欢迎访问《植物研究》杂志官方网站,今天是 分享到:

植物研究 ›› 2025, Vol. 45 ›› Issue (4): 603-613.doi: 10.7525/j.issn.1673-5102.2025.04.012

• 研究论文 • 上一篇    下一篇

镉和微塑料及二者复合对秋茄生长及光合特征的影响

柴民伟1,2, 吴一凡1,2, 李瑞利1,2, 周琳1,2, 沈小雪1,2()   

  1. 1.北京大学深圳研究生院环境与能源学院,深圳 518055
    2.广东省红树林工程技术研究中心,深圳 518055
  • 收稿日期:2025-01-06 出版日期:2025-07-20 发布日期:2025-07-25
  • 通讯作者: 沈小雪 E-mail:shenxxy@pku.edu.cn
  • 作者简介:柴民伟(1984—),男,博士,主要从事城市水文学和海岸带生态修复与管理研究。
  • 基金资助:
    国家自然科学基金面上项目(42477128);深圳市可持续发展专项(KCXFZ20230731093900001)

The Influence of Cadmium, Microplastics, and Their Combination on the Growth and Photosynthetic Characteristics of Kandelia obovata

Minwei CHAI1,2, Yifan WU1,2, Ruili LI1,2, Lin ZHOU1,2, Xiaoxue SHEN1,2()   

  1. 1.School of Environment and Energy,Peking University Shenzhen Graduate School,Shenzhen 518055
    2.Guangdong Mangrove Engineering Technology Research Center,Shenzhen 518055
  • Received:2025-01-06 Online:2025-07-20 Published:2025-07-25
  • Contact: Xiaoxue SHEN E-mail:shenxxy@pku.edu.cn

摘要:

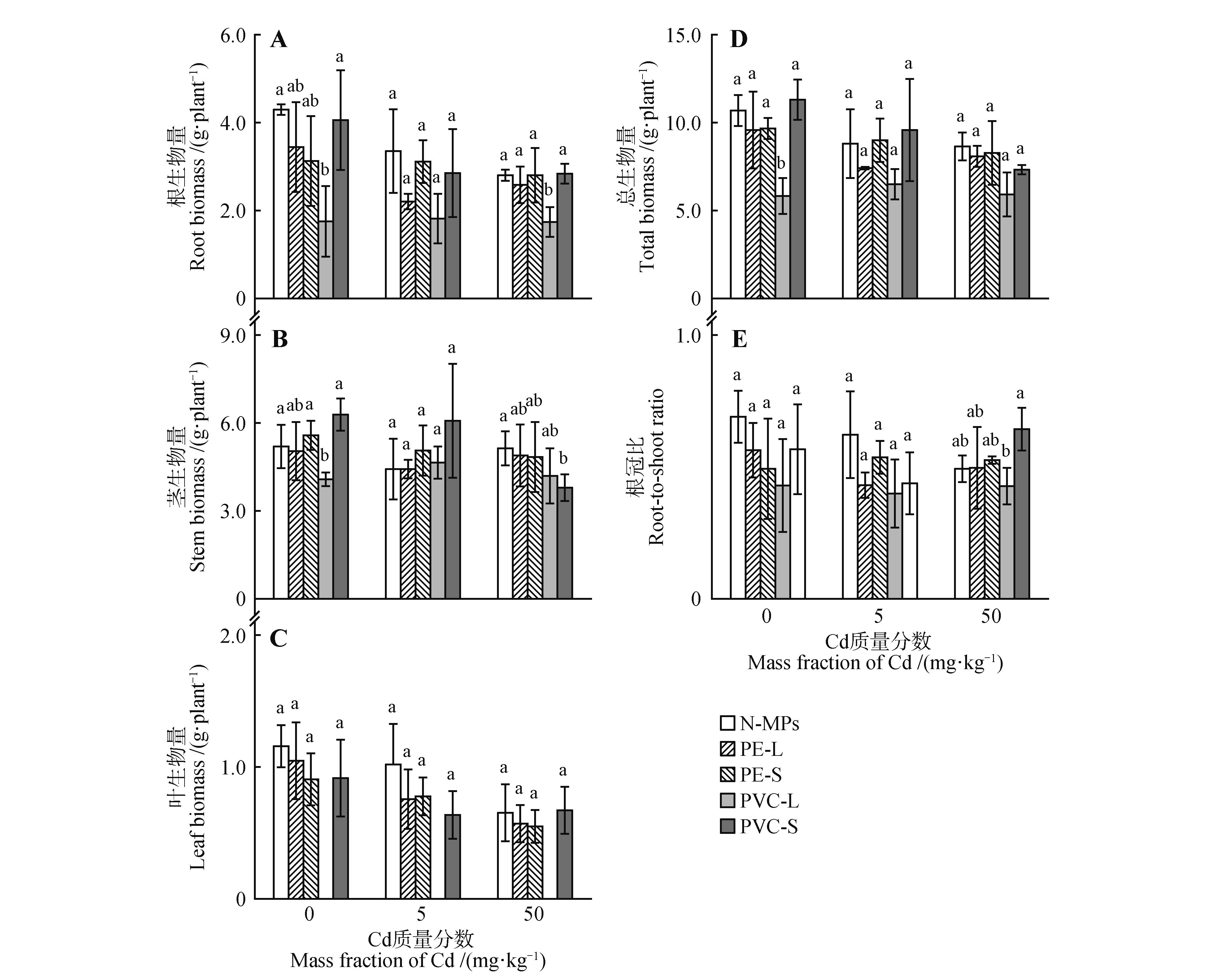
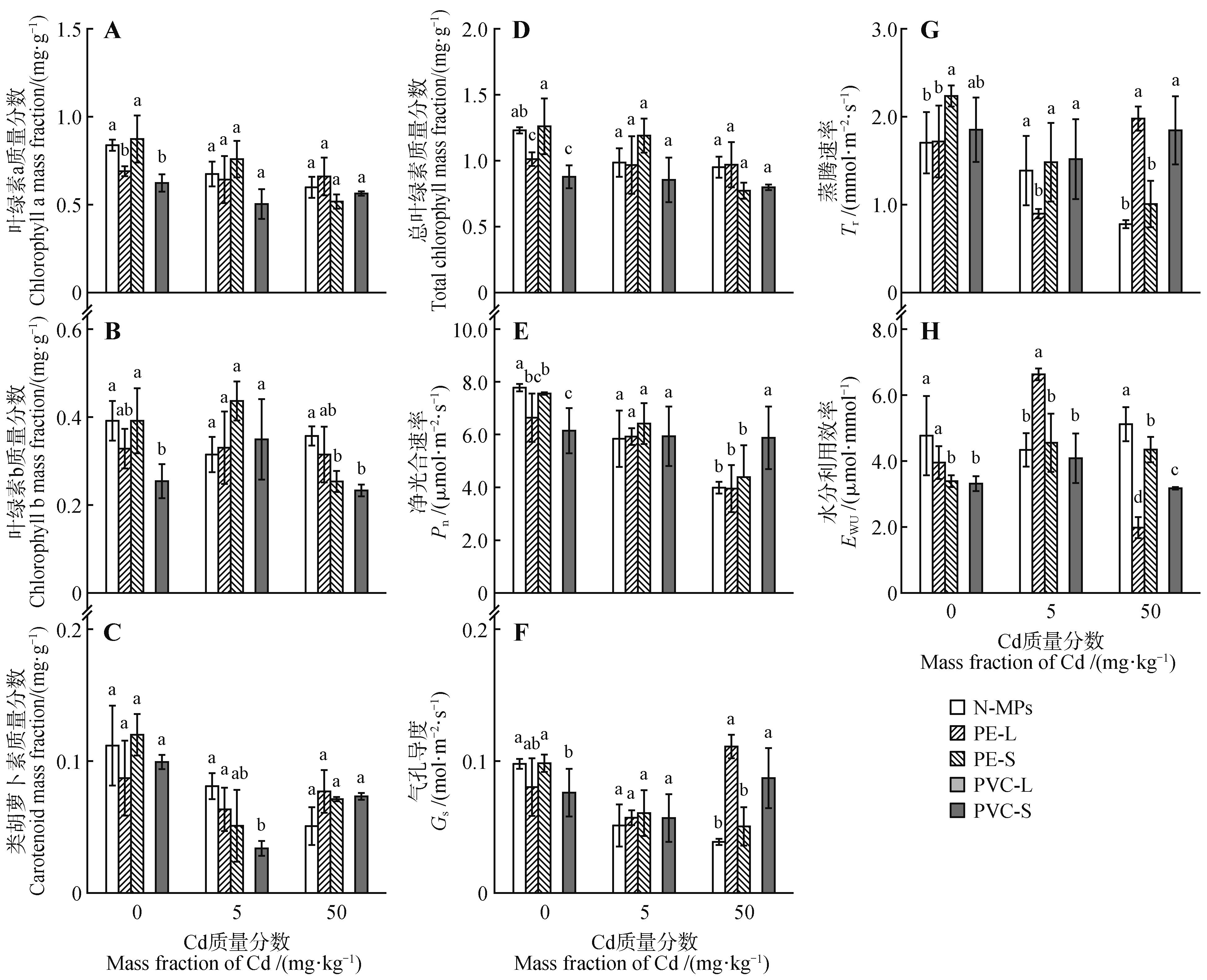
城市红树林面临重金属和微塑料(MPs)复合污染的环境问题。其中,镉(Cd)具有较高的生态风险,聚乙烯(PE)和聚氯乙烯(PVC)是红树林中常见的微塑料污染物。该研究以红树植物秋茄(Kandelia obovata)为研究对象,开展重金属Cd(0、5、50 mg·kg-1)和微塑料(小粒径PE(13 μm)、大粒径PE(830 μm);小粒径PVC(13 μm)、大粒径PVC(830 μm))复合胁迫试验,探究Cd和MPs及二者复合对秋茄生长和光合特征的影响。结果表明:(1)PE对秋茄生长的影响不显著;在高Cd胁迫(50 mg·kg-1)下,大粒径PVC显著抑制根和叶的生长(P<0.05)。(2)叶中营养元素Na、K、Ca、Mg含量受Cd胁迫程度、MPs类型和粒径的影响。(3)MPs与Cd对叶绿素含量的抑制具有协同作用,其中,低Cd(5 mg·kg-1)与小粒径PVC复合胁迫下叶片中叶绿素a和类胡萝卜素含量最低,高Cd与小粒径PVC复合胁迫下叶片中叶绿素b含量最低;在高Cd胁迫下,小粒径PVC处理使叶净光合速率(Pn)、气孔导度(Gs)和蒸腾速率(Tr)及叶片实际光化学量子产量(Y(Ⅱ))、电子传递速率(ETR)、光化学淬灭系数(qP)和光化学耗散的相对份额(P)显著提高(P<0.05),说明小粒径PVC处理可以缓解Cd胁迫对秋茄光合作用的毒害作用;与单独Cd胁迫相比,Cd与PE复合胁迫对秋茄叶绿素荧光参数无显著影响。综上,PE及其与Cd复合胁迫对秋茄生长及光合作用影响不显著;PVC对Cd胁迫具有较强的协同作用,小粒径PVC缓解Cd对秋茄光合作用的负面影响,而大粒径PVC的毒害作用更强。

关键词: 秋茄, 重金属, 微塑料, 植物生长

Abstract:

Urban mangroves are faced with the environmental problem of combined pollution of heavy metals and microplastics(MPs). Cadmium(Cd) has a relatively high ecological risk, with polyethylene(PE) and polyvinyl chloride(PVC) to be common microplastic pollutants in mangroves. A combined stress experiment of Cd(0, 5, 50 mg·kg-1) and microplastics (small particle size PE-S(13 μm), large particle size PE-L(830 μm), small particle size PVC-S(13 μm), large particle size PVC-L(830 μm)) was carried out for mangrove plant Kandelia obovata. The aims were to explore the influence of Cd, MPs, and their combination on the growth and photosynthetic characteristics of K. obovata. The results showed that (1)the impact of PE-MPs on the growth of K. obovata was not significant. Under high Cd stress(50 mg·kg-1), PVC-L significantly restricted the growth of roots and leaves(P<0.05). (2)The contents of nutrient elements Na,K,Ca,and Mg in leaves were affected by Cd stress, the types and sizes of MPs. (3)MPs and Cd had synergistic effect on the inhibition of chlorophyll content. The contents of chlorophyll a and carotenoids were the lowest under Cd5PVC-S stress, with the lowest content of chlorophyll b under Cd50PVC-S stress. Under Cd50 stress, PVC-S significantly improved net photosynthetic rate Pn, stomatal conductance Gs, transpiration rate Tr, actual photochemical quantum yield(Y(Ⅱ)), electron transfer rate(ETR), photochemical quenching coefficient(qP) and the proportion used for photochemical dissipation(P) of K. obovata leaves(P<0.05), indicating that PVC-S can alleviate the toxic effects of Cd stress on the photosynthesis of K. obovata. Compared to Cd stress alone, the combined stress of Cd and PE showed no significant effects on chlorophyll fluorescence parameters of K. obovata. Overall, PE and its combined stress with Cd showed no significant effects on the growth and photosynthesis of K. obovata; PVC had a stronger synergistic effect on Cd stress, with PVC-S alleviating the negative effects of Cd on the photosynthesis, and PVC-L having stronger toxic effect.

Key words: Kandelia obovata, heavy metal, microplastics, plant growth

中图分类号: