Bulletin of Botanical Research ›› 2026, Vol. 46 ›› Issue (1): 181-194.doi: 10.7525/j.issn.1673-5102.2026.01.016
• Original Paper • Previous Articles
Jingyifan ZHANG1,2, Yi LI1,2, Xinyi BI1,2, Ji DE1,2, Jifeng ZHANG1,2,3, Xiaofang GUO1,2(
)
Received:2025-07-16
Online:2026-01-20
Published:2026-01-20
Contact:
Xiaofang GUO
E-mail:gxf005@hotmail.com
CLC Number:
Jingyifan ZHANG, Yi LI, Xinyi BI, Ji DE, Jifeng ZHANG, Xiaofang GUO. Diversity and Environmental Responses of the Rhizosphere Bacterial Community in Phragmites australis from the Lhalu Wetland, Xizang[J]. Bulletin of Botanical Research, 2026, 46(1): 181-194.
Add to citation manager EndNote|Ris|BibTeX
URL: https://bbr.nefu.edu.cn/EN/10.7525/j.issn.1673-5102.2026.01.016
Table 1
Sampling sites in Lhalu Wetland
区域 Region | 样地 Sampling site | 纬度 Latitude | 经度 Longitude |
|---|---|---|---|
西部区域(XB) Western region | T1 | 29°40′8.30″ | 91°4′7.84″ |
| T2 | 29°40′35.92″ | 91°4′57.77″ | |
| T3 | 29°40′48.46″ | 91°5′26.74″ | |
施工区域(SG) Construction region | T5 | 29°40′20.55″ | 91°6′15.49″ |
| T6 | 29°40′32.40″ | 91°6′5.18″ | |
| T7 | 29°40′50.07″ | 91°6′0.68″ | |
| T8 | 29°41′2.12″ | 91°6′3.75″ | |
居住区域(JZ) Residential region | T4 | 29°40′8.68″ | 91°6′16.09″ |
| T9 | 29°40′12.43″ | 91°6′39.05″ | |
| T10 | 29°40′25.36″ | 91°6′54.10″ | |
| T11 | 29°40′54.07″ | 91°6′52.89″ | |
栖息区域(QX) Bird habitation region | T12 | 29°40′30.67″ | 91°6′18.26″ |
| T13 | 29°40′37.04″ | 91°6′16.51″ | |
| T14 | 29°40′43.23″ | 91°6′15.20″ | |
| T15 | 29°40′26.38″ | 91°6′28.65″ | |
| T16 | 29°40′35.25″ | 91°6′32.84″ | |
| T17 | 29°40′46.40″ | 91°6′33.45″ |
Table 2
Soil element contents in rhizosphere of Phragmites australis at different sampling sites in Lhalu Wetland
样地 Sampling site | 质量分数 Mass fraction | ||||||
|---|---|---|---|---|---|---|---|
| 钙Ca | 钛Ti | 铁Fe | 锰Mn | 锆Zr | 锶Sr | 铷Rb | |
| T1 | 18 300.00±1 734.94a | 1 440.00±954.83abc | 15 866.67±2 967.04c | 325.33±21.73gh | 216.00±13.75d | 147.00±24.27bcd | 103.67±11.01bc |
| T2 | 17 600.00±953.94a | 1 350.67±282.25abc | 10 900.00±264.58ef | 499.00±76.50b | 94.00±16.37f | 103.67±7.02ef | 55.00±5.57ef |
| T3 | 9 238.33±2 482.03de | 3 215.00±3 798.94a | 9 217.33±949.86f | 237.33±30.14ij | 131.00±5.56e | 127.67±14.05cde | 80.00±4.58d |
| T4 | 9 366.00±982.11de | 1 815.33±108.14abc | 17 033.33±1 858.31c | 361.33±4.04efg | 231.67±21.19cd | 150.00±10.82bcd | 116.00±13.45ab |
| T5 | 13 833.33±230.94b | 1 972.00±281.79abc | 13 033.33±850.50de | 382.33±44.52defg | 150.67±7.51e | 122.00±15.62cdef | 72.00±17.78de |
| T6 | 8 632.00±3 090.87ef | 1 561.67±110.44abc | 15 133.33±472.58cd | 293.33±9.45hi | 165.00±13.00e | 117.67±6.42def | 86.00±8.19cd |
| T7 | 11 355.00±2 602.42cd | 1 679.67±157.49abc | 16 266.66±1 703.92c | 398.33±40.53cdef | 158.00±27.07e | 133.00±11.53bcde | 87.33±18.00cd |
| T8 | 7 550.00±244.35ef | 1 679.67±106.84abc | 12 433.33±2 779.08e | 337.67±17.04fgh | 155.67±24.58e | 122.00±15.52cdef | 76.33±26.63d |
| T9 | 4 625.67±116.50gh | 580.67±61.09c | 10 769.67±771.72ef | 208.00±33.29j | 71.33±2.08f | 48.33±3.21g | 42.33±4.51f |
| T10 | 2 960.33±192.63h | 1 161.67±65.68bc | 11 466.67±57.74ef | 182.67±8.62j | 152.00±14.11e | 84.67±3.51f | 67.33±1.15de |
| T11 | 8 060.00±317.87ef | 2 099.33±114.79abc | 22 900.00±1 058.30b | 576.33±26.69a | 289.00±20.66a | 160.00±12.12abc | 125.67±6.11ab |
| T12 | 6 421.67±844.10fg | 2 267.00±606.92abc | 28 033.33±2 967.04a | 404.33±85.87cdef | 249.00±29.46bcd | 129.00±21.79bcde | 106.33±18.56abc |
| T13 | 7 557.33±504.98ef | 2 362.33±48.22abc | 25 933.33±152.75a | 411.67±10.69cde | 257.00±13.89abc | 134.00±4.58bcde | 128.00±3.61a |
| T14 | 7 490.67±84.74ef | 2 531.67±40.28ab | 26 900.00±781.02a | 409.67±37.54cde | 236.67±16.44cd | 136.33±1.15bcde | 125.33±5.03ab |
| T15 | 9 797.00±23.58cde | 2 467.00±79.30abc | 27 400.00±916.52a | 449.33±17.50bcd | 257.33±17.21abc | 168.00±13.00ab | 112.00±6.24ab |
| T16 | 12 000.00±1 819.34bc | 2 315.33±53.12abc | 27 400.00±1 248.99a | 436.67±22.90bcd | 282.00±45.13ab | 192.67±21.55a | 120.00±4.00ab |
| T17 | 9 802.00±32.08cde | 2 223.33±41.97abc | 23 066.67±737.11b | 453.67±22.59bc | 266.67±8.08abc | 120.33±66.20cdef | 117.67±4.73ab |
Table 3
Environmental factors of rhizosphere soil samples of Phragmites Australis in Lhalu Wetland
样地 Sampling site | 质量分数 Mass fraction | ||||
|---|---|---|---|---|---|
| 土壤含水量SWC | 土壤有机质SOM | 全氮TN | 全磷TP | 全钾TK | |
| T1 | 155.40±8.71gh | 22.90±0.30k | 1.33±0.02f | 0.56±0.02def | 23.10±0.30a |
| T2 | 351.13±14.94c | 99.80±0.30b | 4.08±0.30b | 0.95±0.02a | 20.70±3.00a |
| T3 | 218.00±3.12e | 48.80±2.00ef | 2.25±0.10d | 0.59±0.02cde | 23.50±2.00a |
| T4 | 178.60±2.42fg | 42.60±4.00fg | 1.80±0.20def | 0.52±0.03fg | 23.90±2.00a |
| T5 | 142.60±1.75hi | 30.20±4.00ijk | 1.42±0.30f | 0.52±0.01fg | 23.70±2.00a |
| T6 | 176.00±2.88fg | 33.60±1.20hi | 1.46±0.20ef | 0.61±0.03cd | 22.00±0.20a |
| T7 | 259.80±1.41d | 62.00±8.00d | 2.79±0.30c | 0.62±0.02c | 22.20±4.20a |
| T8 | 196.8±2.23ef | 45.80±5.00efg | 1.97±0.10de | 0.61±0.04cd | 21.80±2.00a |
| T9 | 582.00±6.26a | 230.00±13.00a | 9.72±0.30a | 0.71±0.03b | 15.90±2.00b |
| T10 | 389.33±16.34b | 77.10±6.30c | 3.05±0.30c | 0.61±0.03cd | 22.40±4.00a |
| T11 | 58.40±1.80l | 40.20±1.80gh | 1.79±0.10def | 0.55±0.04ef | 22.40±2.00a |
| T12 | 106.27±10.99jk | 24.90±2.00jk | 1.36±0.10f | 0.56±0.01def | 22.93±1.51a |
| T13 | 121.93±3.89ij | 32.70±2.00hij | 1.67±0.10ef | 0.59±0.04cde | 23.70±2.00a |
| T14 | 129.53±2.91ij | 10.10±1.10l | 0.80±0.20g | 0.49±0.02g | 24.90±0.40a |
| T15 | 92.00±9.89k | 32.20±0.80hij | 1.59±0.30ef | 0.52±0.04fg | 22.50±0.91a |
| T16 | 94.67±48.61k | 53.20±3.00e | 2.19±0.70d | 0.58±0.02cde | 22.00±1.75a |
| T17 | 92.60±1.11k | 30.80±1.00ijk | 1.52±0.20ef | 0.57±0.02cdef | 22.30±0.30a |
Table 4
Analysis of environmental factors of rhizosphere soil of Phragmites australis in different regions in Lhalu wetland
区域 Region | 质量分数Mass fraction | |||||||||||
|---|---|---|---|---|---|---|---|---|---|---|---|---|
含水量SWC/ (g·kg-1) | 有机质SOM/ (g·kg-1) | 全氮TN/ (g·kg-1) | 全磷TP/ (g·kg-1) | 全钾TK/ (g·kg-1) | 钙Ca/ (mg·kg-1) | 钛Ti/ (mg·kg-1) | 铁Fe/ (mg·kg-1) | 锰Mn/ (mg·kg-1) | 锆Zr/ (mg·kg-1) | 锶Sr/ (mg·kg-1) | 铷Rb/ (mg·kg-1) | |
西部区域 XB | 241.51±87.01ab | 57.17±34.00b | 2.55±1.22b | 0.70±0.19a | 22.43±22.34a | 15 046.11± 4 545.99a | 2 001.89± 2 164.51ab | 11 994.67± 3 377.57c | 353.89± 122.90ab | 147.00± 55.29b | 126.11± 23.71ab | 79.56± 22.08b |
施工区域 SG | 193.80±44.67bc | 42.90±13.73b | 1.91±6.12b | 0.59±0.52b | 22.43±22.98a | 10 342.58± 3 084.90b | 1 633.75± 288.09ab | 14 216.67± 2 174.58bc | 352.92± 50.58ab | 157.33± 17.70b | 123.67± 12.44ab | 80.42± 17.40b |
居住区域 JZ | 302.08±106.17a | 97.48±81.61a | 4.09±3.44a | 0.60±0.80b | 21.15±39.39a | 6 253.00± 2 723.13c | 1 414.25± 620.30b | 15 542.42± 5 201.29b | 332.08± 164.73b | 186.00± 86.94b | 110.75± 48.80b | 87.83± 36.46b |
栖息区域 QX | 106.17±23.20c | 30.65±13.18b | 1.52±5.09b | 0.55±0.43b | 23.05±15.03a | 8 844.78± 2 057.92b | 2 361.11± 239.73a | 26 455.56± 2 078.52a | 427.56± 40.24a | 258.11± 25.47a | 146.72± 36.43a | 118.22± 10.60a |
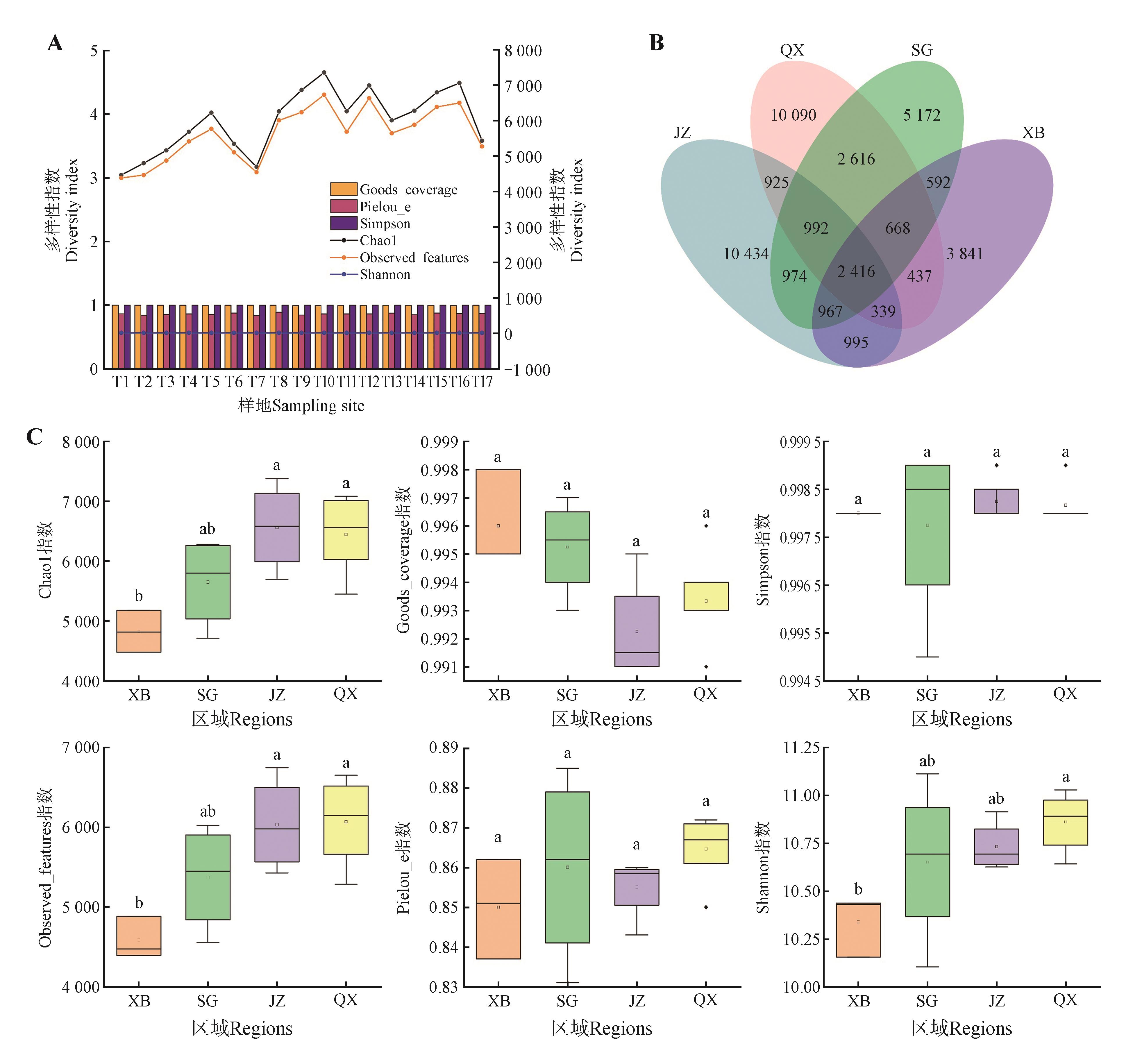
Fig.4
Soil bacterial diversity characteristics of Phragmites australis rhizosphere in Lhalu WetlandA.Soil bacterial alpha diversity indices across different sample sites; B.Venn diagram analysis of bacterial ASVs within different regions; C.Analysis of inter-regional differences in soil bacterial diversity indices; different lowercase letters above bars indicated significant differences(P<0.05). T1 to T17 corresponded to the 17 sampling sites; XB.Western region; SG.Construction region; JZ.Residential region; QX.Habitat region.
Fig.6
β-diversity analysis of bacterial communities in the rhizosphere soil of Phragmites australis inLhalu WetlandA. Principal Coordinate Analysis(PCoA) of bacterial communities in the rhizosphere soil of Phragmites australis based on Bray-Curtis distance; B. Non-metric Multidimensional Scaling (NMDS) analysis of soil bacterial community structure in different regions. Different groups were represented by the colors of the sample points and the corresponding ellipses. XB.Western region; SG.Construction region; JZ.Residential region; QX.Habitat region.
Fig.8
Correlation analysis between bacterial communi-ties and environmental factors in the rhizosphere soil of Phragmites australis in Lhalu WetlandThe same color in the figure indicated the same group. Ca. Calcium; Fe. Iron; Ti. Titanium; Mn. Manganese; Zr. Zirconium; Sr. Strontium; Rb. Rubidium; SWC. Soil water content; SOM. Soil organic matter; TN. Total nitrogen; TP. Total phosphorus; TK. Total potassium.
Table 5
Correlation analysis of environmental factors and bacterial community composition in the rhizosphere soil of Phragmites australis in Lhalu Wetland
环境因子 Environmental factor | 解释率 Explanation rate/% | 贡献率 Contribution rate/% | 伪F值 Pseudo-F | 显著性 P |
|---|---|---|---|---|
| Ti | 39.1 | 41.1 | 9.6 | 0.002 |
| TK | 21.0 | 22.1 | 7.4 | 0.002 |
| TP | 5.1 | 5.4 | 3.3 | 0.016 |
| TN | 6.9 | 7.2 | 2.7 | 0.032 |
| Sr | 6.6 | 7.0 | 3.0 | 0.036 |
| Mn | 4.3 | 4.5 | 2.1 | 0.076 |
| Ca | 3.0 | 3.2 | 2.2 | 0.112 |
| Fe | 2.1 | 2.2 | 2.0 | 0.130 |
| SOM | 2.4 | 2.5 | 1.9 | 0.158 |
| SWC | 3.0 | 3.2 | 1.6 | 0.200 |
| Zr | 1.1 | 1.1 | 1.0 | 0.460 |
| Rb | 0.5 | 0.6 | 0.4 | 0.746 |
| [1] | 道日娜,张英,李希来,等.高寒湿地演替过程对土壤细菌多样性的影响[J].环境科学,2025,46(3):1897-1904. |
| DAO R N, ZHANG Y, LI X L,et al.Impact of alpine wetland succession to soil bacterial diversity[J].Environmental Science,2025,46(3):1897-1904. | |
| [2] | 秦卫华,李中林,楚克林.拉萨的“城市之肺”:拉鲁湿地国家级自然保护区[J].生命世界,2022(7):4-19. |
| QIN W H, LI Z L, CHU K L.Lhasa’s “lung of the city”:Lhalu Wetland National Nature Reserve[J].Life World,2022(7):4-19. | |
| [3] | 陈黎明,陈炼钢,李褆来,等.城市湿地公园生态补水调度方案对比分析[J].水资源保护,2022,38(6):162-167. |
| CHEN L M, CHEN L G, LI T L,et al.Comparative analysis of operation schemes for ecological water supply in urban wetland park[J].Water Resources Protection,2022,38(6):162-167. | |
| [4] | 巴桑,黄香,普布,等.拉鲁湿地肉鞭虫群落特征及其水环境评价[J].湿地科学,2014,12(2):182-191. |
| BA S, HANG X, PU B,et al.Community characteristics of sarcodines and flagellates and water environment evaluation in Lhalu Wetlands[J].Wetland Science,2014,12(2):182-191. | |
| [5] | 刘晓曼,庄大方,屈冉,等.基于遥感数据的1989~2009年拉鲁湿地变化研究[J].湿地科学,2013,11(4):433-437. |
| LIU X M, ZHUANG D F, QU R,et al.Change of Lalu Wetlands from 1989 to 2009 based on remote sensing data [J].Wetland Science,2013,11(4):433-437. | |
| [6] | 王佳俊,田瀚鑫,周磊,等.拉鲁湿地水生植物群落多样性与水环境因子的关系[J].环境科学,2020,41(4):1657-1665. |
| WANG J J, TIAN H X, ZHOU L,et al.Relationship between diversity of aquatic plant communities and water environmental factors in Lhalu Wetland[J].Environmental Science,2020,41(4):1657-1665. | |
| [7] | 白永飞,吕学斌,吴坚扎西,等.拉鲁湿地芦苇不同部位金属元素富集规律研究[J].环境监测管理与技术,2019,31(2):35-39. |
| BAI Y F, LÜ X B, WU J Z X,et al.Study on the enrichment of metallic element in different parts of Phragmites australis in Lhalu Wetland[J].The Administration and Technique of Environmental Monitoring,2019,31(2):35-39. | |
| [8] | WANG D L, BAI Y H, QU J H,et al.The Phragmites root-inhabiting microbiome:a critical review on its composition and environmental application[J].Engineering,2022,9(2):42-50. |
| [9] | 陈孝杨,王芳,严家平,等.覆土厚度对矿区复垦土壤呼吸昼夜变化的影响[J].中国矿业大学学报,2016,45(1):163-169. |
| CHEN X Y, WANG F, YAN J P,et al.Effect of coversoil thickness on diurnal variation characteristics of reclaimed soil respiration in coal mining areas[J].Journal of China University of Mining & Technology,2016,45(1):163-169. | |
| [10] | 肖博文.气候变化下高寒草地土壤微生物群落结构变化及季节动态[D].兰州:兰州大学,2022. |
| XIAO B W.Changes in soil microbial community structure and its seasonal dynamics in an alpine grassland under climate change[D].Lanzhou:Lanzhou University,2022. | |
| [11] | 安丽芸,李君剑,严俊霞,等.微生物多样性对土壤碳代谢特征的影响[J].环境科学,2017,38(10):4420-4426. |
| AN L Y, LI J J, YAN J X,et al.Effects of microbial diversity on soil carbon mineralization[J].Environmental Science,2017,38(10):4420-4426. | |
| [12] | 周生灵,杨乐,刘善思,等.西藏拉鲁湿地自然保护区鸟类群落季节动态[J].生物学杂志,2020,37(4):66-71. |
| ZHOU S L, YANG L, LIU S S,et al.Seasonal dynamics of bird community in Lhalu Wetland National Nature Reserve,Tibet,China[J].Journal of Biology,2020,37(4):66-71. | |
| [13] | 李伟,孙晶,熊健,等.西藏拉鲁湿地表层土壤重金属分布特征和风险评价[J].环境科学与技术,2023,46(1):92-100. |
| LI W, SUN J, XIONG J,et al.Distribution characteristics and risk assessment of heavy metals in the surface soil of Lhalu Wetland,Xizang[J].Environmental Science & Technology,2023,46(1):92-100. | |
| [14] | 刘洋,张艳秋,宋文涛,等.西藏拉鲁湿地浮游植物优势种时空动态及其生态适应性[J].湖泊科学,2024,36(6):1864-1878. |
| LIU Y, ZHANG Y Q, SONG W T,et al.The spatio-temporal dynamics and ecological adaptability of dominant phytoplankton species in Lhalu Wetland,Xizang,China[J].Journal of Lake Sciences,2024,36(6):1864-1878. | |
| [15] | 杨方典,张鹏,罗帅,等.基于宏基因组的西藏拉鲁湿地原生生物多样性研究[J].水生态学杂志,2025,46(1):81-89. |
| YANG F D, ZHANG P, LUO S,et al.Protist diversity in the Lhalu Wetland of Tibet based on metagenomic sequencing[J].Journal of Hydroecology,2025,46(1):81-89. | |
| [16] | 钟文辉,蔡祖聪.土壤管理措施及环境因素对土壤微生物多样性影响研究进展[J].生物多样性,2004, 12(4):456-465. |
| ZHONG W H, CAI Z C.Effect of soil management practices and environmental factors on soil microbial diversity:a review[J].Biodiversity Science,2004,12(4):456-465. | |
| [17] | 张玲豫,齐雅柯,焦健,等.河西走廊沙地芦苇(Phragmites australis)根际土壤微生物群落多样性[J].中国沙漠,2021,41(6):1-9. |
| ZHANG L Y, QI Y K, JIAO J,et al.Microbial community diversity of reed rhizosphere soil in different sandy land habitats of Hexi Corridor,Gansu,China[J].Journal of Desert Research,2021,41(6):1-9. | |
| [18] | 张鑫磊,金锐,杨镇,等.长江口崇明东滩湿地微生物群落结构研究[J].土壤通报,2019,50(5):1178-1184. |
| ZHANG X L, JIN R, YANG Z,et al.Microbial community structure in the Chongming eastern wetland of the Yangtze estuary[J].Chinese Journal of Soil Science,2019,50(5):1178-1184. | |
| [19] | 赵华显,阎冰,徐悦,等.北部湾红树林沉积物中微生物群落结构的时空变化分析[J].基因组学与应用生物学,2020,39(5):2161-2169. |
| ZHAO H X, YAN B, XU Y,et al.Spatiotemporal analysis of microbial community structure in the mangrove sediments in Beibu Gulf[J].Genomics and Applied Biology,2020,39(5):2161-2169. | |
| [20] | 孟妍君,秦鹏.珠江三角洲滨海湿地土壤微生物群落多样性与养分的耦合关系[J].水土保持研究,2020,27(6):77-84. |
| MENG Y J, QING P.Coupling relationship between microbial community diversity and soil nutrients in different wetlands in coastal area of Pearl River Delta[J].Research of Soil and Water Conservation,2020,27(6):77-84. | |
| [21] | 唐旖.九龙江口及台湾海峡沉积物中细菌和古菌群落结构分析[D].上海:上海大学,2021. |
| TANG Y.Community structure analysis of bacteria and archaea in sediments of the Jiulong River Estuary and the Taiwan Strait[D].Shanghai:Shanghai University,2021. | |
| [22] | 李金业,陈庆锋,李青,等.黄河三角洲滨海湿地微生物多样性及其驱动因子[J].生态学报,2021,41(15):6103-6114. |
| LI J Y, CHEN Q F, LI Q,et al.Analysis of microbial diversity and driving factors in coastal wetlands of the Yellow River Delta[J].Acta Ecologica Sinica,41(15):6103-6114. | |
| [23] | 李玉倩,马俊伟,高超,等.青藏高原高寒湿地春夏两季根际与非根际土壤反硝化速率及nirS型反硝化细菌群落特征分析[J].环境科学,2021,42(10):4959-4967. |
| LI Y Q, MA J W, GAO C,et al.Denitrification rates and nirS-type denitrifying bacteria community structure characteristics of bulk and rhizosphere soil in spring and summer in the alpine wetlands of the Qinghai-Tibet Plateau[J].Environmental Science,2021,42(10):4959-4967. | |
| [24] | 赵定蓉,陆梅,赵旭燕,等.土壤细菌群落对纳帕海高原湿地退化的响应[J].浙江农林大学学报,2024, 41(2):406-418. |
| ZHAO D R, LU M, ZHAO X Y,et al.Response of soil bacterial community to wetland degradation in the Napahai Plateau[J].Journal of Zhejiang A&F University,2024,41(2):406-418. | |
| [25] | ZHANG M Z, DARAZ U, SUN Q Y,et al.Denitrifier abundance and community composition linked to denitrification potential in river sediments[J].Environmental Science and Pollution Research,2021,28(37):51928-51939. |
| [26] | 刘辉,韦璐璐,朱龙发,等.鞘氨醇单胞菌的研究进展[J].微生物学通报,2023,50(6):2738-2752. |
| LIU H, WEI L L, ZHU L F,et al.Research progress of Sphingomonas [J].Microbiology China,2023,50(6):2738-2752. | |
| [27] | 齐雅柯.河西走廊不同生态型芦苇异速生长和根际微生物多样性研究[D].兰州:甘肃农业大学,2023. |
| QI Y K.Study on the allometry and rhizosphere microorganism diversity of different ecotypes of Phragmites australis in Hexi Corridor[D].Lanzhou:Gansu Agricultural University,2023. | |
| [28] | 陈桂鲜,吴传发,葛体达,等.土壤多功能性对微生物多样性降低的响应[J].环境科学,2022,43(11):5274-5285. |
| CHEN G X, WU C F, GE T D,et al.Response of soil multifunctionality to reduced microbial diversity[J].Environmental Science,2022,43(11):5274-5285. | |
| [29] | 王建民,潘保田.青藏高原东部黄土沉积的基本特征及其环境[J].中国沙漠,1997,17(4):395-402. |
| WANG J M, PAN B T.Loess deposit in eastern part of Qinghai-Xizang Plateau:its characteristics and environment[J].Journal of Desert Research,1997,17(4):395-402. | |
| [30] | CHEN L, WANG Z W, DU S,et al.Antimicrobial activity and functional genes of actinobacteria from coastal wetland[J].Current Microbiology,2021,78(8):3058-3067. |
| [31] | 陈晨,陈浬,李彦澄,等.贵州典型煤矸石堆场微生物群落结构及功能特征[J].微生物学通报,2023,50(12):5300-5319. |
| CHEN C, CHEN L, LI Y C,et al.Structural and functional characteristics of microbial communities of typical coal gangue dumps in Guizhou Province[J].Microbiology China,2023,50(12):5300-5319. | |
| [32] | 陈伟,季秀玲,孙策,等.纳帕海高原湿地土壤细菌群落多样性初步研究[J].中国微生态学杂志,2015, 27(10):1117-1123. |
| CHEN W, JI X L, SUN C,et al.Preliminary study on diversity of bacteria community in Napahai Plateau wetland[J].Chinese Journal of Microecology,2015,27(10):1117-1123. | |
| [33] | BAUER M, KUBE M, TEELING H,et al.Whole genome analysis of the marine Bacteroidetes ‘Gramella forsetii’ reveals adaptations to degradation of polymeric organic matter[J].Environmental Microbiology,2006,8(12):2201-2213. |
| [34] | 支君,段文标,高明,等.土地利用方式对土壤细菌群落结构和功能的影响[J].植物研究,2025,45(1):22-33. |
| ZHI J, DUAN W B, GAO M,et al.Impact of land use patterns on the structure and function of soil bacterial communities[J].Bulletin of Botanical Research,2025,45(1):22-33. | |
| [35] | COLUCCIA M, BESAURY L.Acidobacteria members harbour an abundant and diverse carbohydrate-active enzymes(cazyme) and secreted proteasome repertoire,key factors for potential efficient biomass degradation[J].Molecular Genetics and Genomics,2023,298(5):1135-1154. |
| [36] | ZEGLIN L H, DAHM C N, BARRETT J E,et al.Bacterial community structure along moisture gradients in the parafluvial sediments of two ephemeral desert streams[J].Microbial Ecology,2011,61(3):543-556. |
| [37] | 解维俊,赵玉庭,刘元进,等.大钦岛不同养殖年限深水网箱沉积物微生物群落结构分析[J].海洋科学,2022,46(12):31-40. |
| XIE W J, ZHAO Y T, LIU Y J,et al.Analysis of the microbial community structure of deep-water net tank sediments of Daqin Island at different culture years[J].Marine Sciences,2022,46(12):31-40. | |
| [38] | 赵玉卉,路等学,金辉,等.甘肃省野生羊肚菌根际细菌群落与土壤环境因子相关性研究[J].微生物学通报,2022,49(2):514-528. |
| ZHAO Y H, LU D X, JIN H,et al.Relationship between the bacterial community and environmental factors in the rhizosphere soil of wild morels in Gansu[J].Microbiology China,2022,49(2):514-528. |
| [1] | Kaile MAI, Xiangjun ZHANG, Zhenge HE, Meihua LIANG, Guangjie LAO, Yujiao TAO. Plant Diversity and Its Driving Mechanisms in Exbucklandia populnea Communities in China [J]. Bulletin of Botanical Research, 2026, 46(1): 167-180. |
| [2] | Shanshan ZHANG, Sunmei RUAN, Wenzhong YANG. Genetic Diversity Evaluation and Core Germplasm Construction of Camellia fascicularis [J]. Bulletin of Botanical Research, 2025, 45(6): 909-918. |
| [3] | Lan WANG, Di ZHOU, Zhao XUE, Dongxu WANG, Xiaofang GUO, Ji DE. Dynamics of Endophytic Bacterial Communities in Highland Barley Seeds at Different Growth Stages [J]. Bulletin of Botanical Research, 2025, 45(6): 965-974. |
| [4] | Hongchao BAI, Ximing ZHAO, Rui DENG, Yuning LIU, Yuxiao DU, Baojiang ZHENG. Species Diversity and Distribution Patterns of Wild Ribes in China [J]. Bulletin of Botanical Research, 2025, 45(6): 975-983. |
| [5] | Nian CEN, Liuyi REN, Xinxiang BAI, Meijun LI. Species Diversity and Geographical Distribution of Wild Impatiens in Sichuan Province [J]. Bulletin of Botanical Research, 2025, 45(6): 984-996. |
| [6] | Ziyu LONG, Zhicheng WANG, Rui ZHAO, Bing LIU, Gongxi CHEN. Herbaceous Plant Diversity in the Karst River Valley Headwater Waterfalls of Dehang Geopark [J]. Bulletin of Botanical Research, 2025, 45(5): 707-721. |
| [7] | Jiaying TANG, Jinkun ZHANG, Jiwen HU, Fude WANG, Peiyao XIN, Wenjun MA. Phenotypic Diversity Analysis of Natural Herbaceous Peony Populations in Great Khingan Mountains [J]. Bulletin of Botanical Research, 2025, 45(2): 299-314. |
| [8] | Zhiyuan GAO, Mengxin SI, Biao WANG, Heping MA. Diversity and Flora of Bryophytes in Typical Areas of Linzhi [J]. Bulletin of Botanical Research, 2024, 44(6): 890-900. |
| [9] | Xiting ZHANG, Jianyu ZHANG, Zhaoliang ZHONG, Wenjie WANG. Characteristics of Plant Diversity in Chuona River Reserve, Daxing'anling Mountains [J]. Bulletin of Botanical Research, 2024, 44(5): 730-737. |
| [10] | Douwen QIN, Weiqiang LIU, Jiting TIAN, Nan TANG, Xiuting JU. Genetic Diversity Analysis of Tulip Based on SRAP Markers [J]. Bulletin of Botanical Research, 2024, 44(5): 783-792. |
| [11] | Zhiwen ZHANG, Hongchao BAI, Zheng LIU, Wenguang LI, Gang YANG, Baojiang ZHENG. Species Diversity and Distribution Pattern of Wild Ribes in Northeast China [J]. Bulletin of Botanical Research, 2024, 44(2): 192-199. |
| [12] | Yanli WEN, Rong LI. Diversity Pattern and Conservation of Monocotyledon in Yunnan,China [J]. Bulletin of Botanical Research, 2024, 44(2): 200-209. |
| [13] | Yuqi MA, Yuhui LI, Lin LIN, Yue SHEN, Yufeng GU, Faguo WANG. Phyto-community Characteristics of the Dependent Environment of Dipteris shenzhenensis [J]. Bulletin of Botanical Research, 2024, 44(1): 34-44. |
| [14] | Huaizhi MU, Qingyu WANG, Yue ZHANG, Songtong LÜ, Xuhong JIN, Xiao ZHANG, Fucai XIA. Phenotypic Variation and Diversity Analysis of Tilia mandshurica Natural Populations Based on Leaf and Fruit Traits [J]. Bulletin of Botanical Research, 2023, 43(6): 826-834. |
| [15] | Yuanyuan TANG, Fuying DENG, Xiaoqing ZHAO, Pei HUANG, Junyi TAO, Shijie ZHOU, Bocheng CHU. Effects of Eucalyptus Introduction on Species Composition and Diversity of Understory Plant Functional Groups [J]. Bulletin of Botanical Research, 2023, 43(6): 943-952. |
| Viewed | ||||||
|
Full text |
|
|||||
|
Abstract |
|
|||||