植物研究 ›› 2025, Vol. 45 ›› Issue (5): 755-768.doi: 10.7525/j.issn.1673-5102.2025.05.010
张茜1, 方海富1, 赵红2, 申家成2, 刘亮英1, 徐昕彤1, 张令1(
)
收稿日期:2024-11-21
出版日期:2025-09-20
发布日期:2025-09-28
通讯作者:
张令
E-mail:lingzhang09@126.com
作者简介:张茜(1999— ),女,硕士研究生,主要从事土壤碳氮循环研究。
基金资助:
Xi ZHANG1, Haifu FANG1, Hong ZHAO2, Jiacheng SHEN2, Liangying LIU1, Xintong XU1, Ling ZHANG1(
)
Received:2024-11-21
Online:2025-09-20
Published:2025-09-28
Contact:
Ling ZHANG
E-mail:lingzhang09@126.com
摘要:
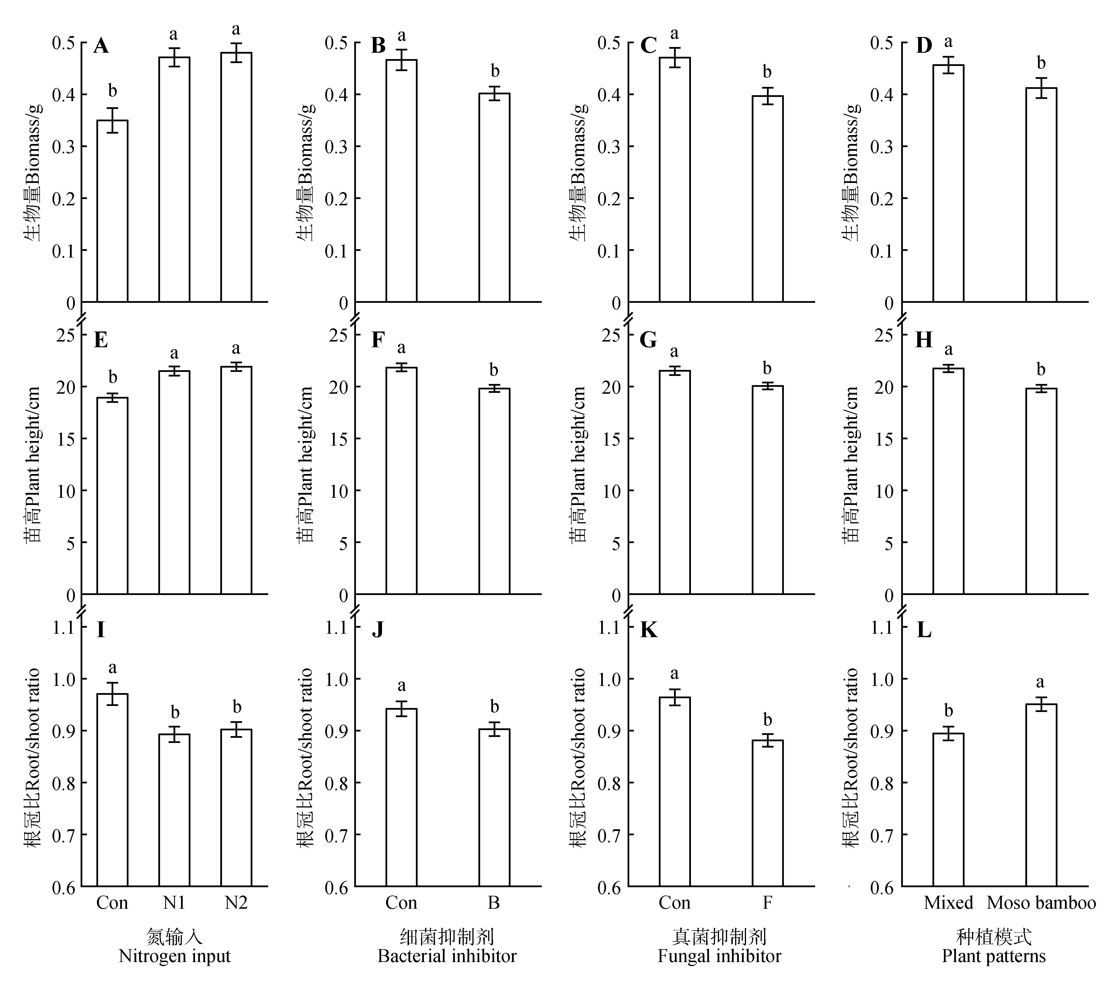
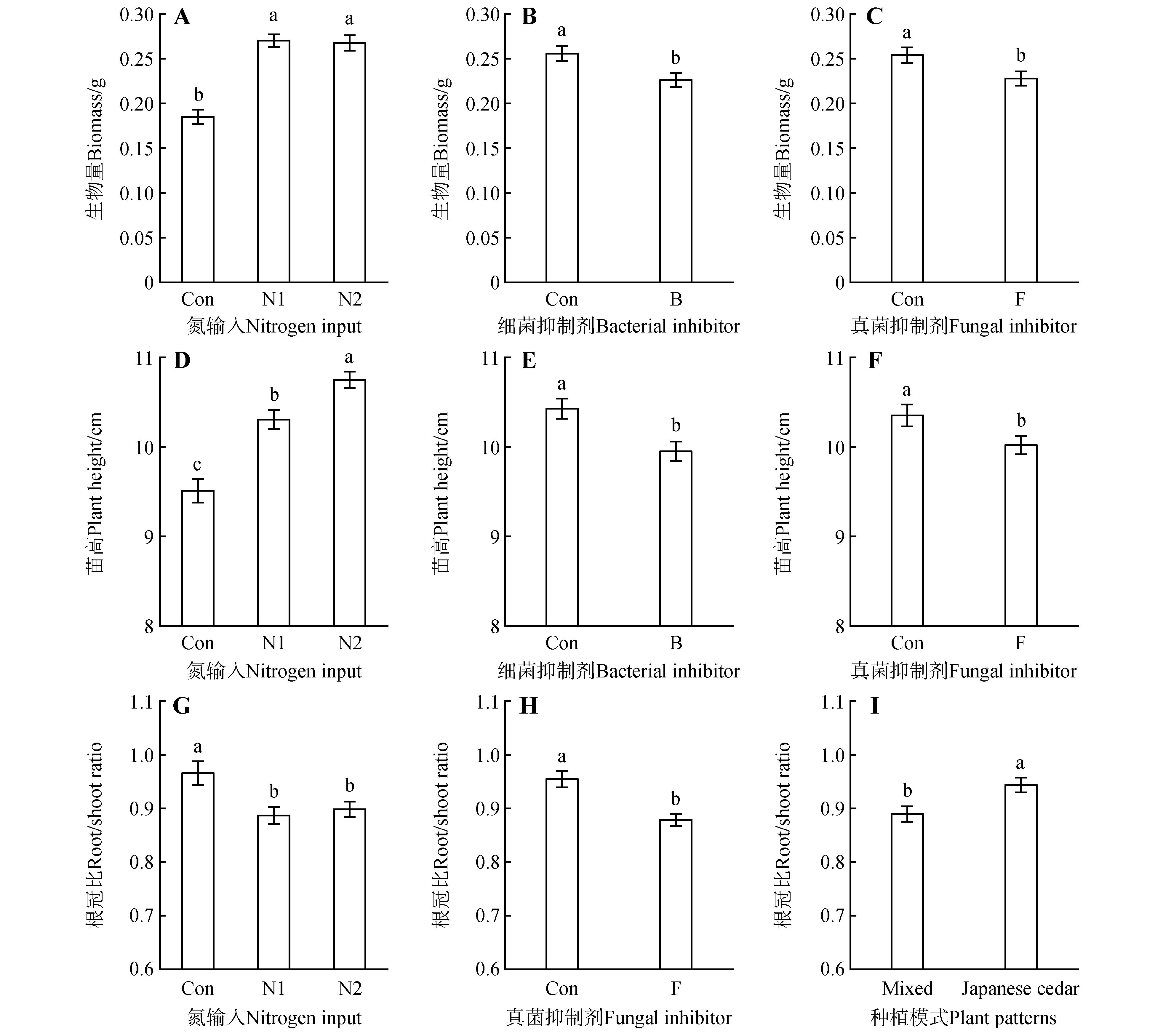
毛竹(Phyllostachys edulis)向周边林分扩张影响植物和土壤稳定性,而其成功扩张机制尚不明确。通过研究不同氮形态和土壤微生物对毛竹和日本柳杉(Cryptomeria japonica)生长的影响,揭示全球变化背景下毛竹扩张的养分与微生物机制。该研究采用盆栽试验,设置8 g?m-2氮输入处理(对照,Con;铵态氮,N1,施用硫酸铵溶液;硝态氮,N2,施用硝酸钾溶液),并调控土壤微生物群落(对照,Con;细菌抑制,B,施用3 g?L-1链霉素溶液;真菌抑制,F,施用1 g?L-1扑海因溶液),探讨单一和混合种植下毛竹和日本柳杉幼苗对氮输入和微生物的响应。结果表明:相比于对照,无论在单一种植还是混合种植下,氮输入可显著提高毛竹和日本柳杉幼苗的生物量和苗高,但显著降低根冠比。微生物处理中,在2种种植模式下,细菌和真菌抑制均降低2个物种的生物量和苗高(P<0.01),植物生长受限。与对照相比,细菌抑制下毛竹和日本柳杉生物量分别降低13.93%和11.57%,苗高分别降低9.41%和4.56%;真菌抑制下生物量分别降低15.84%和10.46%,苗高分别降低6.90%和3.20%。与单一种植相比,混合种植显著提高毛竹生物量和苗高,但同时将毛竹和日本柳杉根冠比分别降低6.01%和5.77%(P<0.05),混合种植下毛竹表现出较强的生长优势。氮输入处理中,与单种日本柳杉相比,单种毛竹和混合种植下土壤有机碳和全氮含量显著降低。N1、N2形态氮输入均显著降低各种植模式下土壤pH,混合种植土壤pH高于单一种植。在全球变化背景下,氮沉降导致的生态系统氮输入可能与毛竹扩张相互作用,形成正反馈,进而促进毛竹成功扩张。随着氮沉降加剧,土壤养分有效性与土壤微生物群落通过促进植物养分吸收和资源分配,促使植物竞争能力增强,导致毛竹向周边林分成功扩张。
中图分类号:
张茜, 方海富, 赵红, 申家成, 刘亮英, 徐昕彤, 张令. 土壤氮与微生物调控对毛竹和日本柳杉生长的影响——毛竹扩张潜在机制[J]. 植物研究, 2025, 45(5): 755-768.
Xi ZHANG, Haifu FANG, Hong ZHAO, Jiacheng SHEN, Liangying LIU, Xintong XU, Ling ZHANG. The Effects of Soil Nitrogen and Microbial Community on Growth of Moso Bamboo and Japanese Cedar Seedlings: Potential Mechanisms of Bamboo Expansion[J]. Bulletin of Botanical Research, 2025, 45(5): 755-768.
表1
氮输入、微生物调控和种植模式对日本柳杉生物量、苗高及根冠比的影响方差分析
处理 Treatments | 自由度 df | 生物量 Biomass | 苗高 Plant height | 根冠比 Root/shoot ratio | |||
|---|---|---|---|---|---|---|---|
| F | P | F | P | F | P | ||
| N | 2 | 39.88 | <0.000 1 | 37.48 | <0.000 1 | 7.76 | 0.000 8 |
| B | 1 | 11.28 | 0.001 1 | 16.06 | 0.000 1 | 3.01 | 0.085 8 |
| F | 1 | 9.12 | 0.003 2 | 7.83 | 0.003 2 | 18.38 | <0.000 1 |
| P | 1 | 0.82 | 0.367 3 | 0.01 | 0.921 8 | 9.41 | 0.022 8 |
| N×B | 2 | 0.16 | 0.848 2 | 0.71 | 0.493 0 | 1.49 | 0.230 9 |
| N×F | 2 | 0.02 | 0.982 7 | 1.34 | 0.267 1 | 2.84 | 0.063 2 |
| B×F | 1 | 0.14 | 0.706 7 | 10.01 | 0.002 1 | 1.25 | 0.267 0 |
| N×B×F | 2 | 0.15 | 0.859 1 | 0.46 | 0.632 1 | 0.45 | 0.640 3 |
| N×P | 2 | 0.51 | 0.603 6 | 0.14 | 0.867 3 | 0.09 | 0.915 9 |
| B×P | 1 | 0.01 | 0.988 9 | 0.89 | 0.348 5 | 0.13 | 0.715 3 |
| F×P | 1 | 0.01 | 0.910 1 | 0.06 | 0.811 6 | 0.01 | 0.977 6 |
| N×B×P | 2 | 0.14 | 0.871 4 | 1.24 | 0.294 0 | 0.84 | 0.434 0 |
| N×F×P | 2 | 0.29 | 0.749 3 | 0.17 | 0.841 1 | 0.02 | 0.985 1 |
| B×F×P | 1 | 0.04 | 0.857 2 | 0.01 | 0.966 4 | 0.03 | 0.873 6 |
| N×B×F×P | 2 | 0.09 | 0.915 9 | 0.08 | 0.926 4 | 0.39 | 0.677 2 |
表2
氮输入、微生物调控和种植模式对毛竹生物量、苗高及根冠比影响的方差分析
处理 Treatments | 自由度 df | 生物量 Biomass | 苗高 Plant height | 根冠比 Root/shoot ratio | |||
|---|---|---|---|---|---|---|---|
| F | P | F | P | F | P | ||
| N | 2 | 16.11 | <0.000 1 | 28.62 | <0.000 1 | 8.35 | 0.000 5 |
| B | 1 | 9.58 | 0.002 6 | 34.60 | <0.000 1 | 5.31 | 0.023 3 |
| F | 1 | 12.64 | 0.000 5 | 18.14 | <0.000 1 | 23.96 | <0.000 1 |
| P | 1 | 4.32 | 0.040 3 | 30.89 | <0.000 1 | 11.32 | 0.001 1 |
| N×B | 2 | 0.90 | 0.408 2 | 0.53 | 0.593 1 | 1.93 | 0.150 4 |
| N×F | 2 | 0.58 | 0.564 1 | 0.31 | 0.737 1 | 3.15 | 0.047 1 |
| B×F | 1 | 8.90 | 0.003 6 | 2.39 | 0.125 2 | 1.97 | 0.163 9 |
| N×B×F | 2 | 1.47 | 0.235 6 | 2.37 | 0.098 8 | 0.71 | 0.494 1 |
| N×P | 2 | 0.26 | 0.768 0 | 1.56 | 0.215 6 | 0.23 | 0.794 1 |
| B×P | 1 | 0.07 | 0.787 9 | 2.28 | 0.134 6 | 0.16 | 0.688 4 |
| F×P | 1 | 0.02 | 0.899 2 | 0.27 | 0.607 3 | 0.01 | 0.961 0 |
| N×B×P | 2 | 0.02 | 0.980 3 | 2.01 | 0.139 5 | 0.78 | 0.462 8 |
| N×F×P | 2 | 0.03 | 0.969 3 | 0.15 | 0.862 7 | 0.02 | 0.975 4 |
| B×F×P | 1 | 0.01 | 0.949 5 | 0.33 | 0.568 0 | 0.02 | 0.883 3 |
| N×B×F×P | 2 | 0.01 | 0.993 0 | 0.66 | 0.521 6 | 0.26 | 0.770 2 |
表3
氮输入、微生物调控及种植模式对日本柳杉和毛竹土壤养分含量影响的方差分析
处理 Treatments | 自由度 df | F | |||||
|---|---|---|---|---|---|---|---|
有机碳 TOC | 全氮 TN | 全磷 TP | 铵态氮 | 硝态氮 | pH | ||
| N | 2 | 20.97 | 10.21 | 55.50 | 55.73 | 197.62 | 58.98 |
| B | 1 | 1.83 | 1.87 | 2.31 | 0.10 | 0.03 | 1.03 |
| F | 1 | 1.41 | 1.37 | 1.87 | 3.41 | 1.41 | 1.59 |
| P | 2 | 91.33 | 36.28 | 130.14 | 2.67 | 1.47 | 36.56 |
| N×B | 2 | 2.50 | 1.48 | 10.76 | 0.02 | 0.27 | 0.16 |
| N×F | 2 | 3.17 | 5.01 | 2.05 | 6.01 | 0.12 | 0.88 |
| B×F | 1 | 0.68 | 17.71 | 0.81 | 2.96 | 0.01 | 6.22 |
| N×B×F | 2 | 1.24 | 0.42 | 4.95 | 4.57 | 0.07 | 3.58 |
| N×P | 4 | 38.29 | 12.55 | 55.24 | 3.16 | 1.30 | 10.77 |
| B×P | 2 | 1.78 | 2.63 | 4.29 | 1.76 | 2.83 | 0.65 |
| F×P | 2 | 2.98 | 1.18 | 3.99 | 2.82 | 0.48 | 1.70 |
| N×B×P | 4 | 5.17 | 6.74 | 13.42 | 1.86 | 0.84 | 0.90 |
| N×F×P | 4 | 5.07 | 2.27 | 2.43 | 2.09 | 0.54 | 0.39 |
| B×F×P | 2 | 0.71 | 0.42 | 3.78 | 2.59 | 0.82 | 3.77 |
| N×B×F×P | 4 | 0.61 | 0.41 | 2.88 | 2.99 | 1.87 | 0.22 |
| [1] | 刘喜帅.毛竹扩张对凋落物-土壤碳氮磷含量的影响及其微生物学机制研究[D].南昌:江西农业大学,2018. |
| LIU X S.The effect of Phyllostachys edulis expansion on the content of carbon,nitrogen and phosphorus in litter and soil and its microbiological mechanism[D].Nanchang:Jiangxi Agricultural University,2018. | |
| [2] | 史军义,易同培,马丽莎,等.中国引进竹亚科植物种类及特征[J].林业科学研究,2008,21(3):362-369. |
| SHI J Y, YI T P, MA L S,et al.Bambusoideae introduced in China and their bionomics[J].Forest Research,2008,21(3):362-369. | |
| [3] | 崔诚.毛竹扩张对土壤结构组成及碳氮磷化学计量特征的影响研究[D].南昌:江西农业大学,2018. |
| CUI C.The effects of Phyllostachys edulis expansion on soil structure composition and stoichiometric characteristics of carbon,nitrogen and phosphorus[D].Nanchang:Jiangxi Agricultural University,2018. | |
| [4] | 余雅迪,张茜,王皓,等.土壤二氧化碳及氧化亚氮排放对毛竹扩张的响应及机制[J].浙江农林大学学报,2024,41(3):659-668. |
| YU Y D, ZHANG X, WANG H,et al.Response of soil CO2 and N2O emissions to Phyllostachys edulis expansion and its mechanism[J].Journal of Zhejiang A&F University,2024,41(3):659-668. | |
| [5] | 方海富,江亮波,张毅,等.武功山日本柳杉林与草甸土壤碳氮特征和pH比较[J].福建农业学报,2019,34(6):705-710. |
| FANG H F, JIANG L B, ZHANG Y,et al.Carbon,nitrogen and pH in meadow soil at Cryptomeria japonica forests in Mt.Wugong[J].Fujian Journal of Agricultural Sciences,2019,34(6):705-710. | |
| [6] | LI Z Z, ZHANG L, DENG B L,et al.Effects of moso bamboo (Phyllostachys edulis) invasions on soil nitrogen cycles depend on invasion stage and warming[J].Environmental Science and Pollution Research,2017,24(32):24989-24999. |
| [7] | WU C S, MO Q F, WANG H K,et al.Moso bamboo (Phyllostachys edulis (Carriere) J.Houzeau) invasion affects soil phosphorus dynamics in adjacent coniferous forests in subtropical China[J].Annals of Forest Science,2018,75(1):24. |
| [8] | 吴家森,姜培坤,王祖良.天目山国家级自然保护区毛竹扩张对林地土壤肥力的影响[J].江西农业大学学报,2008,30(4):689-692. |
| WU J S, JIANG P K, WANG Z L.The effects of Phyllostachys pubescens expansion on soil fertility in National Nature Reserve of Mount Tianmu[J].Acta Agriculturae Universitatis Jiangxiensis,2008,30(4):689-692. | |
| [9] | 赵雨虹,罗嘉东,范少辉.毛竹扩张对常绿阔叶林土壤性质的影响及相关分析[J].林业科学研究,2017,30(2):354-359. |
| ZHAO Y H, LUO J D, FAN S H.The influence of Phyllostachys edulis expanding into evergreen broadleaf forest on soil property and its related analysis[J].Forest Research,2017,30(2):354-359. | |
| [10] | PAN J, LIU Y Q, YUAN X Y,et al.Root litter mixing with that of Japanese cedar altered CO2 emissions from Moso bamboo forest soil[J].Forests,2020,11(3):356. |
| [11] | 欧阳明,杨清培,陈昕,等.毛竹扩张对次生常绿阔叶林物种组成、结构与多样性的影响[J].生物多样性,2016,24(6):649-657. |
| OUYANG M, YANG Q P, CHEN X,et al.Effects of the expansion of Phyllostachys edulis on species composition,structure and diversity of the secondary evergreen broad-leaved forests[J].Biodiversity Science,2016,24(6):649-657. | |
| [12] | LIU X S, SIEMANN E, CUI C,et al.Moso bamboo (Phyllostachys edulis) invasion effects on litter,soil and microbial PLFA characteristics depend on sites and invaded forests[J].Plant and Soil,2019,438(1/2):85-99. |
| [13] | QIN H, NIU L M, WU Q F,et al.Bamboo forest expansion increases soil organic carbon through its effect on soil arbuscular mycorrhizal fungal community and abundance[J].Plant and Soil,2017,420(1/2):407-421. |
| [14] | 徐健鸿,周波,李凯,等.毛竹扩张对日本柳杉林土壤氮矿化速率温度敏感性的影响[J].江西农业大学学报,2023,45(6):1409-1417. |
| XU J H, ZHOU B, LI K,et al.Effects of moso bamboo (Phyllostachys edulis) expansion to Japanese cedar forest on temperature-sensitivity of soil nitrogen mineralization[J].Acta Agriculturae Universitatis Jiangxiensis,2023,45(6):1409-1417. | |
| [15] | 毛莹儿,周秀梅,王楠,等.毛竹扩张对杉木林土壤细菌群落的影响[J].生物多样性,2023,31(6):22659. |
| MAO Y E, ZHOU X M, WANG N,et al.Impact of Phyllostachys edulis expansion to Chinese fir forest on the soil bacterial community[J].Biodiversity Science,2023,31(6):22659. | |
| [16] | 张秦泽,郝广,李洪远.外源输入氮的有效性及形态对植物生长与生理影响的研究进展[J].生态学杂志,2024,43(3):878-887. |
| ZHANG Q Z, HAO G, LI H Y.Effects of availability and form of exogenous nitrogen on plant growth and physiology:progress and prospects[J].Chinese Journal of Ecology,2024,43(3):878-887. | |
| [17] | ZOU N, HUANG L, CHEN H J,et al.Nitrogen form plays an important role in the growth of moso bamboo (Phyllostachys edulis) seedlings[J].PeerJ,2020,8:e9938. |
| [18] | ZOU N, SHI W M, HOU L H,et al.Superior growth,N uptake and NH4 + tolerance in the giant bamboo Phyllostachys edulis over the broad-leaved tree Castanopsis fargesii at elevated NH4 + may underlie community succession and favor the expansion of bamboo[J].Tree Physiology,2020,40(11):1606-1622. |
| [19] | 刘宇馨,邹娜,颜卓佳,等.NH4 +-N浓度对毛竹和杉木幼苗生长及种间竞争的影响[J].江西农业大学学报,2023,45(3):526-539. |
| LIU Y X, ZOU N, YAN Z J,et al.Effects of NH4 +-N concentration on growth and interspecific competition of Phyllostachys edulis and Cunninghamia lanceolata seedlings[J].Acta Agriculturae Universitatis Jiangxiensis,2023,45(3):526-539. | |
| [20] | 邹欢欢,程明圣,邹娜,等.硝态氮对毛竹幼苗生长的抑制性研究[J].江西农业大学学报,2022,44(2):290-298. |
| ZOU H H, CHENG M S, ZOU N,et al.Inhibition of nitrate nitrogen on the growth of moso bamboo(Phyllostachys edulis)seedlings[J].Acta Agriculturae Universitatis Jiangxiensis,2022,44(2):290-298. | |
| [21] | 邓邦良,刘倩,刘喜帅,等.UV-B辐射增强和氮沉降对入侵植物乌桕生长的影响[J].植物生态学报,2017,41(4):471-479. |
| DENG B L, LIU Q, LIU X S,et al.Effects of enhanced UV-B radiation and nitrogen deposition on the growth of invasive plant Triadica sebifera [J].Chinese Journal of Plant Ecology,2017,41(4):471-479. | |
| [22] | 方海富,冯为迅,罗来聪,等.氮沉降背景下土壤微生物对入侵植物乌桕叶绿素荧光特征的影响[J].生态学报,2021,41(23):9377-9387. |
| FANG H F, FENG W X, LUO L C,et al.Effects of soil microorganisms on chlorophyll fluorescence characteristics of invasive Triadica sebifera with nitrogen deposition[J].Acta Ecologica Sinica,2021,41(23):9377-9387. | |
| [23] | REN G Q, LI Q, LI Y,et al.The enhancement of root biomass increases the competitiveness of an invasive plant against a co-occurring native plant under elevated nitrogen deposition[J].Flora,2019,261:151486. |
| [24] | ZOU J, ROGERS W E, SIEMANN E.Differences in morphological and physiological traits between native and invasive populations of Sapium sebiferum [J].Functional Ecology,2007,21(4):721-730. |
| [25] | BRADLEY B A, BLUMENTHAL D M, WILCOVE D S,et al.Predicting plant invasions in an era of global change[J].Trends in Ecology & Evolution,2010,25(5):310-318. |
| [26] | 陈彤,刘文莉,张崇邦,等.加拿大一枝黄花入侵对本土植物群落动态的影响及其机制[J].植物生态学报,2012,36(3):253-261. |
| CHEN T, LIU W L, ZHANG C B,et al.Effects of Solidago canadensis invasion on dynamics of native plant communities and their mechanisms[J].Chinese Journal of Plant Ecology,2012,36(3):253-261. | |
| [27] | 李艺雪,叶冬梅,郝龙飞,等.土壤灭菌、AM真菌接种与氮添加对柠条根际土壤的影响[J].植物研究,2024,44(4):590-601. |
| LI Y X, YE D M, HAO L F,et al.The responses of rhizosphere soil of Caragana korshinskii under soil sterilization,AM fungi inoculation and N addition[J].Bulletin of Botanical Research,2024,44(4):590-601. | |
| [28] | FOX C A, MACDONALD K B.Challenges related to soil biodiversity research in agroecosystems-issues within the context of scale of observation[J].Canadian Journal of Soil Science,2003,83(Sup.):231-244. |
| [29] | 严淑娴,刘茗,刘彩霞,等.毛竹纯林土壤微生物多样性高于杉木纯林[J].土壤学报,2022,59(6):1704-1717. |
| YAN S X, LIU M, LIU C X,et al.Soil microbial diversity is higher in pure stands of moso bamboo than in pure stands of Chinese fir[J].Acta Pedologica Sinica,2022,59(6):1704-1717. | |
| [30] | WANG C Q, KUZYAKOV Y.Mechanisms and implications of bacterial-fungal competition for soil resources[J].The ISME Journal,2024,18(1):wrae073. |
| [31] | 方海富.毛竹扩张对日本柳杉林土壤N2O排放的影响及微生物机制研究[D].南昌:江西农业大学,2021. |
| FANG H F.Effects of moso bamboo expansion into Japanese cedar forest on soil N2O emissions and the microbial mechanism[D].Nanchang:Jiangxi Agricultural University,2021. | |
| [32] | ZHANG L, ZHANG Y J, WANG H,et al.Chinese tallow trees (Triadica sebifera) from the invasive range outperform those from the native range with an active soil community or phosphorus fertilization[J].PLoS One,2013,8(9):e74233. |
| [33] | ZHANG M Y, ZHANG W Y, BAI S H,et al.Minor increases in Phyllostachys edulis (moso bamboo) biomass despite evident alterations of soil bacterial community structure after phosphorus fertilization alone:based on field studies at different altitudes[J].Forest Ecology and Management,2019,451:117561. |
| [34] | 徐道炜,刘金福,何中声,等.毛竹向杉木林扩张对土壤活性有机碳及碳库管理指数影响[J].西部林业科学,2019,48(5):22-28. |
| XU D W, LIU J F, HE Z S,et al.Effect of Phyllostachys edulis to Cunninghamia lanceolata forest on soil active organic carbon and carbon management index[J].Journal of West China Forestry Science,2019,48(5):22-28. | |
| [35] | 童冉,周本智,姜丽娜,等.毛竹入侵对森林植物和土壤的影响研究进展[J].生态学报,2019,39(11):3808-3815. |
| TONG R, ZHOU B Z, JIANG L N,et al.Influence of moso bamboo invasion on forest plants and soil:a review[J].Acta Ecologica Sinica,2019,39(11):3808-3815. | |
| [36] | FANG H F, GAO Y, ZHANG Q,et al.Moso bamboo and Japanese cedar seedlings differently affected soil N2O emissions[J].Journal of Plant Ecology,2022,15(2):277-285. |
| [37] | NIJJER S, ROGERS W E, LEE C T A,et al.The effects of soil biota and fertilization on the success of Sapium sebiferum [J].Applied Soil Ecology,2008,38(1):1-11. |
| [38] | 鲍士旦.土壤农化分析[M].第3版.北京:中国农业出版社,2000. |
| BAO S D.Soil and agricultural chemistry analysis[M]. 3rd ed.Beijing:China Agricultural Publishing House,2000. | |
| [39] | XIE J Y, FANG H F, ZHANG Q,et al.Understory plant functional types alter stoichiometry correlations between litter and soil in Chinese fir plantations with N and P addition[J].Forests,2019,10(9):742. |
| [40] | 罗来聪,白健,高宇,等.油茶壳及凋落叶生物质炭对土壤温室气体排放的影响[J].江西农业大学学报,2022,44(5):1177-1187. |
| LUO L C, BAI J, GAO Y,et al.Effects of Camellia oleifera leaf litter and fruit shell-derived biochar on soil greenhouse gas emissions[J].Acta Agriculturae Universitatis Jiangxiensis,2022,44(5):1177-1187. | |
| [41] | 毛晋花,邢亚娟,闫国永,等.陆生植物生物量分配对模拟氮沉降响应的Meta分析[J].生态学报,2018,38(9):3183-3194. |
| MAO J H, XING Y J, YAN G Y,et al.A meta-analysis of the response of terrestrial plant biomass allocation to simulated N deposition[J].Acta Ecologica Sinica,2018,38(9):3183-3194. | |
| [42] | BOZZOLO F H, LIPSON D A.Differential responses of native and exotic coastal sage scrub plant species to N additions and the soil microbial community[J].Plant and Soil,2013,371(1/2):37-51. |
| [43] | 令狐克念,王姝.不同生长阶段苘麻生物量分配对种群密度和土壤水分的响应[J].植物研究,2023,43(2):272-280. |
| LINGHU K N, WANG S.Responses of biomass allocation to population density and soil water in Abutilon theophrasti at different growth stages[J].Bulletin of Botanical Research,2023,43(2):272-280. | |
| [44] | YANG Y H, FANG J Y, MA W H,et al.Large-scale pattern of biomass partitioning across China’s grasslands[J].Global Ecology and Biogeography,2010,19(2):268-277. |
| [45] | REYNOLDS H L, PACALA S W.An analytical treatment of root-to-shoot ratio and plant competition for soil nutrient and light[J].The American Naturalist,1993,141(1):51-70. |
| [46] | YANG Q, LI B, SIEMANN E.The effects of fertilization on plant-soil interactions and salinity tolerance of invasive Triadica sebifera [J].Plant and Soil,2015,394(1/2):99-107. |
| [47] | 王珍,金轲,丁勇,等.植物-土壤微生物反馈在草地演替过程中的作用机制[J].中国草地学报,2022,44(1):95-103. |
| WANG Z, JIN K, DING Y,et al.The mechanism of plants-soil microbial feedback in grassland succession[J].Chinese Journal of Grassland,2022,44(1):95-103. | |
| [48] | STRECKER T, BARNARD R L, NIKLAUS P A,et al.Effects of plant diversity,functional group composition,and fertilization on soil microbial properties in experimental grassland[J].PLoS One,2015,10(5):e0125678. |
| [49] | 沈仁芳,赵学强.土壤微生物在植物获得养分中的作用[J].生态学报,2015,35(20):6584-6591. |
| SHEN R F, ZHAO X Q.Role of soil microbes in the acquisition of nutrients by plants[J].Acta Ecologica Sinica,2015,35(20):6584-6591. | |
| [50] | ZHANG R F, VIVANCO J M, SHEN Q R.The unseen rhizosphere root-soil-microbe interactions for crop production[J].Current opinion in microbiology,2017,37:8-14. |
| [51] | 李欣欣,赖金莉,岳建华,等.毛竹各器官和根际土浸提液对杉木种子萌发的化感作用[J].生态学报,2018,38(22):8149-8157. |
| LI X X, LAI J L, YUE J H,et al.Allelopathy of Phyllostachys pubescens extract on the seed germination of Chinese fir[J].Acta Ecologica Sinica,2018,38(22):8149-8157. | |
| [52] | 陈娟,白尚斌,周国模,等.毛竹浸提液对苦槠幼苗生长的化感效应[J].生态学报,2014,34(16):4499-4507. |
| CHEN J, BAI S B, ZHOU G M,et al.Allelopathic effects of Phyllostachys edulis extracts on Castanopsis sclerophylla [J].Acta Ecologica Sinica,2014,34(16):4499-4507. | |
| [53] | DENG M F, LIU L L, SUN Z Z,et al.Increased phosphate uptake but not resorption alleviates phosphorus deficiency induced by nitrogen deposition in temperate Larix principis‐rupprechtii plantations[J].New Phytologist,2016,212(4):1019-1029. |
| [54] | CHANG E H, CHIU C Y.Changes in soil microbial community structure and activity in a cedar plantation invaded by moso bamboo[J].Applied Soil Ecology,2015,91(2):1-7. |
| [55] | TIAN J H, WEI K, CONDRON L M,et al.Impact of land use and nutrient addition on phosphatase activities and their relationships with organic phosphorus turnover in semi-arid grassland soils[J].Biology and Fertility of Soils,2016,52(5):675-683. |
| [56] | 吴金凤.氮沉降背景下凋落物对松嫩草地土壤磷循环的调节作用[D].长春:东北师范大学,2021. |
| WU J F.Regulation of litter on soil phosphorus cycling in Songnen grassland under the background of nitrogen deposition[D].Changchun:Northeast Normal University,2021. | |
| [57] | 宋庆妮,杨清培,刘骏,等.毛竹扩张对常绿阔叶林土壤氮素矿化及有效性的影响[J].应用生态学报,2013,24(2):338-344. |
| SONG Q N, YANG Q P, LIU J,et al.Effects of Phyllostachys edulis expansion on soil nitrogen mineralization and its availability in evergreen broadleaf forest[J].Chinese Journal of Applied Ecology,2013,24(2):338-344. | |
| [58] | PAN J, LIU Y Q, NIU J H,et al.Moso bamboo expansion reduced soil N2O emissions while accelerated fine root litter decomposition:contrasting non-additive effects[J].Plant and Soil,2024,501(1):7-21. |
| [59] | 张普河,姚佳,王雪韧,等.短期氮添加对荒漠草原土壤无机碳及土壤酸缓冲能力的影响[J].草地学报,2024,32(7):2081-2088. |
| ZHANG P H, YAO J, WANG X R,et al.Effects of short-term nitrogen addition on soil inorganic carbon and soil acid buffering capacity in desert grasslands[J].Acta Agrestia Sinica,2024,32(7):2081-2088. |
| [1] | 李艺雪, 叶冬梅, 郝龙飞, 刘婷岩, 段嘉靖, 聂正英. 土壤灭菌、AM真菌接种与氮添加对柠条根际土壤的影响[J]. 植物研究, 2024, 44(4): 590-601. |
| 阅读次数 | ||||||
|
全文 |
|
|||||
|
摘要 |
|
|||||