Bulletin of Botanical Research ›› 2026, Vol. 46 ›› Issue (2): 336-347.doi: 10.7525/j.issn.1673-5102.2026.02.012
• Original Paper • Previous Articles Next Articles
Hua YANG, Qihang LU, Yanjun DU(
), Wenna WANG(
)
Received:2025-12-30
Online:2026-03-20
Published:2026-04-02
Contact:
Yanjun DU, Wenna WANG
E-mail:yanjun.du@hainanu.edu.cn;wennawang@hainanu.edu.cn
CLC Number:
Hua YANG, Qihang LU, Yanjun DU, Wenna WANG. Whole-plant Carbon and Nitrogen Allocation and Trade-off Strategies of Invasive Laguncularia racemosa and Native Avicennia marina across Dry and Wet Seasons[J]. Bulletin of Botanical Research, 2026, 46(2): 336-347.
Add to citation manager EndNote|Ris|BibTeX
URL: https://bbr.nefu.edu.cn/EN/10.7525/j.issn.1673-5102.2026.02.012
Table 1
Soil physicochemical properties of the top 0-20 cm layer in Laguncularia racemosa and Avicennia marina pure and mixed stands across dry and wet seasons
土层 Soil layer/cm | 季节 Season | 群落类型 Stand type | 全氮 Total nitrogen/ (g·kg-1) | 全碳 Total carbon/ (g·kg-1) | 碳氮比 Carbon-to- nitrogen ratio | 电导率 Electric conductivity/ (mS·cm-1) | 酸碱度 pH | 含水量 Water content/% |
|---|---|---|---|---|---|---|---|---|
| [0,10) | 雨季 Wet season | Lr-P | 0.05±0.01A* | 4.27±0.63A | 93.43±8.21A* | 3.24±1.30A | 7.53±0.07A | 12.57±1.62A |
| Am-P | 0.06±0.02A* | 3.25±0.53A | 55.55±0.37B* | 2.22±0.09A | 7.30±0.06AB | 12.50±2.58A | ||
| Lr-Am-M | 0.08±0.02A* | 4.95±1.18A | 62.88±4.95B* | 2.42±0.16A | 7.20±0.12B | 13.62±2.37A | ||
旱季 Dry season | Lr-P | 0.32±0.04B* | 5.77±0.50A | 17.05±2.61A* | 5.75±4.09A | 7.37±0.15A | 15.25±5.09A | |
| Am-P | 0.62±0.07A* | 6.25±1.31A | 10.02±1.72B* | 5.07±2.01A | 7.27±0.27A | 17.52±2.88A | ||
| Lr-Am-M | 0.39±0.02B* | 3.32±0.17B | 8.95±0.80B* | 3.48±1.07A | 7.13±0.07A | 15.98±1.30A | ||
| [ | 雨季 Wet season | Lr-P | 0.04±0.00A* | 2.76±0.54A | 79.14±10.57A* | 8.23±2.17A | 7.37±0.09A | 14.23±1.99A |
| Am-P | 0.05±0.02A* | 3.21±1.64A | 49.41±7.10B* | 5.10±2.54A | 7.30±0.12A | 12.81±2.17A | ||
| Lr-Am-M | 0.06±0.01A* | 3.71±0.82A | 56.70±2.78B* | 5.08±1.22A | 7.33±0.07A | 17.44±2.46A | ||
旱季 Dry season | Lr-P | 0.25±0.11A* | 3.80±0.99A | 17.55±1.64A* | 6.10±3.15A | 7.33±0.26A | 15.28±5.07A | |
| Am-P | 0.31±0.07A* | 2.81±0.69A | 9.47±1.34B* | 2.79±0.85A | 7.27±0.07A | 9.91±2.08A | ||
| Lr-Am-M | 0.34±0.01A* | 2.84±0.17A | 8.50±0.29B* | 3.00±0.62A | 7.23±0.09A | 15.45±0.33A |
Table 2
Three-way ANOVA results of the effects of season,tree species,organ and their interactions on carbon and nitrogen mass fraction and their ratios of Laguncularia racemosa and Avicennia marina
变量 Variable | 全碳 Total carbon/(g·kg-1) | 全氮 Total nitrogen/(g·kg-1) | 碳氮比 Carbon-to-nitrogen ratio | ||||||
|---|---|---|---|---|---|---|---|---|---|
自由度 df | F | P | 自由度df | F | P | 自由度df | F | P | |
| 季节 Seasons | 1 | 19.53 | <0.01 | 1 | 3.84 | 0.06 | 1 | 0.10 | 0.75 |
| 树种 Tree species | 1 | 2.14 | 0.15 | 1 | 228.83 | <0.01 | 1 | 54.16 | <0.01 |
| 器官 Organs | 2 | 136.83 | <0.01 | 2 | 130.68 | <0.01 | 2 | 17.36 | <0.01 |
| 季节×树种 Seasons×Tree species | 1 | 0.12 | 0.73 | 1 | 2.35 | 0.13 | 1 | 0.02 | 0.88 |
| 季节×器官 Seasons×Organs | 2 | 1.88 | 0.16 | 2 | 1.39 | 0.26 | 2 | 4.16 | 0.02 |
| 树种×器官 Tree species×Organs | 2 | 1.01 | 0.37 | 2 | 19.14 | <0.01 | 2 | 5.73 | <0.01 |
| 季节×树种×器官 Seasons×Tree species×Organs | 2 | 1.37 | 0.26 | 2 | 1.36 | 0.27 | 2 | 3.84 | 0.03 |
Fig.1
Mass fraction of total carbon in each organ of Laguncularia racemosa and Avicennia marina in pure-(A,B)and mixed-(C,D)stands across seasonsA. Laguncularia racemosa pure stand;B. Avicennia marina pure stand;C. L. racemosa mixed stand;D. A. marina mixed stand. Different uppercase letters indicated significant differences between species within the same season and organ(P<0.05). Different lowercase letters indicated significant differences between stand types within the same species and organ. Asterisks (*) indicated significant differences between seasons within the same stand type and organ. The same as below.
Table 3
Spearman correlation coefficients of organ carbon and nitrogen characteristics in Laguncularia racemosa and Avicennia marina with soil physicochemical properties across seasons and soil depths
土壤深度 Soil depth/cm | 季节 Season | 树种 Tree species | 关联类型 Relationship type | ||||||||
|---|---|---|---|---|---|---|---|---|---|---|---|
叶 Leaf | 土壤 Soil | 相关系数 r | 枝 Branch | 土壤 Soil | 相关系数 r | 根 Root | 土壤 Soil | 相关系数 r | |||
| [0,10) | 雨季 Wet season | 拉关木Lr | N | pH | -0.883* | C | N | 0.971** | C∶N | 含水量 | 0.829* |
| C∶N | pH | 0.883* | C | C | 1.000** | ||||||
| C | 含水量 | 0.943** | |||||||||
| 白骨壤Am | ns | C | N | 0.928** | C | 电导率 | 0.829* | ||||
| C | 含水量 | 0.886* | N | 电导率 | -0.943** | ||||||
| C∶N | 电导率 | 0.829* | |||||||||
| C∶N | pH | -0.883* | |||||||||
旱季 Dry season | 拉关木Lr | C | 电导率 | 0.841* | C | N | -0.886* | N | C | -0.829* | |
| C | 含水量 | 0.829* | N | C∶N | -0.829* | ||||||
| C∶N | C | 0.829* | C∶N | C | 0.829* | ||||||
| C∶N | C∶N | 0.829* | C∶N | C∶N | 0.829* | ||||||
| 白骨壤Am | ns | ns | ns | ||||||||
| [ | 雨季 Wet season | 拉关木Lr | ns | ns | C∶N | C | 0.829* | ||||
| C∶N | 含水量 | 0.943** | |||||||||
| 白骨壤Am | ns | C | N | 0.943* | C | 电导率 | -0.829* | ||||
| C | C | 0.829* | |||||||||
旱季 Dry season | 拉关木Lr | C | C | 0.829* | C | C∶N | 0.829* | N | C∶N | -0.829* | |
| C∶N | C∶N | 0.829* | C∶N | C∶N | 0.829* | ||||||
| 白骨壤Am | C∶N | 含水量 | 0.886* | C | N | 0.829* | ns | ||||
| C∶N | 电导率 | -0.886* | |||||||||
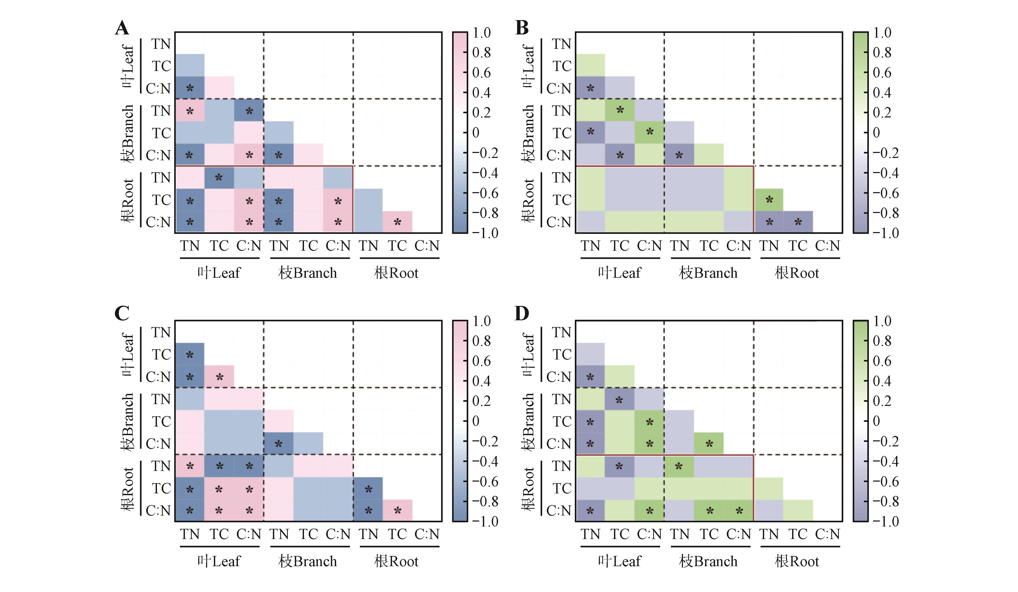
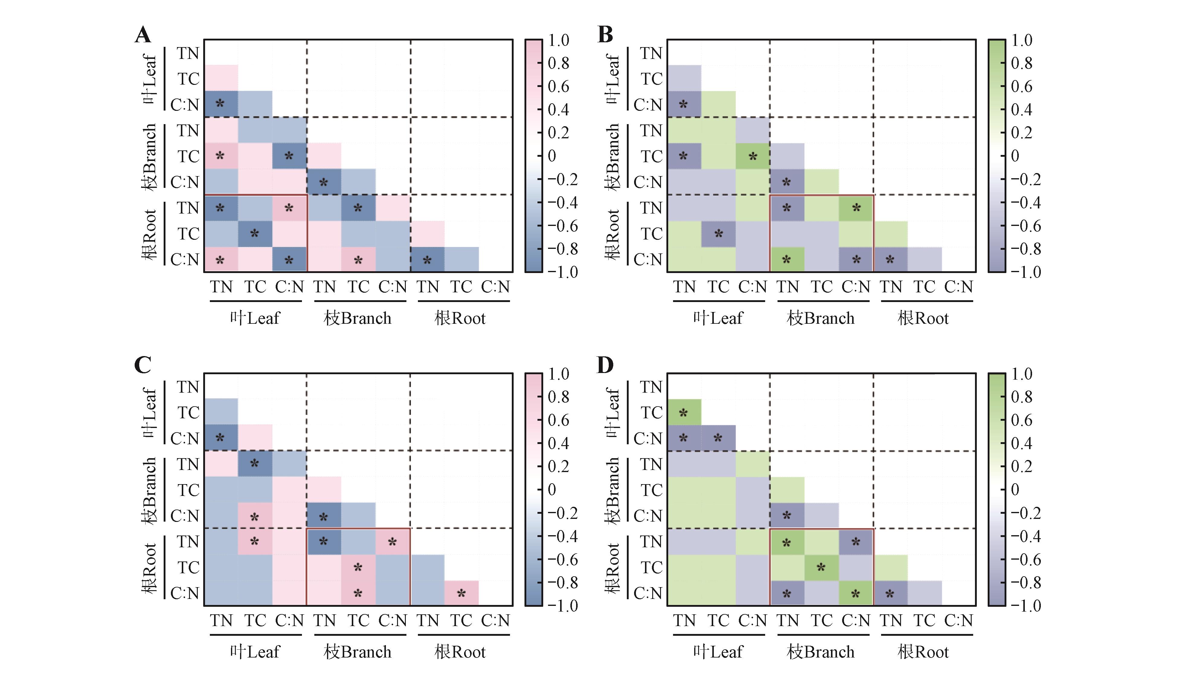
Fig.4
Correlations among organ carbon and nitrogen contents,and carbon-to-nitrogen ratios of Laguncularia racemosa in pure-(A,B)and mixed-(C,D)stands across seasonsA. Pure stand in the wet season;B. Pure stand in the dry season;C. Mixed stand in the wet season;D. Mixed stand in the dry season. TN. Total nitrogen content;TC. Total carbon content;C∶N.Carbon-to-nitrogen ratio;*.P<0.05. The same as below.
| [1] | CHEN X L, CHEN H Y H. Plant mixture balances terrestrial ecosystem C∶N∶P stoichiometry[J].Nature Communications,2021,12:4562. |
| [2] | PEÑUELAS J, SARDANS J.The global nitrogen-phosphorus imbalance[J].Science,2022,375(6578):266-267. |
| [3] | LIU R, YANG X J, GAO R R,et al.Coordination of economics spectra in leaf,stem and root within the genus Artemisia along a large environmental gradient in China[J].Global Ecology and Biogeography,2023,32(2):324-338. |
| [4] | WRIGHT I J, REICH P B, WESTOBY M,et al.The worldwide leaf economics spectrum[J].Nature,2004,428:821-827. |
| [5] | DÍAZ S, KATTGE J, CORNELISSEN J H C,et al.The global spectrum of plant form and function[J].Nature,2016,529:167-171. |
| [6] | VAN KLEUNEN M, WEBER E, FISCHER M.A meta-analysis of trait differences between invasive and non-invasive plant species[J].Ecology Letters,2010,13(2):235-245. |
| [7] | HEBERLING J M, FRIDLEY J D.Resource-use strategies of native and invasive plants in Eastern North American forests[J].New Phytologist,2013,200(2):523-533. |
| [8] | RILOV G, CANNING-CLODE J, GUY-HAIM T.Ecological impacts of invasive ecosystem engineers:a global perspective across terrestrial and aquatic systems[J].Functional Ecology,2024,38(1):37-51. |
| [9] | FUNK J L, VITOUSEK P M.Resource-use efficiency and plant invasion in low-resource systems[J].Nature,2007,446(7139):1079-1081. |
| [10] | STOTZ G C, SALGADO-LUARTE C, ESCOBEDO V M,et al.Phenotypic integration limits the variation in plant phenotypic plasticity among traits:a meta-analysis[J].Functional Ecology,2025,39(11):3021-3033. |
| [11] | HE N P, LI Y, LIU C C,et al.Plant trait networks:improved resolution of the dimensionality of adaptation[J].Trends in Ecology & Evolution,2020,35(10):908-918. |
| [12] | MATESANZ S, BLANCO-SÁNCHEZ M, RAMOS-MUÑOZ M,et al.Phenotypic integration does not constrain phenotypic plasticity:differential plasticity of traits is associated to their integration across environments[J].New Phytologist,2021,231(6):2359-2370. |
| [13] | CARRILLO Y, BELL C, KOYAMA A,et al.Plant traits,stoichiometry and microbes as drivers of decomposition in the rhizosphere in a temperate grassland[J].Journal of Ecology,2017,105(6):1750-1765. |
| [14] | TESTE F P, KARDOL P, TURNER B L,et al.Plant-soil feedback and the maintenance of diversity in Mediterranean-climate shrublands[J].Science,2017,355(6321):173-176. |
| [15] | CHENG J K, YU S X.Nitrogen allocation among leaves and roots mediates the interaction between plant life history trade-off and density dependence[J].Frontiers in Plant Science,2025,16:1549801. |
| [16] | GOLDBERG L, LAGOMASINO D, THOMAS N,et al.Global declines in human-driven mangrove loss[J].Global Change Biology,2020,26(10):5844-5855. |
| [17] | BAI J K, MENG Y C, GOU R K,et al.The linkages between stomatal physiological traits and rapid expansion of exotic mangrove species (Laguncularia racemosa) in new territories[J].Frontiers in Marine Science,2023,10:1136443. |
| [18] | LI H K, CHEN C L, ZHOU J Y,et al.Exotic mangrove Laguncularia racemosa litter input accelerates nutrient cycling in mangrove ecosystems[J].Frontiers in Plant Science,2024,15:1463548. |
| [19] | SOBUJ N, SINGH K, BYUN C.Responses of invasive and native plant species to drought stress and elevated CO2 concentrations:a meta-analysis[J].NeoBiota,2024,96:381-401. |
| [20] | COHEN I, ZANDALINAS S I, HUCK C,et al.Meta-analysis of drought and heat stress combination impact on crop yield and yield components[J].Plant Physiology,2021,171(1):66-76. |
| [21] | CARDONA-OLARTE P, KRAUSS K W, TWILLEY R R.Leaf gas exchange and nutrient use efficiency help explain the distribution of two neotropical mangroves under contrasting flooding and salinity[J].International Journal of Forestry Research,2013,2013(1):524625. |
| [22] | NGUYEN H T, STANTON D E, SCHMITZ N,et al.Growth responses of the mangrove Avicennia marina to salinity:development and function of shoot hydraulic systems require saline conditions[J].Annals of Botany,2015,115(3):397-407. |
| [23] | LEISHMAN M R, HASLEHURST T, ARES A,et al.Leaf trait relationships of native and invasive plants:community- and global-scale comparisons[J].New Phytologist,2007,176(3):635-643. |
| [24] | WANG L M, MU M R, LI X F,et al.Differentiation between true mangroves and mangrove associates based on leaf traits and salt contents[J].Journal of Plant Ecology,2011,4(4):292-301. |
| [25] | 陈毅青,陈宗铸,陈小花,等.石梅湾3种植物叶片与其群落凋落物C,N,P生态化学计量特征研究[J].林业资源管理,2020,(4):66-73. |
| CHEN Y Q, CHEN Z Z, CHEN X H,et al.A study on ecological stoichiometric characteristics of C,N and P in three kinds of plant leaves and their community litters in Shimeiwan of Hainan Island[J].Forest and Grassland Resources Research,2020,(4):66-73. | |
| [26] | ADLER P B, SALGUERO-GÓMEZ R, COMPAGNONI A,et al.Functional traits explain variation in plant life history strategies[J].Proceedings of the National Academy of Sciences of the United States of America,2014,111(2):740-745. |
| [27] | FRESCHET G T, ROUMET C, COMAS L H,et al.Root traits as drivers of plant and ecosystem functioning:current understanding,pitfalls and future research needs[J].New Phytologist,2021,232(3):1123-1158. |
| [28] | PÉREZ A, MACHADO W, SANDERS C J.Anthropogenic and environmental influences on nutrient accumulation in mangrove sediments[J].Marine Pollution Bulletin,2021,165:112174. |
| [29] | WANG Y, LI D Y, LU Z Q,et al.Decomposition and variation in carbon and nitrogen of leaf litter mixtures in a subtropical mangrove forest[J].Forests,2024,15(4):672. |
| [30] | CHAO L, LIU Y Y, FRESCHET G T,et al.Litter carbon and nutrient chemistry control the magnitude of soil priming effect[J].Functional Ecology,2019,33(5):876-888. |
| [31] | HANDA I T, AERTS R, BERENDSE F,et al.Consequences of biodiversity loss for litter decomposition across biomes[J].Nature,2014,509:218-221. |
| [32] | JOLY F X, FROMIN N, KIIKKILÄ O,et al.Diversity of leaf litter leachates from temperate forest trees and its consequences for soil microbial activity[J].Biogeochemistry,2016,129:373-388. |
| [33] | SANTONJA M, RANCON A, FROMIN N,et al.Plant litter diversity increases microbial abundance,fungal diversity,and carbon and nitrogen cycling in a Mediterranean shrubland[J].Soil Biology and Biochemistry,2017,111:124-134. |
| [34] | REEF R, FELLER I C, LOVELOCK C E.Nutrition of mangroves[J].Tree Physiology,2010,30(9):1148-1160. |
| [35] | YU Z W, WANG M L, SUN Z Y,et al.Changes in the leaf functional traits of mangrove plant assemblages along an intertidal gradient in typical mangrove wetlands in Hainan,China[J].Global Ecology and Conservation,2023,48:e02749. |
| [36] | LIU Q Y, WANG H M, XU X L.Root nitrogen acquisition strategy of trees and understory species in a subtropical pine plantation in southern China[J].European Journal of Forest Research,2020,139(5):791-804. |
| [37] | HU G, ZHANG Z H, LI L.Responses of carbon,nitrogen,and phosphorus contents and stoichiometry in soil and fine roots to natural vegetation restoration in a tropical mountainous area,southern China[J].Frontiers in Plant Science,2023,14:1181365. |
| [38] | WANG J X, VILLAR-SALVADOR P, LI G L,et al.Moderate water stress does not inhibit nitrogen remobilization,allowing fast growth in high nitrogen content Quercus variabilis seedlings under dry conditions[J].Tree Physiology,2019,39(4):650-660. |
| [39] | HEINEMANN B, HILDEBRANDT T M.The role of amino acid metabolism in signaling and metabolic adaptation to stress-induced energy deficiency in plants[J].Journal of Experimental Botany,2021,72(13):4634-4645. |
| [40] | ZAYED O, HEWEDY O A, ABDELMOTELEB A,et al.Nitrogen journey in plants:from uptake to metabolism,stress response,and microbe interaction[J].Biomolecules,2023,13(10):1443. |
| [41] | LIANG S Y, TAN T, WU D Z,et al.Seasonal variations in carbon,nitrogen,and phosphorus of Pinus yunnanensis at different stand ages[J].Frontiers in Plant Science,2023,14:1107961. |
| [42] | HASHIMOTO Y, MASUMOTO T, ITO T,et al.Can fine-root non-structural carbohydrates explain seasonal variations in the respiration in subalpine forests?[J].Physiologia Plantarum,2025,177(6):e70615. |
| [43] | ROBERT E M, SCHMITZ N, COPINI P,et al.Visualization of the stem water content of two genera with secondary phloem produced by successive cambia through Magnetic Resonance Imaging (MRI)[J].Journal of Plant Hydraulics,2014,1:e0006. |
| [44] | LOVELOCK C E, BALL M C, FELLER I C,et al.Variation in hydraulic conductivity of mangroves:influence of species,salinity,and nitrogen and phosphorus availability[J].Physiologia Plantarum,2006,127(3):457-464. |
| [45] | REEF R, MARKHAM H L, SANTINI N S,et al.The response of the mangrove Avicennia marina to heterogeneous salinity measured using a split-root approach[J].Plant and Soil,2015,393(1):297-305. |
| [46] | WEI L L, LOCKINGTON D A, POH S C,et al.Water use patterns of estuarine vegetation in a tidal creek system[J].Oecologia,2013,172(2):485-494. |
| [47] | ZIPFEL C, OLDROYD G E D.Plant signalling in symbiosis and immunity[J].Nature,2017,543:328-336. |
| [48] | SURIYAGODA L D B, RYAN M H, GILLE C E,et al.Phosphorus fractions in leaves[J].New Phytologist,2023,237(4):1122-1135. |
| [49] | MÉNDEZ-ALONZO R, LÓPEZ-PORTILLO J, MOCTEZUMA C,et al.Osmotic and hydraulic adjustment of mangrove saplings to extreme salinity[J].Tree Physiology,2016,36(12):1562-1572. |
| [50] | SOBRADO M A.Relationship of water transport to anatomical features in the mangrove Laguncularia racemosa grown under contrasting salinities[J].New Phytologist,2007,173(3):584-591. |
| [51] | SUÁREZ N.Leaf longevity,construction,and maintenance costs of three mangrove species under field conditions[J].Photosynthetica,2003,41(3):373-381. |
| [52] | KOMIYAMA A, ONG J E, POUNGPARN S.Allometry,biomass,and productivity of mangrove forests:a review[J].Aquatic Botany,2008,89(2):128-137. |
| [53] | LANG'AT J K S, KIRUI B K Y, SKOV M W,et al.Species mixing boosts root yield in mangrove trees[J].Oecologia,2013,172(1):271-278. |
| [1] | Xi LIU, Hongyuan HUANG, Shengchang YI, Yadi YU, Hao WANG, Xiaokang NI, Yuli HU, Ling ZHANG. Progress on Interaction of Invasive Plants and Mycorrhizal Fungi and Its Effect on Soil Nitrogen Cycling [J]. Bulletin of Botanical Research, 2025, 45(3): 371-385. |
| [2] | Yandong JIANG, Zhengdong PENG, Qi XU, Wanyi GAN, Liujing HUANG. Responses of Leaf and Fine Root Functional Traits of Alternanthera philoxeroides to Heterogeneous Habitats [J]. Bulletin of Botanical Research, 2024, 44(3): 410-419. |
| [3] | Jiaxing CHEN, Shu WANG, Linli CHEN, Xiali HOU, Qingzhu YANG, Renya YIN. Effects of Drought Conditions on Interspecific Interactions and Growth of Bidens pilosa and Buddleja lindleyana [J]. Bulletin of Botanical Research, 2023, 43(5): 720-728. |
| [4] | Ke-Xin MA, Mei ZHANG, Xin FANG, Li-Li TANG, Jian-Hua HAN, Li-Fang YANG, Fu-Chen SHI. Effects of Invasive Plant Datura stramonium on the Functional Traits of Native Plants and the Stoichiometric Characteristics of Soil Carbon, Nitrogen and Phosphorus [J]. Bulletin of Botanical Research, 2020, 40(6): 867-875. |
| [5] | ZU Yuan-Gang;ZHANG Xiao-Nan;REN Zhi-Guang;ZHAO Xiu-Hua. Cu,Pb accumulation of invasive plant Iva xanthifolia [J]. Bulletin of Botanical Research, 2010, 30(5): 612-616. |
| [6] | FANG Fang, MAO Wei, GUO Shui-Liang. Study on allelopathic effects of the invasive plant annual fleabane [J]. Bulletin of Botanical Research, 2005, 25(4): 449-452. |
| [7] | YAN Yue-Hong, HE Zu-Xia, SHEA She-Sang, HUANG Zhong-Liang, XING Fu-Wu. A survey on the invasive plants in Kap O Islands, Northeastern Hong Kong [J]. Bulletin of Botanical Research, 2005, 25(2): 242-248. |
| [8] | HUANG Hua, GUO Shui-Liang. Analysis of population genetic differences of the invasive plant Solidago canadensis [J]. Bulletin of Botanical Research, 2005, 25(2): 197-204. |
| Viewed | ||||||
|
Full text |
|
|||||
|
Abstract |
|
|||||