植物研究 ›› 2025, Vol. 45 ›› Issue (4): 518-532.doi: 10.7525/j.issn.1673-5102.2025.04.005
郭皓1,2, 陈彩霞2, 安晓静1,2, 李先恩2, 王海英1(
), 夏忠庭3(
)
收稿日期:2025-02-05
出版日期:2025-07-20
发布日期:2025-07-25
通讯作者:
王海英,夏忠庭
E-mail:haiyingwang-99@163.com;Hexinshang-1@hotmail.com
作者简介:郭皓(2000—),男,硕士研究生,主要从事中药资源研究。
基金资助:
Hao GUO1,2, Caixia CHEN2, Xiaojing AN1,2, Xian’en LI2, Haiying WANG1(
), Zhongting XIA3(
)
Received:2025-02-05
Online:2025-07-20
Published:2025-07-25
Contact:
Haiying WANG, Zhongting XIA
E-mail:haiyingwang-99@163.com;Hexinshang-1@hotmail.com
摘要:
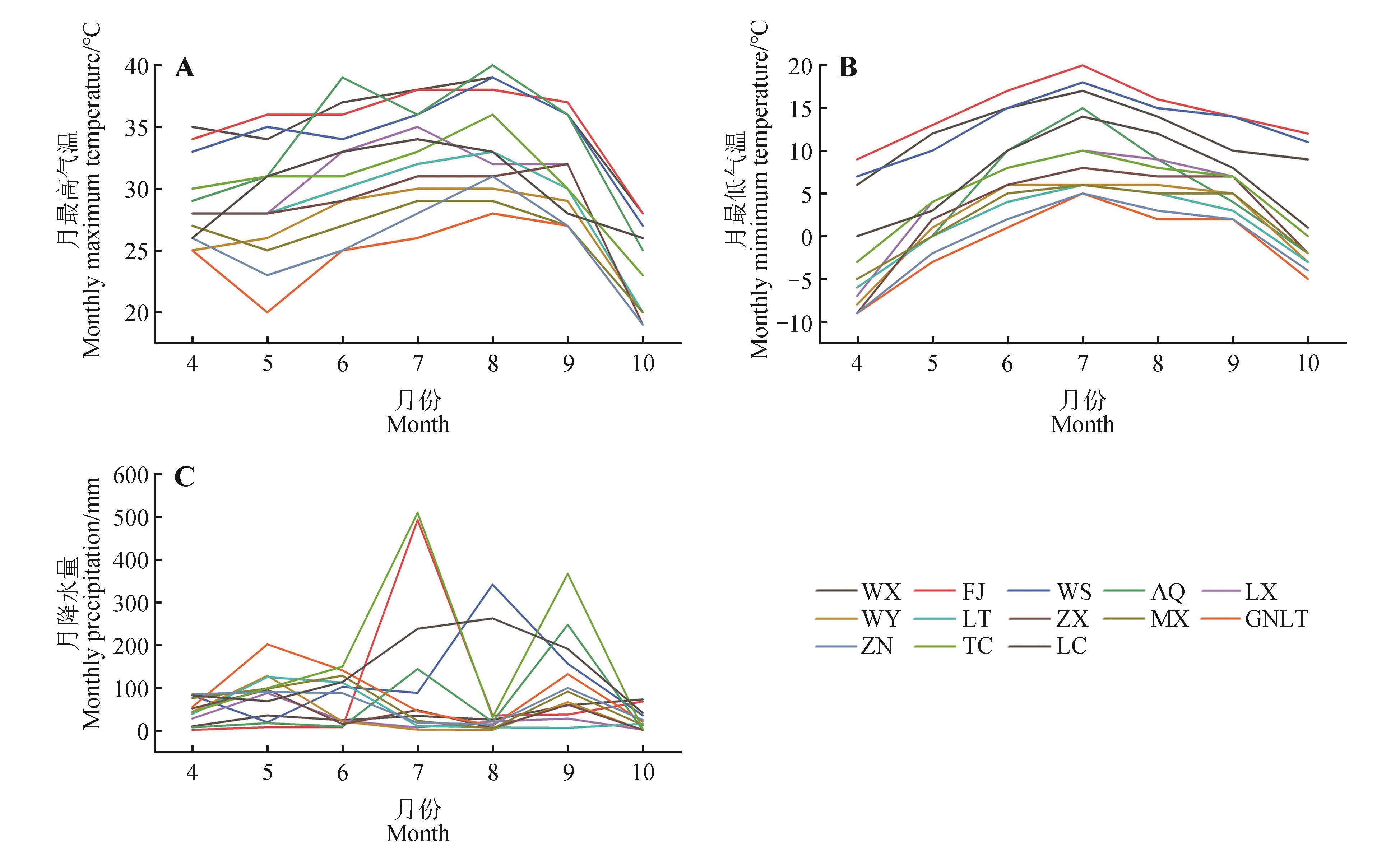
为明确影响党参(Codonopsis pilosula)有效成分含量的关键因子,该研究探究不同产区的气象、土壤等32种环境因子的作用,为党参规范化种植的产地环境选择提供科学依据。该研究通过收集党参主产区(重庆、内蒙古、甘肃、山西)共27个采样点的栽培党参及其根区土壤样本,测定不同产地土壤理化指标和党参中党参炔苷、多糖的含量,分析各环境因子与党参有效成分含量的相关性。结果表明:党参有效成分含量具有区域性差异;赤峰市阿鲁科尔沁旗的党参中多糖质量分数最高,为386 mg·g-1;重庆市巫溪县的样品中党参炔苷质量分数最高,为2.128 mg·g-1。月气温极值对党参有效成分含量产地差异的方差贡献最高,其次为土壤酶活力及有机质因子,土壤养分的方差贡献最低。不同环境因子对党参多糖和党参炔苷积累影响各异。党参多糖主要受土壤有机质、10月降水量及碱性磷酸酶活力影响,而党参炔苷主要受土壤速效氮、土壤酸性磷酸酶活力及5月、7—8月最低气温和土壤pH影响。综上,月气温极值主导党参有效成分含量变化,另外,还需关注降水量、土壤养分及磷酸酶活力的影响。
中图分类号:
郭皓, 陈彩霞, 安晓静, 李先恩, 王海英, 夏忠庭. 环境因子对党参有效成分含量的影响[J]. 植物研究, 2025, 45(4): 518-532.
Hao GUO, Caixia CHEN, Xiaojing AN, Xian’en LI, Haiying WANG, Zhongting XIA. Effect of Environmental Factors on the Active Ingredients of Codonopsis pilosula[J]. Bulletin of Botanical Research, 2025, 45(4): 518-532.
表1
党参样本信息
编号 Number | 采样点 Sampling site | 基源 Origin plant | 经纬度 Latitude and longitude | 海拔 Elevation/m | 党参炔苷质量分数 Lobetyolin mass fraction/(mg·g-1) | 党参多糖质量分数 Codonopsis pilosula polysaccharide mass fraction/(mg·g-1) |
|---|---|---|---|---|---|---|
| D1 | 重庆市巫溪县双阳乡双阳村 | 党参 | 31°28′28″N,109°49′34″E | 1 650 | 2.147±0.064b | 128±35ij |
| D2 | 重庆市奉节县太和乡石板村 | 党参 | 30°24′6″N,109°9′4″E | 1 500 | 2.192±0.074a | 223±3efgh |
| D3 | 重庆市巫山县红椿乡红椿村 | 党参 | 30°31′28″N,109°39′14″E | 1 600 | 2.017±0.015c | 254±29bcdef |
| D4 | 重庆市奉节县长安乡五坝村 | 党参 | 30°25′24″N,109°21′8″E | 1 700 | 1.234±0.006f | 368±19a |
| D5 | 重庆市巫山县红椿乡西槽村 | 党参 | 30°28′57″N,109°21′13″E | 1 500 | 1.391±0.042e | 254±11cdef |
| D6 | 赤峰市阿鲁科尔沁旗三山村 | 党参 | 43°55′24″N,120°3′47″E | 452 | 0.396±0.010v | 389±54a |
| D7 | 定西市陇西县福星镇 | 党参 | 35°7′59″N,104°37′14″E | 2 160 | 0.586±0.003s | 228±28efgh |
| D8 | 定西市渭源县庆坪镇 | 党参 | 35°17′54″N,104°9′52″E | 2 407 | 0.763±0.011n | 298±21b |
| D9 | 定西市临洮县连儿湾乡 | 党参 | 35°24′26″N,104°8′18″E | 2 469 | 0.972±0.023i | 268±6bcde |
| D10 | 定西市漳县四族镇 | 党参 | 34°42′7″N,104°24′39″E | 2 181 | 0.923±0.008k | 277±19bcd |
| D11 | 定西市漳县石川镇 | 党参 | 34°37′23″N,104°19′10″E | 2 123 | 0.740±0.010o | 229±11efgh |
| D12 | 定西市岷县蒲麻镇 | 党参 | 34°34′27″N,104°21′28″E | 2 257 | 0.988±0.004h | 152±11i |
| D13 | 定西市岷县闾井镇 | 党参 | 34°22′17″N,104°31′21″E | 2 480 | 1.028±0.015g | 212±36fgh |
| D14 | 定西市岷县梅川镇 | 党参 | 34°32′24″N,104°9′31″E | 2 659 | 0.900±0.010l | 227±1efgh |
| D15 | 定西市岷县西江镇 | 党参 | 34°28′20″N,103°56′3″E | 2 178 | 0.682±0.016p | 211±13fgh |
| D16 | 甘南藏族自治州临潭县新城镇 | 党参 | 34°41′21″N,103°34′58″E | 2 803 | 0.498±0.015t | 234±23defgh |
| D17 | 甘南藏族自治州临潭县羊永镇 | 党参 | 34°39′35″N,103°29′24″E | 2 669 | 0.428±0.009u | 209±12gh |
| D18 | 甘南藏族自治州卓尼县木耳镇 | 党参 | 34°33′32″N,103°32′59″E | 2 496 | 0.661±0.002q | 252±23cdefg |
| D19 | 甘南藏族自治州卓尼县纳浪镇 | 党参 | 34°30′3″N,103°44′57″E | 2 371 | 0.960±0.030i | 285±10bc |
| D20 | 定西市岷县西寨镇 | 党参 | 34°28′25″N,103°49′28″E | 2 343 | 0.626±0.006r | 243±11cdefgh |
| D21 | 定西市岷县麻子川镇 | 党参 | 34°16′57″N,104°6′29″E | 2 475 | 1.477±0.043d | 207±52h |
| D22 | 陇南市宕昌县庞家乡 | 党参 | 34°16′4″N,104°17′59″E | 2 236 | 0.853±0.005m | 235±4defgh |
| D23 | 晋城市陵川县平城镇和村村 | 党参 | 35°52′23″N,113°18′35″E | 1 397 | 0.940±0.014j | 78±24k |
| D24 | 晋城市陵川县平城镇和村村 | 党参 | 35°52′23″N,113°18′35″E | 1 397 | 0.351±0.005w | 105±9jk |
| D25 | 晋城市陵川县平城镇林峦岭村 | 党参 | 35°52′55″N,113°19′51″E | 1 370 | 0.664±0.009q | 139±7ij |
| D26 | 晋城市陵川县平城镇魏庄村 | 党参 | 35°52′39″N,113°20′15″E | 1 360 | 0.641±0.014r | 76±8k |
| D27 | 晋城市陵川县夺火乡 | 党参 | 35°36′32″N,113°18′15″E | 1 344 | 0.513±0.028t | 73±23k |
图3
不同产地党参根区土壤理化参数A.土壤碱解氮质量分数;B.土壤有效磷质量分数;C.土壤速效钾质量分数;D.土壤有机质质量分数;E.土壤酸碱度;F.土壤蔗糖酶活力;G.土壤碱性磷酸酶活力;H.土壤酸性磷酸酶活力。箱体上框边缘表示上四分位数,下框边缘表示下四分位数。箱体内部白色圆点表示中位数,白色横线表示平均值。不同字母表示不同产地间具有显著性差异,P<0.05。WX.重庆市巫溪县;FJ.重庆市奉节县;WS.重庆市巫山县;AQ.赤峰市阿鲁科尔沁旗;LX.定西市陇西县;WY.定西市渭源县;LT.定西市临洮县;ZX.定西市漳县;MX.定西市岷县;GNLT.甘南藏族自治州临潭县;ZN.甘南藏族自治州卓尼县;TC.陇南市宕昌县;LC.晋城市陵川县。
图4
不同产地党参有效成分含量与环境因子的主成分分析A.PCA得分图;B.PCA载荷图。椭圆表示95%置信区间。cpp.党参多糖;lob.党参炔苷;SOM.土壤有机质;pH.土壤酸碱度;AN.土壤速效氮;AP.土壤有效磷;AK.土壤速效钾;fac1.4月最高气温;fac2.5月最高气温;fac3.6月最高气温;fac4.7月最高气温;fac5.8月最高气温;fac6.9月最高气温;fac7.10月最高气温;fac8.4月最低气温;fac9.5月最低气温;fac10.6月最低气温;fac11.7月最低气温;fac12.8月最低气温;fac13.9月最低气温;fac14.10月最低气温;fac15.4月降水量;fac16.5月降水量;fac17.6月降水量;fac18.7月降水量;fac19.8月降水量;fac20.9月降水量;fac21.10月降水量。
图5
不同环境因子与党参有效成分含量之间的相关性聚类热图及随机森林模型分析A.相关性聚类热图;B.对党参多糖含量的随机森林模型分析;C.对党参炔苷含量的随机森林模型分析。*.P<0.05, **.P<0.01,***.P<0.001。cpp.党参多糖;lob.党参炔苷;SOM.土壤有机质;pH.土壤酸碱度;AN.土壤速效氮;AP.土壤有效磷;AK.土壤速效钾;fac1.4月最高气温;fac2.5月最高气温;fac3.6月最高气温;fac4.7月最高气温;fac5.8月最高气温;fac6.9月最高气温;fac7.10月最高气温;fac8.4月最低气温;fac9.5月最低气温;fac10.6月最低气温;fac11.7月最低气温;fac12.8月最低气温;fac13.9月最低气温;fac14.10月最低气温;fac15.4月降水量;fac16.5月降水量;fac17.6月降水量;fac18.7月降水量;fac19.8月降水量;fac20.9月降水量;fac21.10月降水量。
| [1] | 苏圆锦,奚佳玉,史奇,等.药食同源中药党参的研究进展[J].中草药,2023,54(8):2607-2617. |
| SU Y J, XI J Y, SHI Q,et al.Research progress on Codonopsis Radix as medicinal and edible traditional Chinese medicine[J].Chinese Traditional and Herbal Drugs,2023,54(8):2607-2617. | |
| [2] | 张重阳,于淼,陈荣昌,等.党参药理作用的研究进展[J].中药新药与临床药理,2024,35(5):765-770. |
| ZHANG C Y, YU M, CHEN R C,et al.Research progress on the pharmacological effects of Codonopsis Radix [J].Traditional Chinese Drug Research and Clinical Pharmacology,2024,35(5):765-770. | |
| [3] | TANG S, LIU W, ZHAO Q Q,et al.Combination of polysaccharides from Astragalus membranaceus and Codonopsis pilosula ameliorated mice colitis and underlying mechanisms[J].Journal of Ethnopharmacology,2021,264:113280. |
| [4] | SHI Q, CHEN Z J, YANG J,et al.Review of Codonopsis Radix biological activities:a plant of traditional Chinese tonic[J].Journal of Ethnopharmacology,2024,332:118334. |
| [5] | 张开弦,姚秋阳,任艳,等.党参道地品种起源、变迁、现状研究进展[J].中成药,2024,46(1):211-216. |
| ZHANG K X, YAO Q Y, REN Y,et al.Research progress on the origin,change,and current status of the genuine species of Codonopsis Radix [J].Chinese Traditional Patent Medicine,2024,46(1):211-216. | |
| [6] | 段琦梅,梁宗锁,杨东风,等.党参质量评价体系的建立及不同产地党参质量差异性分析[J].中草药,2012,43(5):995-999. |
| DUAN Q M, LIANG Z S, YANG D F,et al.Establishment of quality evaluation system and difference analysis on roots of Codonopsis pilosula from different habitats[J].Chinese Traditional and Herbal Drugs,2012,43(5):995-999. | |
| [7] | 杨生超,赵昶灵,文国松,等.植物药材道地性的分子机制研究与应用[J].中草药,2007,38(11):1738-1741. |
| YANG S C, ZHAO C L, WEN G S,et al.Studies and applications on molecular mechanism of genuineness of traditional Chinese medicinal materials from plants[J].Chinese Traditional and Herbal Drugs,2007,38(11):1738-1741. | |
| [8] | 段耿婷,刘付松,张澜,等.不同产地党参的总硒、蛋白质、多糖含量及土壤总硒含量的相关性分析[J].中南药学,2023,21(3):777-783. |
| DUAN G T, LIU F S, ZHANG L,et al.Correlation between total selenium,protein and polysaccharide content of Codonopsis Radix and soil selenium content in different areas[J].Central South Pharmacy,2023,21(3):777-783. | |
| [9] | 牛天增,王玉龙,侯沁文,等.党参功效成分含量与土壤因子相关性分析[J].中国实验方剂学杂志,2022,28(11):164-172. |
| NIU T Z, WANG Y L, HOU Q W,et al.Correlation between functional components in Codonopsis pilosula roots and soil factors[J].Chinese Journal of Experimental Traditional Medical Formulae,2022,28(11):164-172. | |
| [10] | 栾青,郭建平,马雅丽,等.晋东南潞党参生态气候适生种植区划[J].生态学杂志,2020,39(9):2953-2962. |
| LUAN Q, GUO J P, MA Y L,et al.Division of eco-climate planting area of Codonopsis pilosula in southeastern Shanxi[J].Chinese Journal of Ecology,2020,39(9):2953-2962. | |
| [11] | 张定全,张娟.陇西县白条党参产量与生育期主要气象条件的相关性分析[J].甘肃农业科技,2012(8):11-13. |
| ZHANG D Q, ZHANG J.The relevance analysis of yield and the main meteorological condition of growth period of white dangshen[J].Gansu Agricultural Science and Technology,2012(8):11-13. | |
| [12] | 成铭,皮文霞,陆兔林,等.党参地上部分的党参炔苷、多糖含量测定及影响因素分析[J].中药材,2020,43(5):1092-1098. |
| CHENG M, PI W X, LU T L,et al.Determination of content of lobetyolin and polysaccharides in the aerial parts of Codonopsis Radix and analysis of influencing factors[J].Journal of Chinese Medicinal Materials,2020,43(5):1092-1098. | |
| [13] | 程泽京,张慧仙,黄高鉴,等.腐植酸型营养剂对潞党参产量与品质的影响[J].山西农业科学,2023,51(7):771-776. |
| CHENG Z J, ZHANG H X, HUANG G J,et al.Effects of humic acid conditioners on the yield and quality of Codonopsis pilosula(Lu Dangshen)[J].Journal of Shanxi Agricultural Sciences,2023,51(7):771-776. | |
| [14] | 针娴,高建平,曹玲亚.潞党参多糖含量测定[J].中华中医药学刊,2014,32(3):498-500. |
| ZHEN X, GAO J P, CAO L Y.Determination of contents of polysaccharide in Lu Dangshen[J].Chinese Archives of Traditional Chinese Medicine,2014,32(3):498-500. | |
| [15] | 中国土壤学会农业化学专业委员会.土壤农业化学常规分析方法[M].北京:科学出版社,1983:78. |
| Soil Agrochemistry Specialty Committee of the Soil Science Society of China.Routine analytical methods for soil agrochemistry[M].Beijing:Science Press,1983:78. | |
| [16] | QADERI M M, MARTEL A B, STRUGNELL C A.Environmental factors regulate plant secondary metabolites[J].Plants,2023,12(3):447. |
| [17] | 郭兰萍,周良云,康传志,等.药用植物适应环境胁迫的策略及道地药材“拟境栽培”[J].中国中药杂志,2020,45(9):1969-1974. |
| GUO L P, ZHOU L Y, KANG C Z,et al.Strategies for medicinal plants adapting environmental stress and “simulative habitat cultivation” of Dao-di herbs[J].China Journal of Chinese Materia Medica,2020,45(9):1969-1974. | |
| [18] | 田红怡,淳泽,王刚,等.生态因子与金钗石斛生理指标及有效成分的相关性研究[J].中药材,2020,43(3):558-563. |
| TIAN H Y, CHUN Z, WANG G,et al.Correlation study of ecological factors and the Dendrobium nobile physiology indexes and effective constituents[J].Journal of Chinese Medicinal Materials,2020,43(3):558-563. | |
| [19] | WANG Y L, LIU H C, YU S,et al.Effects of geographical,soil and climatic factors on the two marker secondary metabolites contents in the roots of Rubia cordifolia L.[J].Frontiers in Plant Science,2024,15:1419392. |
| [20] | 孙卫敏,曾伟民,贾向前,等.不同经纬度黄芩代谢差异的综合研究[J].中国药学杂志,2023,58(17):1554-1562. |
| SUN W M, ZENG W M, JIA X Q,et al.A comprehensive study on the differences between Scutellaria baicalensis Georgi metabolism at different latitudes and longitudes[J].Chinese Pharmaceutical Journal,2023,58(17):1554-1562. | |
| [21] | ÇΙRAK C, RADUŠIENĖ J, JANULIS V,et al.Secondary metabolites in Hypericum perfoliatum:variation among plant parts and phenological stages[J].Botanica Helvetica,2007,117:29-36. |
| [22] | BHATT N F, GUPTA R C, BANSAL Y.Secondary metabolites in Arctium lappa L.:variation among plant parts and phenological stages[J].Journal of Planar Chromatography,2019,32:461-465. |
| [23] | 郭杰,刘小平,张琴,等.基于Maxent模型的党参全球潜在分布区预测[J].应用生态学报,2017,28(3):992-1000. |
| GUO J, LIU X P, ZHANG Q,et al.Prediction for the potential distribution area of Codonopsis pilosula at global scale based on Maxent model[J].Chinese Journal of Applied Ecology,2017,28(3):992-1000. | |
| [24] | ATKIN O K, BRUHN D, HURRY V M,et al.The hot and the cold:unravelling the variable response of plant respiration to temperature[J].Functional Plant Biology,2005,32(2):87-105. |
| [25] | HAYASHI S, LEVINE C P, YU W,et al.Raising root zone temperature improves plant productivity and metabolites in hydroponic lettuce production[J].Frontiers in Plant Science,2024,15:1352331. |
| [26] | 李旭,刘莹,孙文松,等.不同产地五味子品质与气候因子的相关性分析[J].时珍国医国药,2022,33(5):1194-1197. |
| LI X, LIU Y, SUN W S,et al.Correlation analysis between climate factors and main components of Schisandra chinensis Baill with different areas[J].Lishizhen Medicine and Materia Medica Research,2022,33(5):1194-1197. | |
| [27] | 孟彤彤,赵涛涛,王永刚,等.季节驱动下的土壤微生态环境与党参生长的动态关系[J].基因组学与应用生物学,2023,42(7):744-756. |
| MENG T T, ZHAO T T, WANG Y G,et al.Dynamic relationship between soil micro-ecological environment and Codonopsis pilosula growth driven by seasons[J].Genomics and Applied Biology,2023,42(7):744-756. | |
| [28] | 何春雨,张延红,蔺海明.甘肃道地党参生长动态研究[J].中国中药杂志,2006,31(4):285-289. |
| HE C Y, ZHANG Y H, LIN H M.Study on dynamic growth of Codonopsis pilosula [J].China Journal of Chinese Materia Medica,2006,31(4):285-289. | |
| [29] | 王赞文.土壤水分对党参生长发育和成分积累的影响[D].杭州:浙江理工大学,2018. |
| WANG Z W.The effects of growth development and composition accumulation of Codonopsis pilosula under different soil moisture[D].Hangzhou:Zhejiang Sci-Tech University,2018. | |
| [30] | 张晓煜,刘静,袁海燕,等.枸杞多糖与土壤养分、气象条件的量化关系研究[J].干旱地区农业研究,2003(3):43-47. |
| ZHANG X Y, LIU J, YUAN H Y,et al.A study on quantified relationship between the polysaccharides concent of Lycium barbarum L. and soil nutrient and meteorological condition[J].Agricultural Research in the Arid Areas,2003(3):43-47. | |
| [31] | 林伟山,德科加,钱诗祎,等.高寒草甸植被-土壤养分含量与气象因子相关关系研究[J].草原与草坪,2023,43(6):109-120. |
| LIN W S, DE K J, QIAN S Y,et al.A study on the correlation between vegetation-soil nutrient content and meteorological factors in alpine meadows[J].Grassland and Turf,2023,43(6):109-120. | |
| [32] | 冼丽铧,吴道铭,隆曼迪,等.土壤养分、种植年限和种植方式对巴戟天寡糖含量的影响[J].华南农业大学学报,2021,42(3):75-85. |
| XIAN L H, WU D M, LONG M D,et al.Effects of soil nutrients,planting years and methods on oligosaccharide content of Morinda officinalis [J].Journal of South China Agricultural University,2021,42(3):75-85. | |
| [33] | 李卫建,李先恩.连翘有效成分含量与土壤养分的量化关系研究[J].中国中药杂志,2005,30(20):1577-1580. |
| LI W J, LI X E.Study on quantified relationship between contents of active components in Forsythia suspense and nutrition of soil[J].China Journal of Chinese Materia Medica,2005,30(20):1577-1580. | |
| [34] | 黄高鉴,孙晋鑫,张强,等.氮磷钾配施对潞党参产量与品质的影响及肥料效应[J].中国土壤与肥料,2022(9):26-31. |
| HUANG G J, SUN J X, ZHANG Q,et al.Effect of combined application of NPK fertilization on the yield and quality of Codonopsis piloula(Lu Dangshen)and its fertilizer interaction[J].Soil and Fertilizer Sciences in China,2022(9):26-31. | |
| [35] | YAN Z H, JIN H, YANG X Y,et al.Effect of rhizosphere soil microbial communities and environmental factors on growth and the active ingredients of Angelica sinensis in Gansu Province,China[J].Folia Microbiologica,2025,70(3):673-687. |
| [36] | 黄宇,张海伟,徐芳森.植物酸性磷酸酶的研究进展[J].华中农业大学学报,2008,27(1):148-154. |
| HUANG Y, ZHANG H W, XU F S.Research progress on plant acid phosphatase[J].Journal of Huazhong Agricultural University,2008,27(1):148-154. |
| [1] | 汤嘉莹, 张进坤, 胡继文, 王福德, 辛培尧, 麻文俊. 大兴安岭地区野生芍药居群表型多样性[J]. 植物研究, 2025, 45(2): 299-314. |
| [2] | 马祥臣, 张萍, 陈雨欣, 靳磊. 10种百合鳞茎多酚类提取物抗氧化活性及其与环境因子相关性[J]. 植物研究, 2025, 45(2): 315-328. |
| [3] | 黄储, 何明月, 孙美乐, 陈彦宏, 王惠珍. 基于EMP和TCA循环途径研究硅对干旱胁迫下党参多糖合成的调控[J]. 植物研究, 2025, 45(1): 98-110. |
| [4] | 杜华栋, 范鹏辉, 毕银丽, 谢姗姗, 刘研, 刘云龙. 干旱砾漠区不同地貌单元植物群落特征及其与环境因子的关系[J]. 植物研究, 2024, 44(3): 459-469. |
| [5] | 朱畇昊, 张梦佳, 董诚明. 外源MeJA对高温胁迫下半夏抗氧化系统和胁迫基因的影响[J]. 植物研究, 2021, 41(1): 67-73. |
| [6] | 谭永佳, 高翠芳, 陈学林. 不同海拔细叶亚菊挥发油成分的比较[J]. 植物研究, 2020, 40(5): 782-788. |
| [7] | 蔡年辉, 王大玮, 黄文学, 吴俊文, 王军民, 陈诗, 许玉兰, 段安安. 云南松苗木生长与生物量的相关性及通径分析[J]. 植物研究, 2019, 39(6): 853-862. |
| [8] | 刘旻霞, 李俐蓉, 车应弟, 焦骄. 高寒草甸不同演替阶段植物叶片功能性状研究[J]. 植物研究, 2019, 39(5): 760-769. |
| [9] | 吴金, 李承义, 李小芳, 张朝晖. 喀斯特天坑内孔雀藓科植物垂直分布特征及其与环境因子关系的研究[J]. 植物研究, 2019, 39(1): 45-53. |
| [10] | 段义忠, 杜忠毓, 亢福仁. 西北干旱区孑遗濒危植物蒙古沙冬青群落特征及与环境因子的关系[J]. 植物研究, 2018, 38(6): 834-842. |
| [11] | 李泽科, 吴启美, 王智慧, 张朝晖. 岩溶城市背景下贵阳市峰丛苔藓植物多样性分布及其生态特征[J]. 植物研究, 2018, 38(3): 433-443. |
| [12] | 常博文, 刘杰, 钟鹏, 郭晓瑞. 外源乙烯对长春花生理水平和生物碱积累的影响[J]. 植物研究, 2018, 38(2): 284-291. |
| [13] | 韩淑婷, 田桂泉, 韩淑美. 大青沟国家自然保护区不同植被类型地面生苔藓植物物种多样性研究[J]. 植物研究, 2017, 37(5): 664-672. |
| [14] | 黄文娟, 焦培培, 黄金花, 张丹. 塔里木河流域胡杨叶片解剖结构比较研究[J]. 植物研究, 2016, 36(5): 669-675. |
| [15] | 朱晓凤1,2;沈慧1*;金冬梅1;赵国华1,3;刘保东3;凌铁军2;严岳鸿1. 4种蕨类植物的孢子繁殖研究[J]. 植物研究, 2016, 36(2): 167-176. |
| 阅读次数 | ||||||
|
全文 |
|
|||||
|
摘要 |
|
|||||