| [1] |
GUBLER F, MILLAR A A, JACOBSEN J V.Dormancy release,ABA and pre-harvest sprouting[J].Current Opinion in Plant Biology,2005,8(2):183-187.
|
| [2] |
BASKIN J M, BASKIN C C.A classification system for seed dormancy[J].Seed Science Research,2004,14(1):1-16.
|
| [3] |
WILLIS C G, BASKIN C C, BASKIN J M,et al.The evolution of seed dormancy:environmental cues,evolutionary hubs,and diversification of the seed plants[J].New Phytologist,2014,203(1):300-309.
|
| [4] |
SOLTANI E, GRUBER S, OVEISI M,et al.Water stress,temperature regimes and light control induction,and loss of secondary dormancy in Brassica napus L. seeds[J].Seed Science Research,2017,27(3):217-230.
|
| [5] |
BATLLA D, BENECH-ARNOLD R L.Predicting changes in dormancy level in weed seed soil banks:implications for weed management[J].Crop Protection,2007,26(3):189-197.
|
| [6] |
FINCH-SAVAGE W E, LEUBNER-METZGER G.Seed dormancy and the control of germination[J].New Phytologist,2006,171(3):501-523.
|
| [7] |
BATLLA D, BENECH-ARNOLD R L.A framework for the interpretation of temperature effects on dormancy and germination in seed populations showing dormancy[J].Seed Science Research,2015,25(2):147-158.
|
| [8] |
KHAN A A.Induction of dormancy in nondormant seeds[J].Journal of the American Society for Horticultural Science,1994,119(3):408-413.
|
| [9] |
刘彦文,李明,姚东伟.引发对莴苣种子萌发及减轻其高温休眠的影响[J].种子,2010,29(10):54-56.
|
|
LIU Y W, LI M, YAO D W.Effects of priming treatment on germination and decreasing dormancy at high temperature of lettuce seed[J].Seed,2010,29(10):54-56.
|
| [10] |
SILVA T A DA, BALDINI L F G, FERREIRA G,et al.Thermoinhibition in parsley seeds[J].Bioscience Journal,2017,33(6):1412-1418.
|
| [11] |
SOLTANI E, BASKIN J M, BASKIN C C.A review of the relationship between primary and secondary dormancy,with reference to the volunteer crop weed oilseed rape (Brassica napus)[J].Weed Research,2019,59(1):5-14.
|
| [12] |
CHAHTANE H, KIM W, LOPEZ-MOLINA L.Primary seed dormancy:a temporally multilayered riddle waiting to be unlocked[J].Journal of Experimental Botany,2017,68(4):857-869.
|
| [13] |
EDWARDS B, BURGHARDT L T, KOVACH K E,et al.Canalization of seasonal phenology in the presence of developmental variation:seed dormancy cycling in an annual weed[J].Integrative and Comparative Biology,2017,57(5):1021-1039.
|
| [14] |
JAGANATHAN G K, BIDDICK M.Critical role of air and soil temperature in the development of primary and secondary physical dormancy in Albizia julibrissin (Fabaceae)[J].Journal of Tropical Ecology,2020,36(6):251-257.
|
| [15] |
LIU L, FAN W Q, LIU F X,et al.Increased BnaMFT-transcript level is associated with secondary dormancy in oilseed rape (Brassica napus L.)[J].Journal of Integrative Agriculture,2020,19(6):1565-1576.
|
| [16] |
NÉE G, OBENG-HINNEH E, SARVARI P,et al.Secondary dormancy in Brassica napus is correlated with enhanced BnaDOG1 transcript levels[J].Seed Science Research,2015,25(2):221-229.
|
| [17] |
BUIJS G.A perspective on secondary seed dormancy in Arabidopsis thaliana [J].Plants,2020,9(6):749.
|
| [18] |
COUGHLAN J M, SAHA A, DONOHUE K.Effects of pre- and post-dispersal temperature on primary and secondary dormancy dynamics in contrasting genotypes of Arabidopsis thaliana (Brassicaceae)[J].Plant Species Biology,2017,32(3):210-222.
|
| [19] |
AUGE G A, BLAIR L K, BURGHARDT L T,et al.Secondary dormancy dynamics depends on primary dormancy status in Arabidopsis thaliana [J].Seed Science Research,2015,25(2):230-246.
|
| [20] |
JAGANATHAN G K.Unravelling the paradox in physically dormant species:elucidating the onset of dormancy after dispersal and dormancy-cycling[J].Annals of Botany,2022,130(2):121-129.
|
| [21] |
全国林草种子标准化技术委员会. 林木种子检验规程: [S].北京:中国标准出版社,1999.
|
|
National Technical Committee for Standardization of Forest and Grass Seeds. Rules for forest tree seed testing: [S].Beijing:China Standards Press,1999.
|
| [22] |
CAO D C, BASKIN C C, BASKIN J M,et al.Dormancy cycling and persistence of seeds in soil of a cold desert halophyte shrub[J].Annals of Botany,2014,113(1):171-179.
|
| [23] |
刘长乐.热水处理对山皂荚种子萌发的影响[J].林业科技,2012,37(1):35-37.
|
|
LIU C L.Effects of hot water treatment on germination and seedling growth of Gleditsia japonica [J].Forestry Science & Technology,2012,37(1):35-37.
|
| [24] |
曹帮华,耿蕴书,牟洪香.刺槐种子硬实破除方法探讨[J].种子,2002(4):22-24.
|
|
CAO B H, GENG Y S, MOU H X.Studies on methods of breaking hard seed of black locust[J].Seed,2002(4):22-24.
|
| [25] |
徐同冰.紫穗槐种子萌发特性研究[J].现代农业科技,2011(7):202-204.
|
|
XU T B.Study on the characteristics of seed germination of Amorpha fruticosa L.[J].Modern Agricultural Science and Technology,2011(7):202-204.
|
| [26] |
PRITCHARD H W, DAWS M I, FLETCHER B J,et al.Ecological correlates of seed desiccation tolerance in tropical African dryland trees[J].American Journal of Botany,2004,91(6):863-870.
|
| [27] |
KILDISHEVA O A, DIXON K W, SILVEIRA F A O,et al.Dormancy and germination:making every seed count in restoration[J].Restoration Ecology,2020,28(S3):S256-S265.
|
| [28] |
袁荣珍,王国宏,唐志尧,等.红皮云杉林的植被分类及其环境解释[J].植物学报,2022,57(4):468-478.
|
|
YUAN R Z, WANG G H, TANG Z Y,et al.The vegetation classification on Picea koraiensis forest alliance and its environmental interpretation[J].Chinese Bulletin of Botany,2022,57(4):468-478.
|
| [29] |
石娇星,许洺山,方晓晨,等.中国东部海岛黑松群落功能多样性的纬度变异及其影响因素[J].植物生态学报,2021,45(2):163-173.
|
|
SHI J X, XU M S, FANG X C,et al.Latitudinal variability and driving factors of functional diversity in Pinus thunbergii communities across sea-islands in Eastern China[J].Chinese Journal of Plant Ecology,2021,45(2):163-173.
|
| [30] |
刘阳,苗晨,王鹤松.气候变化对落叶松人工林在中国适生区分布的影响[J].生态学报,2023,43(23):9686-9698.
|
|
LIU Y, MIAO C, WANG H S.Influence of climate change on distribution of suitable areas of Larix plantation in China[J].Acta Ecologica Sinica,2023,43(23):9686-9698.
|
| [31] |
LUNA B, PIÑAS-BONILLA P, ZAVALA G,et al.Timing of fire during summer determines seed germination in Mediterranean Cistaceae[J].Fire Ecology,2023,19(1):52.
|
| [32] |
WEN Z Z, LU X R, WEN J Q,et al.Physical seed dormancy in legumes:molecular advances and perspectives[J].Plants,2024,13(11):1473.
|
| [33] |
唐兴港,袁颖丹,张金池.气候变化对油松潜在地理分布时空格局的影响[J].东北林业大学学报,2021,49(9):1-7.
|
|
TANG X G, YUAN Y D, ZHANG J C.Simulation of potential spatial-temporal population dynamics of Pinus tabuliformis under climate change[J].Journal of Northeast Forestry University,2021,49(9):1-7.
|
| [34] |
项凤武,姚丛军,刘艳华.花曲柳的分布、生长及天然更新的研究[J].吉林林学院学报,1997,13(4):212-215.
|
|
XIANG F W, YAO C J, LIU Y H.On the distribution growth and natural regeneration of Fraxinus chinensis [J].Journal of Jilin Forestry University,1997,13(4):212-215.
|
| [35] |
滕元文.梨属植物系统发育及东方梨品种起源研究进展[J].果树学报,2017,34(3):370-378.
|
|
TENG Y W.Advances in the research on phylogeny of the genus Pyrus and the origin of pear cultivars native to East Asia[J].Journal of Fruit Science,2017,34(3):370-378.
|
| [36] |
GENEVE R L, BASKIN C C, BASKIN J M,et al.Functional morpho-anatomy of water-gap complexes in physically dormant seed[J].Seed Science Research,2018,28(3):186-191.
|
| [37] |
GEHAN JAYASURIYA K M G, BASKIN J M, BASKIN C C.Sensitivity cycling and its ecological role in seeds with physical dormancy[J].Seed Science Research,2009,19(1):3-13.
|
| [38] |
ZHENG L P, OTANI M, KAWAKAMI N.Assessment of dormancy level and germination ability of seeds with physiological dormancy[J].Methods in Molecular Biology,2024,2830:27-34.
|
| [39] |
LASPINA N V, BATLLA D, BENECH-ARNOLD R L.Dormancy cycling is accompanied by changes in ABA sensitivity in Polygonum aviculare seeds[J].Journal of Experimental Botany,2020,71(19):5924-5934.
|
| [40] |
TOH S, IMAMURA A, WATANABE A,et al.High temperature-induced abscisic acid biosynthesis and its role in the inhibition of gibberellin action in Arabidopsis seeds[J].Plant Physiology,2008,146(3):1368-1385.
|
| [41] |
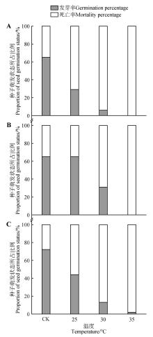
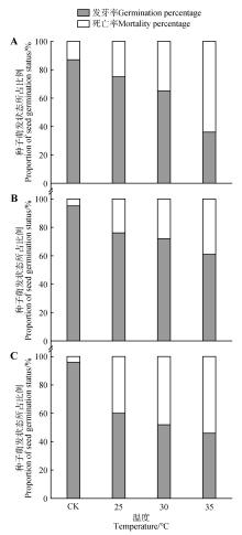
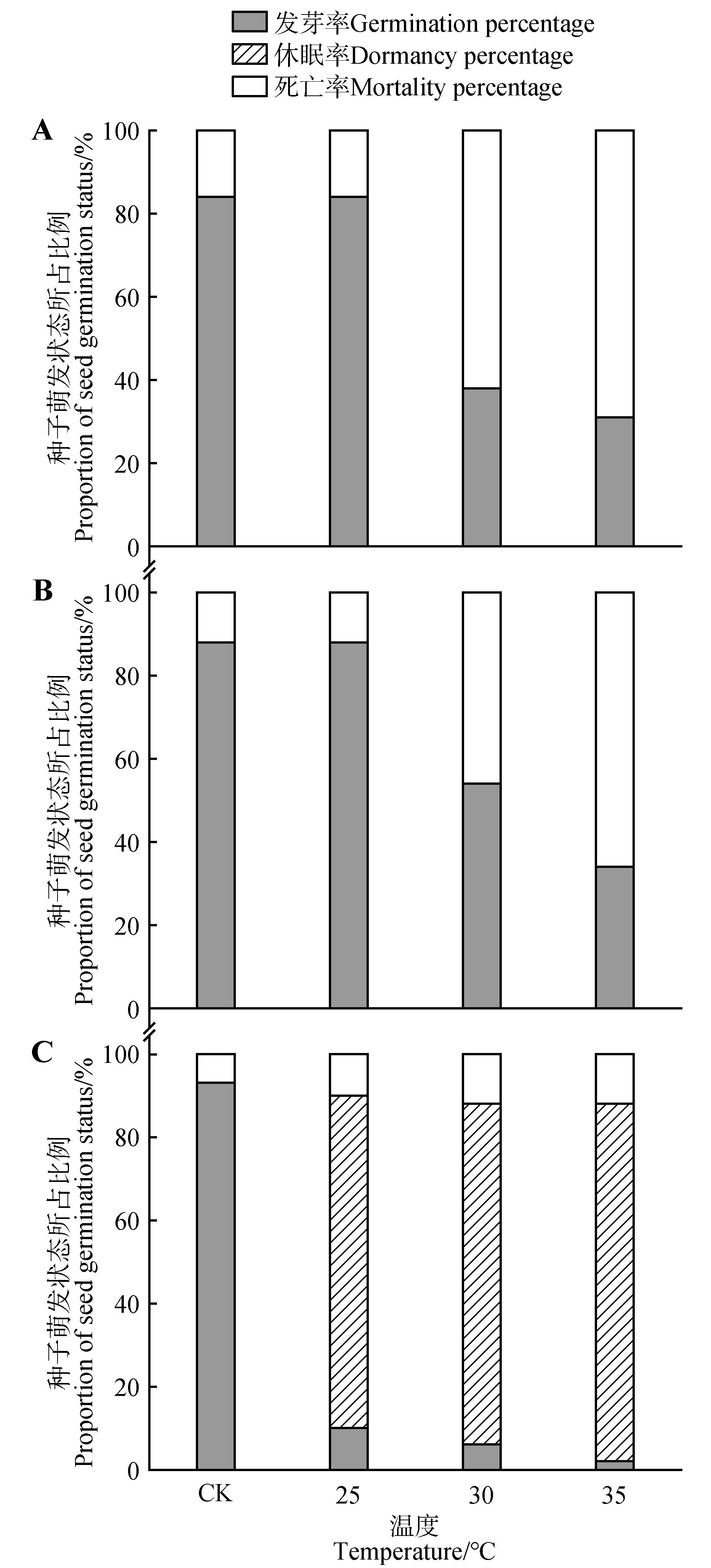
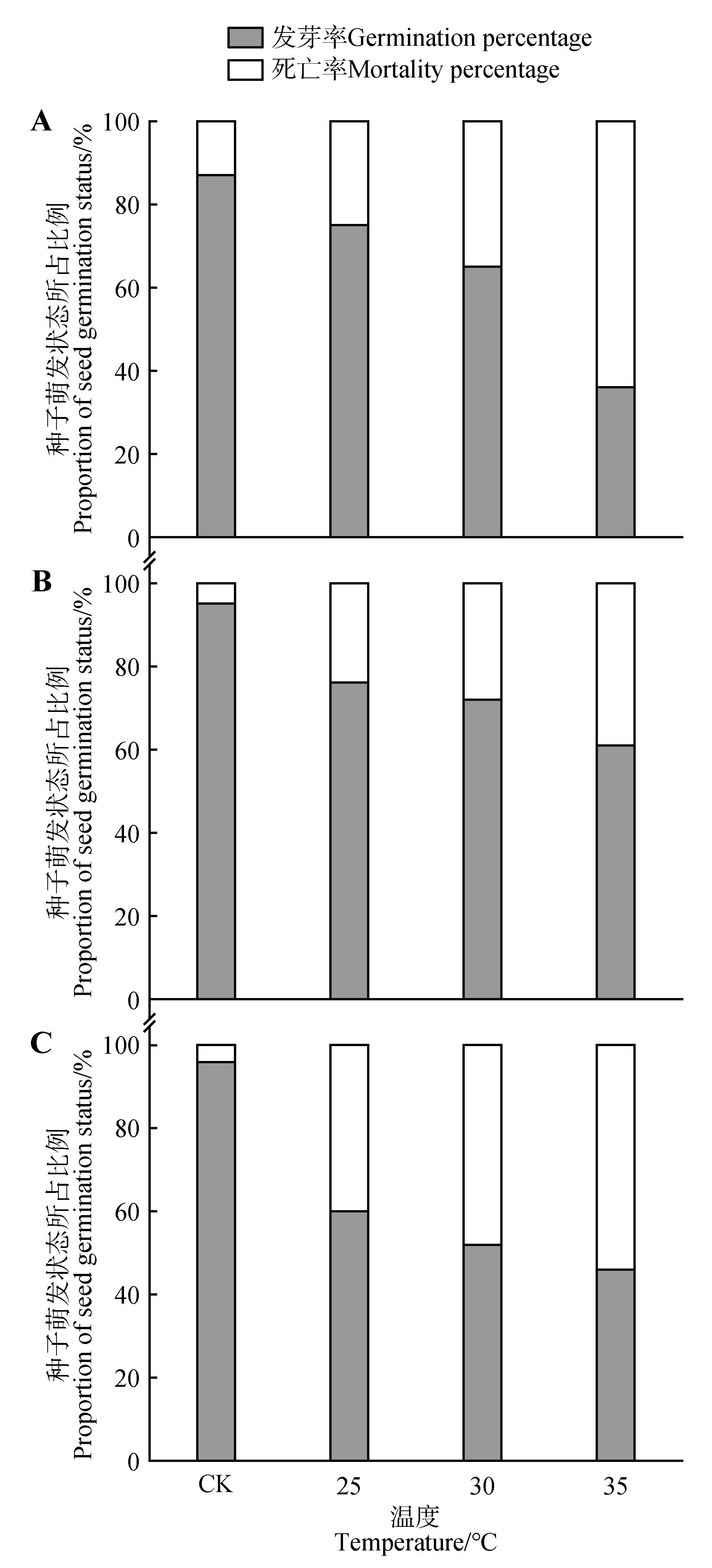
刘卓琳.山梨种子的适宜萌发温度及其种子热休眠机理研究[D].哈尔滨:东北林业大学,2024.
|
|
LIU Z L.Optimum germination temperature and thermodormancy mechanism of Pyrus ussuriensis seeds[D].Harbin:Northeast Forestry University,2024.
|