植物研究 ›› 2025, Vol. 45 ›› Issue (2): 217-227.doi: 10.7525/j.issn.1673-5102.2025.02.008
佟瑶1,2, 邹丹蓉3(
), 黄钰淇2, 陶惠娟3, 靳亚忠1(
), 耿雪青2(
)
收稿日期:2024-11-20
出版日期:2025-03-20
发布日期:2025-04-04
通讯作者:
邹丹蓉,靳亚忠,耿雪青
E-mail:65669132@qq.com;jyz_hsp@126.com;xqgeng@sjtu.edu.cn
作者简介:佟瑶(2000—),女,硕士研究生,主要从事设施蔬菜栽培生理学研究。
基金资助:
Yao TONG1,2, Danrong ZOU3(
), Yuqi HUANG2, Huijuan TAO3, Yazhong JIN1(
), Xueqing GENG2(
)
Received:2024-11-20
Online:2025-03-20
Published:2025-04-04
Contact:
Danrong ZOU, Yazhong JIN, Xueqing GENG
E-mail:65669132@qq.com;jyz_hsp@126.com;xqgeng@sjtu.edu.cn
摘要:
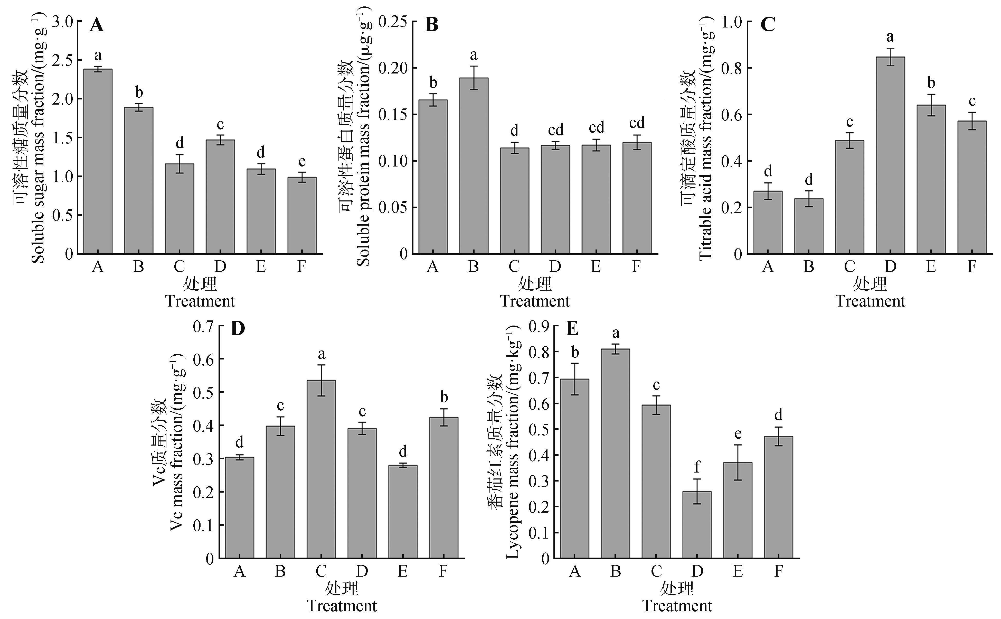
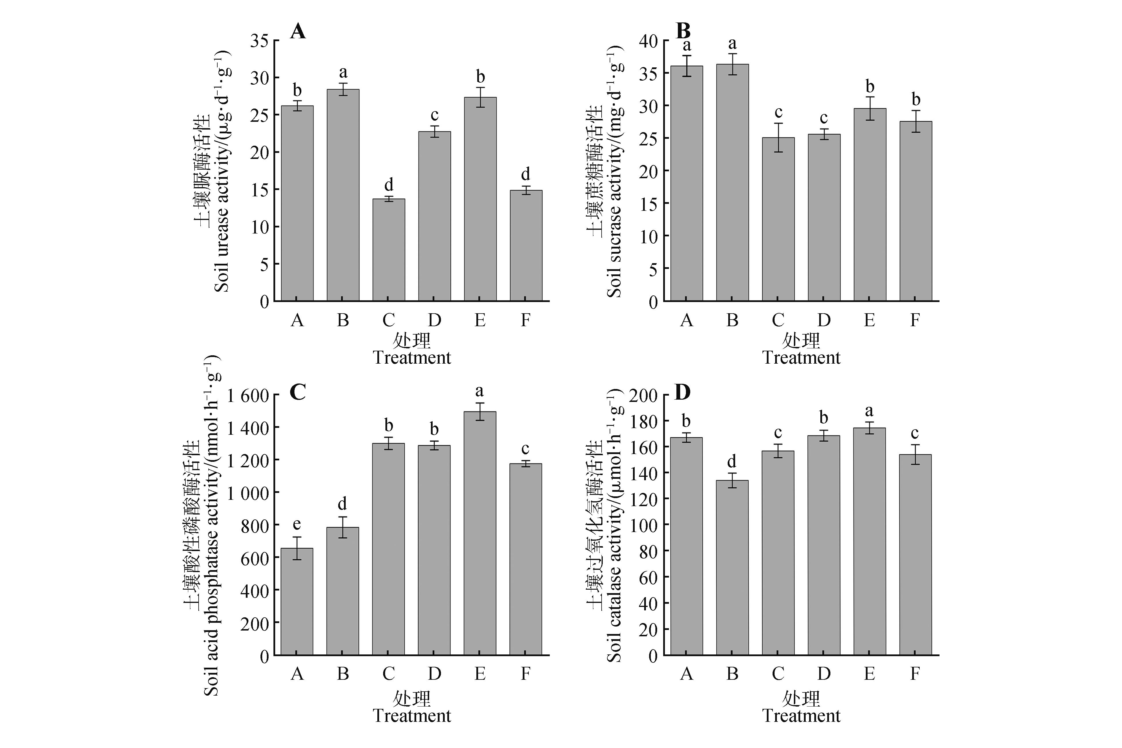
为探究农户种植棚与商业种植基地生产的黄渡番茄(Solanum lycopersicum)风味品质及土壤影响因子差异,该研究以分别种植于安亭镇泥岗村农户种植棚和百蒂凯基地种植棚的黄渡番茄品种“合作903”为试验材料,采集番茄果实、根际土壤,进行果实品质及其相关酶活性、酶编码基因表达特性和土壤酶活性、土壤氮磷钾含量测定与分析。与百蒂凯基地种植棚相比,农户种植棚种植的番茄果实可溶性糖、可溶性蛋白、番茄红素含量分别高了62.1%~141.1%、57.8%~66.1%、36.6%~212.6%;果实可滴定酸含量低了51.2%~71.9%,但Vc含量二者之间无明显差异。与百蒂凯基地相比,农户种植棚的土壤脲酶和蔗糖酶活性高了3.9%~106.9%和28.1%~47.5%,但酸性磷酸酶活性低了33.3%~56.1%;农户种植棚的土壤全氮含量和速效钾含量分别低了34.1%~44.8%和76.5%~84.5%,且农户2棚的土壤速效磷含量显著低于百蒂凯基地B091棚,达63.1%。此外,相较于其他种植棚,农户1棚的番茄果实蔗糖合成酶活性显著高了36.5%~140.5%,农户2棚和B091棚的果糖激酶活性分别高了29.2%~73.1%和40.7%~88.5%,且农户1棚的番茄果实中LeSS、LeFRK2、LeHXK3、LeME基因相对表达量显著高于百蒂凯基地种植棚的果实,但在百蒂凯基地B077棚种植的番茄果实中LePFK基因相对表达量最高;LeLYCB基因在农户2棚果实中相对表达量最高;LeLYCE基因在B085棚果实中相对表达量最高;LePSY基因在农户种植棚果实中相对表达量最高。土壤酶活性的改变,调节了土壤有效氮磷钾含量,改变了番茄果实风味品质相关酶活性及酶编码基因表达,导致了黄渡番茄风味品质的差异。
中图分类号:
佟瑶, 邹丹蓉, 黄钰淇, 陶惠娟, 靳亚忠, 耿雪青. 不同土壤条件下黄渡番茄风味品质差异[J]. 植物研究, 2025, 45(2): 217-227.
Yao TONG, Danrong ZOU, Yuqi HUANG, Huijuan TAO, Yazhong JIN, Xueqing GENG. Differences in Flavor Quality of Huangdu Tomato (Solanum lycopersicum) under Different Soil Conditions[J]. Bulletin of Botanical Research, 2025, 45(2): 217-227.
表1
qRT-PCR引物
基因 Gene | 引物序列(5′→3′) Primer sequences(5′→3′) |
|---|---|
| LeFRK2 | F: CGACGATGAGTTCGGTCACA R: CAAGATTCAACTCAGCGGGC |
| LePFK | F: GGTGAAGCTAATGGGTCGCT R: GCCCCTTCGGCTATCACAAT |
| LeME | F: ATCTCGGTTGCCAGGGAATG R: TTCCTTCCCGGTGACTCTCT |
| LeHXK3 | F: TTGGGCAAGATGTGGTTGGA R: TATTGTACCGACCTCCCGCT |
| LeSS | F: CCCAGATGAACCGAGTGAGG R: GGCAGACCACAAGTCATTGC |
| LeLYCB | F: CGACGTGATCATTATCGGAGC R: GTGGTGAAGGGTCAACACAACA |
| LeLYCE | F: GCCACAGGTTATTCAGTCGTCA R: CCAGTCCAAATAGGAAAAACGAT |
| LePSY | F: GGGCGGCCATTTGACAT R: AATGGCTGAATATCAACTGGAAAGT |
| LeUBI | F: TCGTAAGGAGTGCCCTAATGCTGA R: CAATCGCCTCCAGCCTTGTTGTAA |
| 1 | 陶惠娟,陈钰.嘉定区黄渡番茄品牌发展历史、现状及建议[J].上海农业科技,2023(3):16-17. |
| TAO H J, CHEN Y.Development history,current situation and suggestions of Huangdu tomato brand in Jiading District[J].Shanghai Agricultural Science and Technology,2023(3):16-17. | |
| 2 | 张宁宁,欧阳小雪,张孟娟,等.土壤理化性质与卫青萝卜品质相关性研究[J].中国土壤与肥料,2024(6):134-141. |
| ZHANG N N, OUYANG X X, ZHANG M J,et al.Study on the correlation between soil physicochemical properties and the quality of Weiqing radish[J].Soil and Fertilizer Sciences in China,2024(6):134-141. | |
| 3 | 苏兰茜,濮秋婕,白亭玉,等.土壤质地对菠萝蜜根际微生物碳源利用、线虫群落及果实糖分的影响[J].中国农业科学,2024,57(2):349-362. |
| SU L X, PU Q J, BAI T Y,et al.Effects of soil texture on rhizosphere microbial carbon source utilization,nematode community and fruit sugar of jackfruit[J].Scientia Agricultura Sinica,2024,57(2):349-362. | |
| 4 | BASTIDA F, ZSOLNAY A, HERNÁNDEZ T,et al.Past,present and future of soil quality indices:a biological perspective[J].Geoderma,2008,147(3/4):159-171. |
| 5 | 林玥,郝嘉琪,王维钰,等.不同耕作措施对黄土高原区域大豆根际土壤微生物量、酶活性和养分的影响[J].西北农业学报,2019,28(4):620-630. |
| LIN Y, HAO J Q, WANG W Y,et al.Effects of different tillage measures on soil microbial biomass,enzyme activities and nutrients in rhizosphere soil of the Loess Plateau[J].Acta Agriculturae Boreali-occidentalis Sinica,2019,28(4):620-630. | |
| 6 | GOMOLA C E, MCKAY J K, WALLENSTEIN M D,et al.Within-species trade-offs in plant-stimulated soil enzyme activity and growth,flowering,and seed size[J].Ecology and Evolution,2018,8(23):11717-11724. |
| 7 | 罗义菊,蓝增全,陶燕蓝,等.古老茶园茶叶生化品质与土壤环境因子的综合评价[J].江苏农业科学,2023, 51(17):204-211. |
| LUO Y J, LAN Z Q, TAO Y L,et al.Comprehensive evaluation of tea biochemical quality and soil environmental factors in ancient tea gardens[J].Jiangsu Agricultural Science,2023,51(17):204-211. | |
| 8 | 司玉坤.不同土壤类型下氮磷肥类型对小麦生长发育的影响[D].郑州:河南农业大学,2019. |
| SI Y K.Effects of nitrogen and phosphorus fertilizer types on growth and development of wheat under different soil types[D].Zhengzhou:Henan Agricultural University,2019. | |
| 9 | 杨梅,胡晓婷,徐卫红.不同类型土壤与辣椒风味品质的相关性研究[J].西南大学学报(自然科学版),2024,46(1):2-16. |
| YANG M, HU X T, XU W H.Study on correlation between different types of soil and flavor quality of pepper[J].Journal of Southwest University (Natural Science Edition),2024,46(1):2-16. | |
| 10 | 侯永侠,车畅,温璇,等.草莓果实品质及其与土壤养分的相关性分析[J].沈阳农业大学学报,2024,55(2):153-162. |
| HOU Y X, CHE C, WEN X,et al.Analysis on fruit quality of strawberry and its correlation with soil nutrient[J].Journal of Shenyang Agricultural University,2024,55(2):153-162. | |
| 11 | 曹永庆,任华东,王开良,等.不同类型土壤栽培香榧种仁品质综合评价和分析[J].果树学报,2022,39(5):836-845. |
| CAO Y Q, REN H D, WANG K L,et al.Comprehensive evaluation and analysis of kernel quality of Torreya grandis ‘Merrillii’ from different soil types[J].Journal of Fruit Science,2022,39(5):836-845. | |
| 12 | 许泽华,黄小晶,牛锐敏,等.贺兰山东麓赤霞珠葡萄产区土壤和葡萄及葡萄酒品质差异化分析[J].黑龙江农业科学,2023(4):65-70. |
| XU Z H, HUANG X J, NIU R M,et al.Quality difference of soil,grape and wine in the Cabernet Sauvignon grape producing areas at the eastern foot of Helan Mountain[J].Heilongjiang Agricultural Science,2023(4):65-70. | |
| 13 | 唐都,高疆生,徐崇志,等.土壤养分因子对灰枣果实风味品质的相关分析[J].新疆农业科学,2014,51(1):66-71. |
| TANG D, GAO J S, XU C Z,et al.Correlation analysis between soil factors and fruit quality of Ziziphus jujuba Mill.cv.Huizao[J].Xinjiang Agricultural Science,2014,51(1):66-71. | |
| 14 | 赵景景.不同土壤有机质水平对苹果叶片光合、果实糖酸代谢及品质的影响[D].杨凌:西北农林科技大学,2018. |
| ZHAO J J.Effects of different levels of soil organic matter on photosynthesis of leaves,sugar and organic acid metabolism as well as quality in apple fruit[D].Yangling:Northwest A&F University,2018. | |
| 15 | 李合生.植物生理生化实验原理和技术[M].北京:高等教育出版社,2000. |
| LI H S.Principles and techniques of plant physiological biochemical experiment[M].Beijing:Higher Education Press,2000:123,184,195,248. | |
| 16 | 李贞霞,沈欢欢,高苗苗,等.番茄红素在不同溶剂中的分光光度法分析[J].光谱学与光谱分析,2019, 39(4):1114-1117. |
| LI Z X, SHEN H H, GAO M M,et al.Analysis of lycopene in different solvents by spectrophotometry[J].Spectroscopy and Spectral Analysis,2019,39(4):1114-1117. | |
| 17 | 关松荫.土壤酶及其研究法[M].北京:农业出版社,1986. |
| GUAN S Y.Soil enzymes and their research methods[M].Beijing:Agriculture Press,1986. | |
| 18 | 宋以玲,于建,陈士更,等.化肥减量配施生物有机肥对油菜生长及土壤微生物和酶活性影响[J].水土保持学报,2018,32(1):352-360. |
| SONG Y L, YU J, CHEN S G,et al.Effects of reduced chemical fertilizer with application of bio-organic fertilizer on rape growth,microorganism and enzymes activities in soil[J].Journal of Soil and Water Conservation,2018,32(1):352-360. | |
| 19 | 孔涛,马瑜,刘民,等.生物有机肥对土壤养分和土壤微生物的影响[J].干旱区研究,2016,33(4):884-891. |
| KONG T, MA Y, LIU M,et al.Effect of applying biological organic fertilizer on soil nutrients and soil microbes[J].Arid Zone Research,2016,33(4):884-891. | |
| 20 | LIVAK K J, SCHMITTGEN T D.Analysis of relative gene expression data using real-time quantitative PCR and the 2-ΔΔ C T method[J].Methods,2001,25(4):402-408. |
| 21 | 李欣,陈小华,顾海蓉,等.典型农田土壤酶活性分布特征及影响因素分析[J].生态环境学报,2021,30(8):1634-1641. |
| LI X, CHEN X H, GU H R,et al.Distribution characteristics and influencing factors of enzyme activities in typical farmland soils[J].Ecology and Environment,2021,30(8):1634-1641. | |
| 22 | 姚槐应,黄昌勇.土壤微生物生态学及其实验技术[M].北京:科学出版社,2006. |
| YAO H Y, HUANG C Y.Soil microbial ecology and experimental techniques[M].Beijing:Science Press,2006. | |
| 23 | 熊湖,郑顺林,张德银,等.轮作与连作对马铃薯生长及土壤酶活性的影响[J].福建农业学报,2022,37(1):25-32. |
| XIONG H, ZHENG S L, ZHANG D Y,et al.Potato growth and soil enzyme activities as affected by rotation or continuous cropping cultivation[J].Fujian Journal of Agricultural Sciences,2022,37(1):25-32. | |
| 24 | ZHANG C J, KANG W J, ZHANG C M,et al.Evaluation of the effects of different rotation patterns on soil fertility based on principal component-cluster analysis[J].Journal of Soil and Water Conservation,2020,34(1):292-300. |
| 25 | ZHANG G L.Effects of straw and living grass mulching on soil nutrients,soil microbial quantities and soil enzyme activities in a peach orchard[J].Chinese Journal of Plant Ecology,2011,35(12):1236-1244. |
| 26 | 李茜,徐瑞蔓,陈迪,等.不同栽培年限人参根际土壤细菌群落与土壤理化性质和酶活性的相关性[J].植物营养与肥料学报,2022,28(2):313-324. |
| LI Q, XU R M, CHEN D,et al.Correlation of bacterial community with soil physicochemical properties and enzyme activities in rhizosphere soil under different cultivation years of ginseng (Panax ginseng C.A.Mey.)[J].Journal of Plant Nutrition and Fertilizer,2022,28(2):313-324. | |
| 27 | 吴金平,周洁,矫振彪,等.不同施肥方式对甘蓝生长、产量、品质及土壤酶活性的影响[J].中国瓜菜,2023,36(9):75-79. |
| WU J P, ZHOU J, JIAO Z B,et al.Effects of different fertilization methods on soil enzyme activity and growth,yield,quality of cabbage[J].Chinese Cucurbits and Vegetables,2023,36(9):75-79. | |
| 28 | 钟冰,陈远喜.施氮量对柑橘产量·品质·经济效益的影响[J].安徽农业科学,2016,44(36):74-76. |
| ZHONG B, CHEN Y X.Effects of nitrogen application on yield,quality and economic performance of citrus fruits[J].Journal of Anhui Agricultural Sciences,2016,44(36):74-76. | |
| 29 | 段文学,张海燕,解备涛,等.化肥和生物有机肥配施对鲜食型甘薯块根产量、品质及土壤肥力的影响[J].植物营养与肥料学报,2021,27(11):1971-1980. |
| DUAN W X, ZHANG H Y, XIE B T,et al.Effects of chemical and bio-organic fertilizers on tuber yield,quality,and soil fertility of edible sweetpotato[J].Journal of Plant Nutrition and Fertilizer,2021,27(11):1971-1980. | |
| 30 | 高柱,陈璐,张小丽,等.‘红阳’猕猴桃果园土壤养分与果实品质关系的多元分析及优化方案[J].江西农业大学学报,2022,44(2):358-367. |
| GAO Z, CHEN L, ZHANG X L,et al.Multivariate analysis and optimization of relationship between soil nutrients and fruit quality in Hongyang kiwifruit orchard[J].Acta Agriculturae Universitis Jiangxiensis,2022,44(2):358-367. | |
| 31 | 孙玲玲,刘鹏琰,王玉玲,等.江苏省绿色食品梨特征营养品质挖掘与保持技术研究[J].江苏农业科学,2024,52(12):141-149. |
| SUN L L, LIU P Y, WANG Y L,et al.Study on excavation and maintenance technology of characteristic nutritional quality of green food pear in Jiangsu Province[J].Jiangsu Agricultural Sciences,2024,52(12):141-149. | |
| 32 | 王同林,叶红霞,郑积荣,等.番茄果实中主要风味物质研究进展[J].浙江农业学报,2020,32(8):1513-1522. |
| WANG T L, YE H X, ZHENG J R,et al.Research progress of main flavor compounds in tomato fruits[J].Acta Agriculturae Zhejiangensis,2020,32(8):1513-1522. | |
| 33 | JIANG H Y, LI W, HE B J,et al.Sucrose metabolism in grape (Vitis vinifera L.) branches under low temperature during overwintering covered with soil[J].Plant Growth Regulation,2014,72(3):229-238. |
| 34 | 苏静.苹果果糖激酶基因MdFRK2调控果糖及纤维素含量的机制解析[D].杨凌:西北农林科技大学,2022. |
| SU J.Study on mechanism of apple fructokinase MdFRK2 in regulating sugar and cellulose content[D].Yangling:Northwest A&F University,2022. | |
| 35 | 秦伟,崔新仪,陈波浪,等.不同氮磷钾配比施肥对新疆红富士苹果糖分积累相关酶活性的影响[J].新疆农业大学学报,2013,36(6):431-436. |
| QIN W, CUI X Y, CHEN B L,et al.Effects of different fertilization ratio of N,P and K on related enzyme activities of sugar accumulation in Xinjiang Red Fuji apple[J].Journal of Xinjiang Agricultural University,2013,36(6):431-436. | |
| 36 | 田志娇.不同土壤养分和微生物群落结构对芦柑果实品质的影响[D].福州:福建农林大学,2024. |
| TIAN Z J.The effects of different soil nutrients and microbial community structures on the quality of ponkan fruit[D].Fuzhou:Fujian Agriculture and Forestry University,2024. | |
| 37 | DAI N, SCHAFFER A, PETREIKOV M,et al.Potato (Solanum tuberosum L.) fructokinase expressed in yeast exhibits inhibition by fructose of both in vitro enzyme activity and rate of cell proliferation[J].Plant Science,1997,128(2):191-197. |
| 38 | 李文娟,何萍,金继运.钾素对玉米茎腐病抗性反应中糖类物质代谢的影响[J].植物营养与肥料学报,2011,17(1):55-61. |
| LI W J, HE P, JIN J Y.Effect of potassium on sugar metabolism in resistant response to corn stalk rot[J].Journal of Plant Nutrition and Fertilizers,2011,17(1):55-61. | |
| 39 | 沈衡,王琳,李骞,等.番茄风味和功能性成分研究进展[J].园艺学报,2024,51(2):423-438. |
| SHEN H, WANG L, LI Q,et al.Research progress on flavor and functional components of tomato[J].Acta Horticulturae Sinica,2024,51(2):423-438 | |
| 40 | BANG H, KIM S, LESKOVAR D,et al.Development of a codominant CAPS marker for allelic selection between canary yellow and red watermelon based on SNP in lycopene β-cyclase (LCYB) gene[J].Molecular Breeding,2007,20(1):63-72. |
| 41 | 马荣雪,周永海,程登虎,等.不同外源物质对西瓜番茄红素含量及其关键酶基因表达的影响[J].西北农林科技大学学报(自然科学版),2021,49(12):80-88. |
| MA R X, ZHOU Y H, CHENG D H,et al.Effect of different exogenous substances on watermelon lycopene content and gene expression of key enzymes[J].Journal of Northwest A&F University (Natural Science Edition),2021,49(12):80-88. | |
| 42 | 陈选阳,张招娟.甘薯生长期间块根β-胡萝卜素合成基因的表达分析[J].热带作物学报,2011,32(10):1838-1842. |
| CHEN X Y, ZHANG Z J.Study on the relationship between accumulation of β-carotene and expression of genes for β-carotene biosynthesis in the storage roots of sweet potato [Ipomoea batatas L.(Lam)][J].Chinese Journal of Tropical Crops,2011,32(10):1838-1842. | |
| 43 | 王慧,欧承刚,庄飞云,等.胡萝卜中类胡萝卜素积累与主要合成基因转录水平相关性分析[J].园艺学报,2014,41(12):2513-2520. |
| WANG H, OU C G, ZHUANG F Y,et al.Relationship of carotenoid accumulation and transcript of main genes in carotenoid biosynthesis in carrot[J].Acta Horticulturae Sinica,2014,41(12):2513-2520. | |
| 44 | YAN J B, KANDIANIS C B, HARJES C E,et al.Rare genetic variation at Zea mays crtRB1 increases β-carotene in maize grain[J].Nature Genetics,2010,42(4):322-327. |
| [1] | 许韫鑫, 丛煜嫣, 张瑶, 王傲雪. 枯草芽孢杆菌C08可湿性粉剂研制及其对番茄早疫病防治效果[J]. 植物研究, 2026, 46(2): 294-309. |
| [2] | 潘艳艳, 李晓光, 刘立君, 李鸿, 钟鑫, 张义飞. 红松生长和根际土壤酶活性对紫丁香蘑菌剂接种的响应[J]. 植物研究, 2025, 45(3): 460-470. |
| [3] | 罗莉娟, 尹清孝, 孙伟, 昝玺, 史清茂, 张晶, 陈亚梅, 胥晓. 四川米仓山水青冈天然林下不同植物群落的土壤酶活性及化学计量特征[J]. 植物研究, 2024, 44(3): 470-480. |
| [4] | 周露华, 方俊仪, 熊子墨, 巫伟峰, 刘佳瑞, 陆乔, 凌宏清, 孔丹宇. 不同番茄种质的耐涝能力评价[J]. 植物研究, 2023, 43(5): 657-666. |
| [5] | 许吉康, 何炎红, 刘婷岩, 郝龙飞, 张盛晰, 李赵毅. 砒砂岩区不同生态修复植被根际土壤微生态环境特征[J]. 植物研究, 2023, 43(4): 531-539. |
| [6] | 刘婷岩, 郝龙飞, 王续富, 闫海霞, 白淑兰. 氮沉降及菌根真菌对长白落叶松苗木根系构型及根际酶活性的影响[J]. 植物研究, 2021, 41(1): 145-151. |
| [7] | 赵春建, 李玉正, 关佳晶, 苏伟然, 田瑶, 王婷婷, 李申, 李春英. 东北红豆杉—无花果复合种植对两种植物生长和土壤酶活性影响[J]. 植物研究, 2020, 40(5): 679-685. |
| [8] | 冯学超, 陈露露, 杜可玉, 李勇鹏, 赵凌侠. 毛酸浆(Physalis pubescens)花形态特征与小孢子发育[J]. 植物研究, 2019, 39(5): 647-652. |
| [9] | 马鹏宇, 张红光, 昝鹏, 顾伟平, 温璐宁, 张子嘉, 翁海龙, 孙涛, 毛子军. 长期氮添加对东北地区兴安落叶松人工林土壤酶的影响[J]. 植物研究, 2019, 39(4): 598-603. |
| [10] | 王小平, 肖肖, 唐天文, 黎云祥, 肖娟. 连香树人工林根系分泌物输入季节性变化及其驱动的根际微生物特性研究[J]. 植物研究, 2018, 38(1): 47-55. |
| [11] | 宋方圆1;宿红艳2*;程显好2;朱路英2;王磊1. 番茄TNAC基因的鉴定及表达分析[J]. 植物研究, 2015, 35(6): 898-903. |
| [12] | 刘霞;胡宗利;张彦杰;朱明库;殷文成;陈国平*. 番茄SlMYBL基因的克隆、生物信息学及表达特性分析[J]. 植物研究, 2014, 34(5): 664-670. |
| [13] | 张建苓;陈国平;朱明库;涂昀;胡功铃;胡宗利*. 番茄DEAD-box RNA解旋酶基因SlDEAH1的克隆及表达分析[J]. 植物研究, 2014, 34(1): 44-52. |
| [14] | 曹颖;胡尚连;张慧莹;唐晓凤;刘永胜. 番茄醇酰基转移酶基因SlAAT1克隆、序列分析和原核表达[J]. 植物研究, 2012, 32(6): 731-736. |
| [15] | 曹颖;唐晓凤;刘永胜. 番茄COBRA基因克隆、表达模式及生物信息学分析[J]. 植物研究, 2012, 32(3): 304-310. |
| 阅读次数 | ||||||
|
全文 |
|
|||||
|
摘要 |
|
|||||