 董琼1(
)
收稿日期:2024-12-10
出版日期:2025-09-20
发布日期:2025-09-28
通讯作者:
董琼
E-mail:dqyeam@swfu.edu.cn
作者简介:赵启泽(1999—),男,硕士研究生,主要从事森林培育研究。
基金资助:
Qize ZHAO1, Xiaofei CHA2, Shaojie ZHENG1, Yuanyou WANG1, Xinglan WEI1, Qiong DONG1(
)
Received:2024-12-10
Online:2025-09-20
Published:2025-09-28
Contact:
Qiong DONG
E-mail:dqyeam@swfu.edu.cn
摘要:
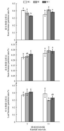
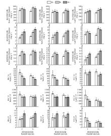
探讨不同降雨变化对白枪杆(Fraxinus malacophylla)幼苗生长及C、N、P化学计量特征的影响,可为白枪杆幼苗在喀斯特植被恢复中的应用提供理论依据。该研究以2年生白枪杆实生苗为对象,通过设置增雨40%、减雨40%、自然降雨3种雨量梯度,以及5 d和10 d 2种降雨时间间隔处理,探究白枪杆幼苗生物量及C、N、P化学计量特征对降雨格局变化的响应。结果表明:(1)延长降雨间隔及减雨处理对白枪杆幼苗、根、茎、叶生物量积累均有抑制作用,而增雨处理则相反;(2)增雨处理下白枪杆幼苗叶C和P含量显著上升(P<0.05),而叶N含量显著下降(P<0.05);减雨处理下,降雨时间间隔为5 d时,根C、N、P,茎C、P和叶C、N含量显著减少(P<0.05);延长降雨间隔,白枪杆幼苗根、茎和叶C、N、P含量均显著下降(P<0.05);(3)减雨和自然降雨下,白枪杆幼苗叶N∶P(质量比)>16,表明生长受P限制;增雨处理下,幼苗叶N∶P为14~16,表明生长受N和P共同限制。白枪杆通过调节各器官生物量积累及C、N、P化学计量特征应对降雨变化。上述结果可为喀斯特地区植被恢复及白枪杆栽培管理提供一定的科学依据。
中图分类号:
赵启泽, 茶晓飞, 郑绍傑, 王元友, 韦兴兰, 董琼. 白枪杆幼苗C、N、P化学计量特征与生物量对降雨变化的响应[J]. 植物研究, 2025, 45(5): 695-706.
Qize ZHAO, Xiaofei CHA, Shaojie ZHENG, Yuanyou WANG, Xinglan WEI, Qiong DONG. Response of Stoichiometric Characteristics of C, N and P and Biomass of Fraxinus malacophylla Seedlings to Rainfall Changes[J]. Bulletin of Botanical Research, 2025, 45(5): 695-706.
表2
降雨量和降雨时间间隔对白枪杆各器官C、N、P含量及其比值的双因素方差分析
元素 Element | 器官 Organ | 降雨量 Rainfall amounts | 降雨时间间隔 Rainfall intervals | 降雨量×降雨时间间隔 Rainfall×rainfall interval |
|---|---|---|---|---|
| C | 根Root | 260.29** | 6.96* | 59.84** |
| 茎Stem | 62.21** | 14.07** | 23.53** | |
| 叶Leaf | 88.07** | 30.41** | 10.08** | |
| N | 根Root | 205.74** | 56.86** | 1.22 |
| 茎Stem | 120.03** | 59.11** | 1.54 | |
| 叶Leaf | 245.21** | 109.41** | 92.89** | |
| P | 根Root | 158.44** | 41.27** | 3.95* |
| 茎Stem | 166.01** | 47.02** | 4.04* | |
| 叶Leaf | 243.88** | 209.64** | 1.74 | |
| C∶N(质量比) | 根Root | 57.43** | 137.14** | 12.02** |
| 茎Stem | 33.90** | 54.25** | 17.65** | |
| 叶Leaf | 4.38 | 57.68** | 31.35** | |
| C∶P(质量比) | 根Root | 26.74** | 29.33** | 8.88* |
| 茎Stem | 12.94** | 48.93** | 3.32 | |
| 叶Leaf | 78.76** | 61.23** | 30.49** | |
| N∶P(质量比) | 根Root | 6.73* | 87.43** | 1.33 |
| 茎Stem | 9.73** | 32.21** | 6.71* | |
| 叶Leaf | 54.97** | 40.74** | 38.43** |
| [1] | IPCC Secretariat.Climate change:a threat to human wellbeing and health of the planet[R].IPCC,2022:1-5. |
| [2] | ADGER N, AGGARWAL P, AGRAWALA S,et al.Climate change 2007:impacts,adaptation and vulnerability-working group Ⅱ contribution to the intergovernmental panel on climate change fourth assessment report[R].[S.l.]:IPCC,2007:1-13. |
| [3] | 王佳敏.不同降雨时间格局下喀斯特异质性生境对桢楠幼苗生理生态和功能性状的影响[D].重庆:西南大学,2021. |
| WANG J M.Effects of karst heterogeneous habitats on the physiological and ecological and functional traits of Phoebe zhennan S.Lee seedlings under different rainfall temporal pattern[D].Chongqing:Southwest University,2021. | |
| [4] | 周双喜,吴冬秀,张琳,等.降雨格局变化对内蒙古典型草原优势种大针茅幼苗的影响[J].植物生态学报,2010,34(10):1155-1164. |
| ZHOU S X, WU D X, ZHANG L,et al.Effects of changing precipitation patterns on seedlings of Stipa grandis,a dominant plant of typical grassland of Inner Mongolia,China[J].Chinese Journal of Plant Ecology,2010,34(10):1155-1164. | |
| [5] | 俞月凤,韦建华,胡钧铭,等.桂西北喀斯特地区退化群落灌草不同器官N、P生态化学计量内稳性特征[J].生态学报,2024,44(12):5367-5376. |
| YU Y F, WEI J H, HU J M,et al.Nitrogen and phosphorus stoichiometric homoeostasis in different organs of shrubs and herbs in degraded vegetation communities in the karst area of northwestern Guangxi[J].Acta Ecologica Sinica,2024,44(12):5367-5376. | |
| [6] | MEUNIER C L, BOERSMA M, EL-SABAAWI R,et al.From elements to function:toward unifying ecological stoichiometry and trait-based ecology[J].Frontiers in Environmental Science,2017,5:18. |
| [7] | QIN H J, JIAO L, ZHOU Y,et al.Elevation affects the ecological stoichiometry of Qinghai spruce in the Qilian Mountains of northwest China[J].Frontiers in Plant Science,2022,13:917755. |
| [8] | ZHENG X F, GAO P X, ZHANG S X.The distribution shifts of Pinus armandii and its response to temperature and precipitation in China[J].PeerJ,2017,5:e3807. |
| [9] | 余逍,刘子琦,喻阳华,等.黔西南石漠化区不同群落土壤碳氮磷垂直分异及化学计量特征[J].西南农业学报,2021,34(10):2231-2239. |
| YU X, LIU Z Q, YU Y H,et al.Vertical differentiation and stoichiometry characteristics of soil carbon,nitrogen and phosphorus in different communities of southwest Guizhou desertification area[J].Southwest China Journal of Agricultural Sciences,2021,34(10):2231-2239. | |
| [10] | 李新乐,李永华,董雪,等.模拟增雨对白刺和油蒿幼苗化学计量特征的影响[J].西北植物学报,2020,40(4):688-696. |
| LI X L, LI Y H, DONG X,et al.Effect of simulated precipitation addition on stoichiometric characteristics of Nitraria tangutorum and Artemisia ordosica seedling[J].Acta Botanica Boreali-Occidentalia Sinica,2020,40(4):688-696. | |
| [11] | 董雪,海鹭,韩春霞,等.干旱区降雨梯度对沙冬青根-茎-叶生态化学计量特征的影响[J].林业科学研究,2023,36(5):60-71. |
| DONG X,HAI L, HAN C X,et al.Effects of precipitation gradient on ecological stoichiometric characteristics in root-stem-leaf of Ammopiptanthus mongolicus in arid region[J].Forest Research,2023,36(5):60-71. | |
| [12] | 董雪,许德浩,韩春霞,等.天然沙冬青器官生态化学计量特征对异质生境的响应[J].生态学报,2024,44(2):858-869. |
| DONG X, XU D H, HAN C X,et al.Responses of ecological stoichiometric characteristics in organs of Ammopiptanthus mongolicus to heterogeneous habitats[J].Acta Ecologica Sinica,2024,44(2):858-869. | |
| [13] | 黄菊莹,余海龙,刘吉利,等.控雨对荒漠草原植物、微生物和土壤C、N、P化学计量特征的影响[J].生态学报,2018,38(15):5362-5373. |
| HUANG J Y, YU H L, LIU J L,et al.Effects of precipitation levels on the C∶N∶P stoichiometry in plants,microbes,and soils in a desert steppe in China[J].Acta Ecologica Sinica,2018,38(15):5362-5373. | |
| [14] | 茶晓飞,董琼,段华超,等.干旱下白枪杆幼苗生物量及生理活性物质对钙添加的适应性调节[J].西北林学院学报,2023,38(3):10-17. |
| CHA X F, DONG Q, DUAN H C,et al.Adaptive regulation of biomass and physiologically active substances in response to calcium addition in Fraxinus malacophylla seedlings under drought[J].Journal of Northwest Forestry University,2023,38(3):10-17. | |
| [15] | 段华超.石漠化地区乡土树种白枪杆幼苗干旱和钙适应性研究[D].昆明:西南林业大学,2021. |
| DUAN H C.Research on the drought and calcium adaptability of native tree species Fraxinus malacophylla seedlings in rocky desertification area[D].Kunming:Southwest Forestry University,2021. | |
| [16] | XU L L, QIAN S, ZHAO X L,et al.Spatio-temporal variation of vegetation ecological quality and its response to climate change in rocky desertification areas in southwest China during 2000–2020[J].Journal of Resources and Ecology,2022,13(1):27-33. |
| [17] | 段燕楠,王占良,王顺金.基于降雨的昆明水库蓄水模式分析及风险研究[J].云南地理环境研究,2019,31(2):13-19. |
| DUAN Y N, WANG Z L, WANG S J.Analysis and risk study on water storage model of Kunming reservoir based on rainfall [J].Yunnan Geographic Environment Research,2019,31(2):13-19. | |
| [18] | 韦兴兰,茶晓飞,罗润文,等.白枪杆幼苗生长及根系形态特征对旱季模拟不同降水变化的响应[J].林草资源研究,2024 (4):103-112. |
| WEI X L, CHA X F, LOU R W,et al.Response of Fraxinus malacophylla seedling growth and root morphological characteristics to simulated variations in precipitation during the dry season[J].Forest and Grassland Resources Research,2024 (4):103-112. | |
| [19] | 刘明翰.基于无有效降水指数的西南地区干旱时空特征分析[D].南宁:南宁师范大学,2020. |
| LIU M H.Spatial-temporal analysis of drought in southwest China based on no effective precipitation index[D].Nanning:Nanning Normal University,2020. | |
| [20] | 韦兴兰,孙丽娟,郭焕仙,等.旱季降雨变化对树番茄苗木生长及化学计量特征影响的模拟研究[J].福建农林大学学报(自然科学版),2024,53(6):825-832. |
| WEI X L, SUN L J, GUO H X,et al.Effect of simulated dry season rainfall variation on growth and stoichiometric characteristics of Cyphomandra betacea seedlings[J].Journal of Fujian Agriculture and Forestry University (Natural Science Edition),2024,53(6):825-832. | |
| [21] | POORTER H, NIKLAS K J, REICH P B,et al.Biomass allocation to leaves,stems and roots:meta-analyses of interspecific variation and environmental control[J].New Phytologist,2012,193(1):30-50. |
| [22] | 胡雯,周小慧,李勤奋,等.旱季降雨格局变化对益智生长和碳氮代谢的影响[J].热带作物学报,2022,43(12):2597-2605. |
| HU W, ZHOU X H, LI Q F,et al.Effects of precipitation pattern change on the growth carbon and nitrogen metabolism of Alpinia oxyphylla during dry season[J].Chinese Journal of Tropical Crops,2022,43(12):2597-2605. | |
| [23] | 杨林,陈默,李海燕,等.模拟降雨格局变化对虎尾草分株和根系特征的影响[J].草业学报,2021,30(1):181-188. |
| YANG L, CHEN M, LI H Y,et al.Effect of simulated changes in rainfall patterns on characteristics of ramets and roots of Chloris virgata [J].Acta Prataculturae Sinica,2021,30(1):181-188. | |
| [24] | 孙洪刚,刘军,董汝湘,等.水分胁迫对毛红椿幼苗生长和生物量分配的影响[J].林业科学研究,2014,27(3):381-387. |
| SUN H G, LIU J, DONG R X,et al.Effects of water stress on seedling growth and biomass allocation of Toona ciliata var.pubescens [J].Forest Research,2014,27(3):381-387. | |
| [25] | 蔡年辉,唐军荣,车凤仙,等.云南松苗木碳氮磷化学计量特征的构件效应[J].东北林业大学学报,2022,50(2):35-42. |
| CAI N H, TANG J R, CHE F X,et al.Effects of stumping treatments on C,N,and P stoichiometry in different organs of Pinus yunnanensis Franch[J].Journal of Northeast Forestry University,2022,50(2):35-42. | |
| [26] | PAN Y D, BIRDSEY R A, FANG J Y,et al.A large and persistent carbon sink in the world’s forests[J].Science,2011,333(6045):988-993. |
| [27] | 王珊,单立山,李毅,等.降水变化对红砂-珍珠碳、氮、磷化学计量特征的影响[J].西北植物学报,2020,40(2):335-344. |
| WANG S, SHAN L S, LI Y,et al.Effect of precipitation on the stoichiometric characteristics of carbon,nitrogen and phosphorus of Reaumuria soongarica and Salsola passerina [J].Acta Botanica Boreali-Occidentalia Sinica,2020,40(2):335-344. | |
| [28] | HE M Z, DIJKSTRA F A.Drought effect on plant nitrogen and phosphorus:a meta-analysis[J].New Phytologist,2014,204(4):924-931. |
| [29] | SCHREEG L A, SANTIAGO L S, WRIGHT S J,et al.Stem,root,and older leaf N∶P ratios are more responsive indicators of soil nutrient availability than new foliage[J].Ecology,2014,95(8):2062-2068. |
| [30] | SELIGMAN N G, SINCLAIR T R.Global environment change and simulated forage quality of wheat Ⅱ.water and nitrogen stress[J].Field Crops Research,1995,40(1):29-37. |
| [31] | 刘立斌,钟巧连,倪健.贵州高原型喀斯特次生林C、N、P生态化学计量特征与储量[J].生态学报,2019,39(22):8606-8614. |
| LIU L B, ZHONG Q L, NI J.Ecosystem C∶N∶P stoichiometry and storages of a secondary plateau-surface karst forest in Guizhou Province,southwestern China[J].Acta Ecologica Sinica,2019,39(22):8606-8614. | |
| [32] | 王亚飞,杨红青,周欧,等.水氮耦合下高密度毛白杨纸浆林树木各器官化学计量特征[J].北京林业大学学报,2023,45(12):68-79. |
| WANG Y F, YANG H Q, ZHOU O,et al.Chemical stoichiometry characteristics of various organs of trees in high-density Populus tomentosa pulp forests under water-nitrogen coupling[J].Journal of Beijing Forestry University,2023,45(12):68-79. | |
| [33] | ÅGREN G I.The C∶N∶P stoichiometry of autotrophs-theory and observations[J].Ecology Letters,2004,7(3):185-191. |
| [34] | STERNER R W, ELSER J J.Ecological stoichiometry:biology of elements from molecules to the biosphere[J].Journal of Plankton Research,2003,25(9):1183. |
| [35] | NIKLAS K J, COBB E D.N,P,and C stoichiometry of Eranthis hyemalis (Ranunculaceae) and the allometry of plant growth[J].American Journal of Botany,2005,92(8):1256-1263. |
| [36] | PEREZ-HARGUINDEGUY N, DÍAZ S, GARNIER E,et al.New handbook for standardised measurement of plant functional traits worldwide[J].Australian Journal of Botany,2013,61(3):167-234. |
| [37] | OLDE VENTERINK H, WASSEN M J, VERKROOST A W M,et al.Species richness-productivity patterns differ between N-,P-,and K-limited wetlands[J].Ecology,2003,84(8):2191-2199. |
| [38] | 陈壹铭,单立山,马静,等.西北干旱区荒漠植物叶片和细根碳、氮、磷化学计量特征[J].生态学报,2024,44(9):3648-3659. |
| CHEN Y M, SHAN L S, MA J,et al.Carbon,nitrogen and phosphorus stoichiometry in leaves and fine roots of desert plants in arid region of northwest China[J].Acta Ecologica Sinica,2024,44(9):3648-3659. | |
| [39] | 熊星烁,蔡宏宇,李耀琪,等.内蒙古典型草原植物叶片碳氮磷化学计量特征的季节动态[J].植物生态学报,2020,44(11):1138-1153. |
| XIONG X S, CAI H Y, LI Y Q,et al.Seasonal dynamics of leaf C,N and P stoichiometry in plants of typical steppe in Nei Mongol,China[J].Chinese Journal of Plant Ecology,2020,44(11):1138-1153. | |
| [40] | REICH P B.The world-wide ‘fast-slow’ plant economics spectrum:a traits manifesto[J].Journal of Ecology,2014,102(2):275-301. |
| [41] | 刘超,王洋,王楠,等.陆地生态系统植被氮磷化学计量研究进展[J].植物生态学报,2012,36(11):1205-1216. |
| LIU C, WANG Y, WANG N,et al.Advances research in plant nitrogen,phosphorus and their stoichiometry in terrestrial ecosystems:a review[J].Chinese Journal of Plant Ecology,2012,36(11):1205-1216. |
| [1] | 张政, 张鹏. 黑龙江西部3种杨树生长及生理特征比较[J]. 植物研究, 2025, 45(5): 807-815. |
| [2] | 杨昕瑜, 张硕, 张曦文, 郑青山, 苏日力格, 谷加存. 白音敖包国家级自然保护区典型乔、灌木叶、枝及细根生态化学计量特征[J]. 植物研究, 2025, 45(5): 795-806. |
| [3] | 罗双, 王邵军, 兰梦杰, 李瑞, 夏佳慧, 杨胜秋, 郭晓飞. 丛枝菌根真菌与白枪杆共生对喀斯特石漠化土壤碳组分含量时空动态的影响[J]. 植物研究, 2025, 45(3): 419-432. |
| [4] | 郭玉伟, 梁晶, 伍海兵, 周传杰, 孙琳琳, 王志保, 李晓茹, 陈祥凤, 李木兰. 鲁西黄泛平原不同林龄杨树人工林碳储量分布格局及影响因素分析[J]. 植物研究, 2025, 45(2): 241-253. |
| [5] | 何昭鑫, 吴连峰, 王永喆, 顾云杰, 赵凤伟, 王兴昌, 王晓春. 大庆城区草地地上生物量时空格局及其与气候因子关系[J]. 植物研究, 2025, 45(1): 34-44. |
| [6] | 聂羽伶, 罗青红, 何苗, 张兆祥. 塔里木河中下游盐碱地2种沙枣林植物-土壤碳氮磷生态化学计量特征[J]. 植物研究, 2025, 45(1): 45-56. |
| [7] | 马雄忠, 熊伟红, 孙哲. 南流江流域白花鬼针草生物量分配及其化学计量特征分析[J]. 植物研究, 2024, 44(6): 852-862. |
| [8] | 李艺雪, 叶冬梅, 郝龙飞, 刘婷岩, 段嘉靖, 聂正英. 土壤灭菌、AM真菌接种与氮添加对柠条根际土壤的影响[J]. 植物研究, 2024, 44(4): 590-601. |
| [9] | 高艳如, 王军辉, 麻文俊, 王福德, 安三平, 谷加存. 不同种源和家系红皮云杉细根形态与生物量垂直分布特征[J]. 植物研究, 2024, 44(3): 380-388. |
| [10] | 夏娟, 孙旭东, 王娜, 李锐, 陈娟, 高国强. 岷江上游干旱河谷地区油松和岷江柏细根生物量和根长密度[J]. 植物研究, 2024, 44(2): 259-266. |
| [11] | 陈志琪, 张海娜, 刘佳丽, 鲁向晖, 杨宝城. 氮添加对稀土尾砂地猴樟幼苗根系生长、生物量分配及非结构性碳水化合物的影响[J]. 植物研究, 2024, 44(1): 86-95. |
| [12] | 李鸿博, 陈诗, 黄耀华, 康定旭, 伍建榕, 马焕成. 横断山脉亚高山带高山栎叶片生态化学计量及内稳性特征[J]. 植物研究, 2023, 43(6): 923-931. |
| [13] | 许吉康, 何炎红, 刘婷岩, 郝龙飞, 张盛晰, 李赵毅. 砒砂岩区不同生态修复植被根际土壤微生态环境特征[J]. 植物研究, 2023, 43(4): 531-539. |
| [14] | 令狐克念, 王姝. 不同生长阶段苘麻生物量分配对种群密度和土壤水分的响应[J]. 植物研究, 2023, 43(2): 272-280. |
| [15] | 苏宇航, 宋晓倩, 郑晶文, 张衷华, 唐中华. 呼伦贝尔盐生藜科植物不同器官C、N、P生态化学计量特征及其与土壤因子的关系[J]. 植物研究, 2022, 42(5): 910-920. |
| 阅读次数 | ||||||
|
全文 |
|
|||||
|
摘要 |
|
|||||