植物研究 ›› 2025, Vol. 45 ›› Issue (4): 614-626.doi: 10.7525/j.issn.1673-5102.2025.04.013
王莹1,2, 赵茂锦1, 刘修明1, 吴宜宣1, 朱家浩1, 汪成忠1(
)
收稿日期:2024-08-25
出版日期:2025-07-20
发布日期:2025-07-25
通讯作者:
汪成忠
E-mail:754409736@qq.com
作者简介:王莹(1983—),女,博士,副教授,主要从事植物修复镉污染土壤研究。
基金资助:
Ying WANG1,2, Maojin ZHAO1, Xiuming LIU1, Yixuan WU1, Jiahao ZHU1, Chengzhong WANG1(
)
Received:2024-08-25
Online:2025-07-20
Published:2025-07-25
Contact:
Chengzhong WANG
E-mail:754409736@qq.com
摘要:
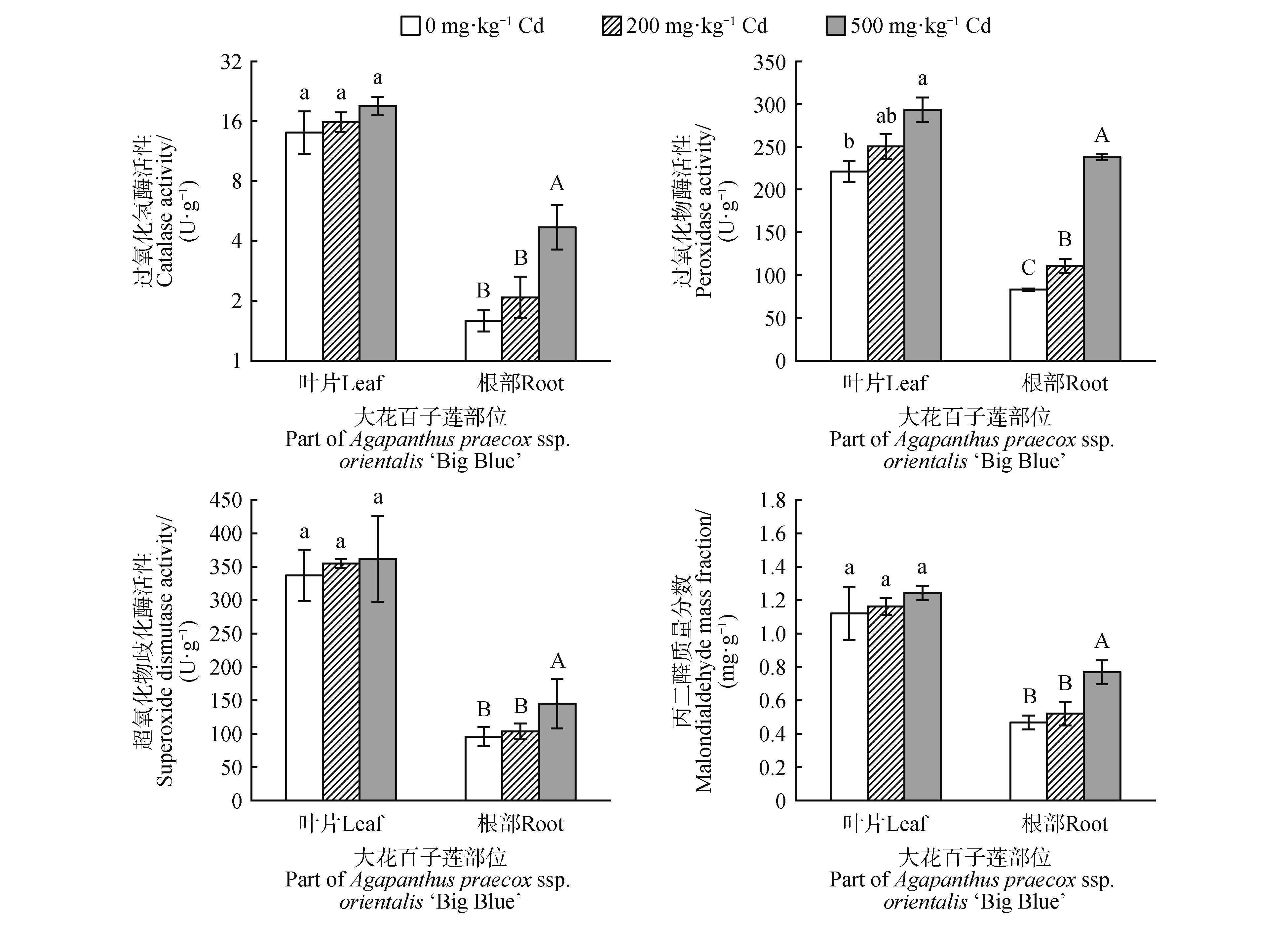
为了给镉(Cd)污染土壤修复提供具有景观效果的植物材料,该试验采用盆栽方法,研究土壤中不同质量分数(0、200、500 mg·kg-1)外源镉添加对大花百子莲(Agapanthus praecox ssp. orientalis ‘Big Blue’)耐受性和富集特性的影响。结果表明:随着镉质量分数升高,大花百子莲叶片和根部的生物量有所下降,镉质量分数为200 mg·kg-1时,与对照相比,叶片生物量下降不显著,而根部生物量显著下降。与对照相比,叶片的过氧化氢酶、过氧化物酶、超氧化物歧化酶活性及丙二醛、可溶性蛋白、脯氨酸含量在镉质量分数为500 mg·kg-1时显著提高,根部相应的指标在镉质量分数为200 mg·kg-1时显著提高;叶片和根部的可溶性糖含量在镉质量分数为500 mg·kg-1时显著提高。上述结果说明:大花百子莲对重金属镉有一定的耐受性,根部较叶片对镉胁迫更敏感。500 mg·kg-1镉胁迫下,叶绿素a、叶绿素b、叶绿素a+b含量、叶绿素a/b、类胡萝卜素含量显著低于对照;除胞间CO2摩尔分数外,蒸腾速率、光合速率、气孔导度显著低于对照;除非光化学淬灭系数(NPQ)外,最大光化学效率(Fv/Fm)、PSⅡ潜在活性(Fv/Fo)、实际光化学效率(ΦPSⅡ)、光化学淬灭系数(qP)有所减少,显著低于对照。镉胁迫下,大花百子莲叶片和根部的富集系数小于1,转运系数大于1,不完全符合镉超积累植物标准,但对镉具有很强的富集作用。综上,大花百子莲在镉质量分数低于200 mg·kg-1时,能通过自身调节来维持正常生长,对镉胁迫具有一定耐受性和富集性,可以作为具有景观效果的植物修复材料,并且大花百子莲叶片和根部的生物量及镉含量4个指标可以作为衡量镉胁迫耐受性的重要指标。
中图分类号:
王莹, 赵茂锦, 刘修明, 吴宜宣, 朱家浩, 汪成忠. 镉胁迫下大花百子莲耐受性和富集特性[J]. 植物研究, 2025, 45(4): 614-626.
Ying WANG, Maojin ZHAO, Xiuming LIU, Yixuan WU, Jiahao ZHU, Chengzhong WANG. Tolerance and Enrichment Characteristics of Agapanthus praecox ssp. orientalis ‘Big Blue’ under Cadmium Stress[J]. Bulletin of Botanical Research, 2025, 45(4): 614-626.
表1
镉胁迫对大花百子莲光合色素质量分数的影响
镉质量分数 Cadmium mass fraction/ (mg·kg-1) | 叶绿素a Chla/(mg·g-1) | 叶绿素b Chlb/(mg·g-1) | 叶绿素a+b Chla+b/(mg·g-1) | 叶绿素a/b Chla/b | 类胡萝卜素 Carotenoid/(mg·g-1) |
|---|---|---|---|---|---|
| 0 | 0.89±0.02a | 0.36±0.01a | 2.51±0.03a | 2.46±0.01a | 0.21±0.01a |
| 200 | 0.88±0.02a | 0.35±0.01a | 2.47±0.02a | 2.45±0.05a | 0.20±0.01a |
| 500 | 0.66±0.01b | 0.30±0.01b | 0.96±0.01b | 2.22±0.03b | 0.17±0.01b |
表3
镉胁迫对大花百子莲重金属富集特性的影响
镉质量分数 Cd mass fraction/ (mg·kg-1) | 叶片镉质量分数 Leaf Cd mass fraction/ (mg·kg-1) | 根部镉质量分数 Root Cd mass fraction/ (mg·kg-1) | 叶片富集系数 Leaf enrichment coefficient | 根部富集系数 Root enrichment coefficient | 转运系数 Transport coefficient |
|---|---|---|---|---|---|
| 0 | — | — | — | — | — |
| 200 | 172.45±1.05b | 164.93±1.58b | 0.86±0.01a | 0.82±0.01a | 1.05±0.01b |
| 500 | 422.37±1.12a | 318.03±1.39a | 0.84±0.01a | 0.64±0.01b | 1.33±0.01a |
图5
镉胁迫下大花百子莲各指标相关性Cd. 镉质量分数;LB. 叶片生物量;RB. 根部生物量;LC. 叶片过氧化氢酶活性;RC. 根部过氧化氢酶活性;LP. 叶片过氧化物酶活性;RP. 根部过氧化物酶活性;LS. 叶片超氧化物歧化酶活性;RS. 根部超氧化物酶活性;LSP. 叶片可溶性蛋白含量;RSP. 根部可溶性蛋白含量;LSS. 叶可溶性糖含量;RSS. 根可溶性糖含量;LM. 叶丙二醛含量;RM. 根丙二醛含量;LCd. 叶镉质量分数;RCd. 根镉质量分数;LEC. 叶富集系数;REC. 根富集系数;TC. 转运系数;Chla. 叶绿素a含量;Chlb. 叶绿素b含量;a+b. 叶绿素a+b含量;a/b. 叶绿素a/b;Car. 类胡萝卜素含量;Tr. 蒸腾速率;Pn. 光合速率;Gs. 气孔导度;Ci. 胞间二氧化碳摩尔分数;Fv/Fm. 最大光化学效率;Fv/Fo. PSⅡ潜在活性;ΦPSⅡ. 实际光化学效率;qP. 光化学淬灭系数;NPQ. 非光化学淬灭系数。
| [1] | 纪文贵,王珂,蒙建波,等.中国土壤重金属污染状况及其风险评价[J].农业研究与应用,2020,33(5):22-28. |
| JI W G, WANG K, MENG J B,et al.Distribution characteristics and risk assessment of soil heavy metal pollution in China[J].Agricultural Research and Application,2020,33(5):22-28. | |
| [2] | 罗昱.螯合剂及有机酸强化凤尾鸡冠花修复Pb、Cd污染土壤研究[D].昆明:昆明理工大学,2021. |
| LUO Y.Study on remediation of Pb and Cd contaminated soil by chelating agents and organic acids[D].Kunming:Kunming University of Science and Technology,2021. | |
| [3] | ZHANG Y, ZHOU J, GAO F J,et al.Comprehensive ecological risk assessment for heavy metal pollutions in three phases in rivers[J].Transactions of Nonferrous Metals Society of China,2015,25(10):3436-3441. |
| [4] | SHI Y K, MU X M, LI K R,et al.Soil characterization and differential patterns of heavy metal accumulation in woody plants grown in coal gangue wastelands in Shaanxi,China[J].Environmental Science and Pollution Research,2016,23(13):13489-13497. |
| [5] | 赵慧博,赵志强,包春光,等.镉(Cd)胁迫下蓖麻蛋白质组学筛查及RcBSK7抗性功能研究[J].植物研究,2023,43(1):36-50. |
| ZHAO H B, ZHAO Z Q, BAO C G,et al.Proteomic screening and RcBSK7 resistance of Ricinus communis under cadmium(Cd) stress[J].Bulletin of Botanical Research,2023,43(1):36-50. | |
| [6] | 慈敦伟,姜东,戴廷波,等.镉毒害对小麦幼苗光合及叶绿素荧光特性的影响[J].麦类作物学报,2005,25(5):88-91. |
| CI D W, JIANG D, DAI T B,et al.Effect of Cd toxicity on photosynthesis and chlorophyll fluorescence of wheat seedling[J].Journal of Triticeae Crops,2005,25(5):88-91. | |
| [7] | 王春瑶,雷晓锦,刘中原.逆境胁迫下山新杨PdbHMGs基因表达模式分析[J].植物研究,2023,43(6):932-942. |
| WANG C Y, LEI X J, LIU Z Y.Expression pattern analysis of PdbHMGs genes in Populus davidiana×P.bolleana under abiotic stress[J].Bulletin of Botanical Research,2023,43(6):932-942. | |
| [8] | 李源恒,赵春莉,郭宏亮,等.镉胁迫对黄秋英生理及富集特性的影响[J].山东农业科学,2024,56(1):81-90. |
| LI Y H, ZHAO C L, GUO H L,et al.Effects of cadmium stress on physiological and enrichment characteristics of Cosmos sulphureus [J].Shandong Agricultural Science,2024,56(1):81-90. | |
| [9] | 自海云,李琬婷,程小毛,等.镉胁迫对洋常春藤叶绿素荧光特性的影响[J].西南林业大学学报,2018,38(5):7-12. |
| ZI H Y, LI W T, CHENG X M,et al.Effects of cadmium stress on chlorophyll fluorescence characteristics of Hedera helix [J].Journal of Southwest Forestry University,2018,38(5):7-12. | |
| [10] | 张涵洋,李爱,张卫华,等.镉胁迫对西瓜幼苗生长及其叶片解剖结构和生理特性的影响[J].西北植物学报,2023,43(3):401-409. |
| ZHANG H Y, LI A, ZHANG W H,et al.Effects of cadmium stress on the growth,leaf anatomical structure and physiological characteristics of Citrullus lanatus seedlings[J].Acta Botanica Boreali-Occidentalia Sinica,2023,43(3):401-409. | |
| [11] | 徐小逊,董袁媛,邓玉兰,等.镉胁迫对豨莶生长及光合作用相关参数的影响[J].农业环境科学学报,2016,35(9):1672-1679. |
| XU X X, DONG Y Y, DENG Y L,et al.Effects of cadmium stress on growth and photosynthetic parameters of Sigesbeckia orientalis L.[J].Journal of Agro-Environment Science,2016,35(9):1672-1679. | |
| [12] | 李继光,李廷强,朱恩,等.氮对超积累植物东南景天生长和镉积累的影响[J].水土保持学报,2007,21(1):54-58. |
| LI J G, LI T Q, ZHU E,et al.Effects of nitrogen fertilizer on growth and cadmium accumulation in hyperaccumulator of Sedum alfredii Hance[J].Journal of Soil and Water Conservation,2007,21(1):54-58. | |
| [13] | 杨荣孑.镉胁迫对超积累植物龙葵(Solanum nigrum L.)生理生化的影响及不同氮形态的调节作用[D].雅安:四川农业大学,2014. |
| YANG R J.Effects of physiological and biochemical in hyperaccumulator Solanum nigrum L.under cadium stress and the regulation of different nitrogen forms[D].Ya'an:Sichuan Agricultural University,2014. | |
| [14] | 孙颖,王阿香,刘颖竹,等.大花百子莲的开花物候与生殖特性[J].西北植物学报,2013,33(12):2423-2431. |
| SUN Y, WANG A X, LIU Y Z,et al.Flowering phonolology and reproductive features of Agapanthus praecox ssp.orientalis ‘Big Blue’[J].Acta Botanica Boreali-Occidentalia Sinica,2013,33(12):2423-2431. | |
| [15] | 刘涛,陈海荣,汪成忠,等.干旱和盐胁迫下百子莲的抗逆生理研究[J].浙江农业学报,2022,34(12):2669-2681. |
| LIU T, CHEN H R, WANG C Z,et al.Physiology of stress resistance of Agapanthus praecox under drought and salt stress[J].Acta Agriculturae Zhejiangensis,2022,34(12):2669-2681. | |
| [16] | 李治慧.4种宿根花卉的耐旱性及园林应用研究[D].福州:福建农林大学,2015. |
| LI Z H.Study on the drought tolerance and the landscape application of four perennial flower [D].Fuzhou:Fujian Agriculture and Forestry University,2015. | |
| [17] | 汪成忠,王磊,成海钟.4个百子莲品种的抗寒性鉴定[J].贵州农业科学,2015,43(5):58-60. |
| WANG C Z, WANG L, CHENG H Z.Cold resistance identification of four Agapanthus varieties[J].Guizhou Agricultural Sciences,2015,43(5):58-60. | |
| [18] | 许春娇,卓丽环.温度调控使百子莲花期提前[J].园林,2013(3):74-75. |
| XU C J, ZHUO L H.The temperature control makes the flowering period of the Agapanthus praecox earlier[J].Garden,2013(3):74-75. | |
| [19] | YANG X E, LONG X X, YE H B,et al.Cadmium tolerance and hyperaccumulation in a new Zn-hyperaccumulating plant species (Sedum alfredii Hance)[J].Plant and Soil,2004,259:181-189. |
| [20] | 邹琦.植物生理学实验指导[M].北京:中国农业出版社,2000:110-174. |
| ZOU Q.Plant physiology experiment guide[M].Beijing:China Agricultural Press,2000:110-174. | |
| [21] | 沈伟其.测定水稻叶片叶绿素含量的混合液提取法[J].植物生理学通讯,1988(3):62-64. |
| SHEN W Q.Extraction of mixed solution for determination of chlorophyll content in rice leaf blade[J].Plant Physiology Communications,1988(3):62-64. | |
| [22] | 张宪政.作物生理研究法[M].北京:农业出版社,1992:142. |
| ZHANG X Z.Methods of crop physiology research[M].Beijing:Agricultural Press,1992:142. | |
| [23] | WAN G L, NAJEEB U, JILANI G,et al.Calcium invigorates the cadmium-stressed Brassica napus L.plants by strengthening their photosynthetic system[J].Environmental Science and Pollution Research,2011,18(9):1478-1486. |
| [24] | 贾中民,程华,魏虹,等.三峡库区岸生植物秋华柳对镉胁迫的光合响应[J].林业科学,2012,48(6):152-158. |
| JIA Z M, CHENG H, WEI H,et al.Photosynthetic responses of the riparian Salix variegata to cadmium stress in Three Gorges Reservoir Region[J].Scientia Silvae Sinicae,2012,48(6):152-158. | |
| [25] | 郭晖,金振锐,周君丽,等.铅、镉单一及复合污染对3种观赏植物生长的影响及其积累特性研究[J].西北林学院学报,2022,37(3):64-71. |
| GUO H, JIN Z R, ZHOU J L,et al.Growth and accumulation characteristics of three ornamental plants under single and combined pollution of Pb and Cd[J].Journal of Northwest Forestry University,2022,37(3):64-71. | |
| [26] | LIU X Q, PENG K J, WANG A G,et al.Cadmium accumulation and distribution populations of Phytolacca americana L.and the role of transpiration[J].Chemosphere,2010,78(9):1136-1141. |
| [27] | 徐佩贤,费凌,陈旭兵,等.四种冷季型草坪植物对镉的耐受性与积累特性[J].草业学报,2014,23(6):176-188. |
| XU P X, FEI L, CHEN X B,et al.Cadmium tolerance and accumulation in four cool-season turfgrasses[J].Acta Prataculturae Sinica,2014,23(6):176-188. | |
| [28] | 陈露.镉胁迫对不同品种桑树种子萌发及幼苗生长的影响[D].贵阳:贵州大学,2019. |
| CHEN L.Effects of cadmium stress on seed germination and seedling growth of different mulberry varieties[D].Guiyang:Guizhou University,2019. | |
| [29] | 顾翠花,王懿祥,白尚斌,等.四种园林植物对土壤镉污染的耐受性[J].生态学报,2015,35(8):2536-2544. |
| GU C H, Wang Y X, BAI S B,et al.Tolerance and accumulation of four ornamental species seedlings to soil cadmium contamination[J].Acta Ecologica Sinica,2015,35(8):2536-2544. | |
| [30] | 鲁艳,李新荣,何明珠,等.Ni和Cu胁迫对骆驼蓬抗氧化酶活性的影响[J].草业学报,2012,21(3):147-155. |
| LU Y, LI X R, HE M Z,et al.Effects of Ni and Cu on antioxidative enzymes in Peganum harmala [J].Acta Prataculturae Sinica,2012,21(3):147-155. | |
| [31] | 查应琴,潘凤,关萍.镉胁迫对鸡冠花种子萌发及幼苗生理生化特性的影响[J].西北植物学报,2020,40(11):1900-1908. |
| ZHA Y Q, PAN F, GUAN P.Seed germination and seedling physiological and biochemical characteristics of Celosia cristata L.under cadmium stress[J].Acta Botanica Boreali-Occidentalia Sinica,2020,40(11):1900-1908. | |
| [32] | WEI S H, ZHOU Q X, WANG X,et al.A newly-discovered Cd-hyper accumulator Solatium nigrum L.[J].Chinese Science Bulletin,2005,50(1):33-38. |
| [33] | 周健民,沈仁芳.土壤学大辞典[M].北京:科学出版社,2013. |
| ZHOU J M, SHEN R F.Dictionary of soil science[M].Beijing:Science Press,2013. | |
| [34] | BAKER A J M, BROOKS R R.Terrestrial higher plants which hyperaccumulate metallic elements-a review of their distribution,ecology and phytochemistry[J].Biorecovery,1989,1(2):81-126. |
| [35] | 康育鑫,廖水兰,兰婕,等.镉胁迫对不同叶用莴苣品种生长及生理特性的影响[J].江苏农业科学,2021,49(7):149-154. |
| KANG Y X, LIAO S L, LAN J,et al.Effects of cadmium stress on the growth and physiological characteristics of different types of leaf lettuce[J].Jiangsu Agricultural Sciences,2021,49(7):149-154. | |
| [36] | 何俊瑜,任艳芳,王阳阳,等.不同耐性水稻幼苗根系对镉胁迫的形态及生理响应[J].生态学报,2011,31(2):522-528. |
| HE J Y, REN Y F, WANG Y Y,et al.Root morphological and physiological response of rice seedlings with different tolerance to cadmium stress[J].Acta Ecologica Sinica,2011,31(2):522-528. | |
| [37] | 贾莲,张冬,张吉斯,等.镉胁迫对忍冬抗氧化酶活性及内源激素含量的影响[J].地球与环境,2024,52(1):21-28. |
| JIA L, ZHANG D, ZHANG J S,et al.Effect of cadmium stress on antioxidant enzyme activity and endogenous hormones content in Lonicera japonica Thunb[J].Earth and Environment,2024,52(1):21-28. | |
| [38] | 田小霞,毛培春,郭强,等.镉胁迫对马蔺根系形态及部分生理指标的影响[J].西北植物学报,2019,39(6):1105-1113. |
| TIAN X X, MAO P C, GUO Q,et al.Effect of cadmium on root morphology and partial physiological indexes of Iris lactea var.chinensis [J].Acta Botanica Boreali-Occidentalia Sinica,2019,39(6):1105-1113. | |
| [39] | DAI H P, WEI S H, TWARDOWSKA I. et al.Hyperaccumulating potential of Bidens pilosa L. for Cd and elucidation of its translocation behavior based on cell membrane permeability[J].Environmental Science and Pollution Research,2017,24:23161-23167. |
| [40] | WEI S H, BAI J Y, YANG C J,et al.Compound amino acids added in media improved Solanum nigrum L. phytoremediating CD-PAHS contaminated soil[J].International Journal of Phytoremediation,2016,18(4):358-363. |
| [41] | 杨叶萍,简敏菲,余厚平,等.镉胁迫对苎麻(Boehmeria nivea)根系及叶片抗氧化系统的影响[J].生态毒理学报,2016,11(4):184-193. |
| YANG Y P, JIANG M F, YU H P,et al.Influence on the antioxidant system in roots and leaves of Boehmeria nivea under different cadmium stress [J].Asian Journal of Ecotoxicology,2016,11(4):184-193. | |
| [42] | 杨海燕,施国新,徐勤松,等.Cd2+胁迫对竹叶眼子菜的毒理学效应分析[J].应用与环境生物学报,2008,14(3):366-370. |
| YANG H Y, SHI G X, XU Q S,et al.Phytotoxicity of Cd2+ on leaf cells of Potamogeton malaianus [J].Chinese Journal of Applied and Environmental Biology,2008,14(3):366-370. | |
| [43] | 马鑫颖,宋晨,孟妍君,等.外源褪黑素对镉胁迫下棉花种子萌发、抗氧化酶活性及渗透调节物质含量的影响[J].棉花学报,2023,35(4):313-324. |
| MA X Y, SONG C, MENG Y J,et al.Effects of exogenous melatonin on germination,antioxidant enzymes activity,and osmotic adjustment substance content of cotton seed under cadmium stress[J].Cotton Science,2023,35(4):313-324. | |
| [44] | 张阿芳,张庆,代惠萍,等.镉胁迫对银灰杨根和叶片渗透调节物质的影响[J].西北林学院学报,2018,33(2):83-87. |
| ZHANG A F, ZHANG Q, DAI H P,et al.Effects of cadmium stress on the osmotic adjustment substance of Populus canecens in leaves and roots[J].Journal of Northwest Forestry University,2018,33(2):83-87. | |
| [45] | DINAKAR N, NAGAJYOTHI P C, SURESH S,et al.Cadmium induced changes on proline,antioxidant enzymes,nitrate and nitrite reductases in Arachis hypogaea L.[J].Journal of Environmental Biology,2009,30(2):289-294. |
| [46] | KHAN M R, NAZIR F, ASGHER M,et al.Selenium and sulfur influence ethylene formation and alleviate cadmium-induced oxidative stress by improving proline and glutathione production in wheat[J].Journal of Plant Physiology,2015,173:9-18. |
| [47] | HAYAT S, HAYAT Q, ALYEMENI M N,et al.Proline enhances antioxidative enzyme activity,photosynthesis and yield of Cicer arietinum L. exposed to cadmium stress[J].Acta Botanica Croatica,2013,72(2):323-335. |
| [48] | CUTRARO J, GOLDSTEIN N.Cleaning up contaminants with plants[J].BioCycle:Journal of Composting & Recycling,2005,46:3-32. |
| [49] | 苏明洁,廖源林,叶充,等.镉胁迫下苦楝(Melia azedarach L.)幼苗的生长及生理响应[J].农业环境科学学报,2016,35(11):2086-2093. |
| SU M J, LIAO Y L, YE C,et al.The growth and physiological responses of Melia azedarach L. seedlings to cadmium stress[J].Journal of Agro-Environment Science,2016,35(11):2086-2093. | |
| [50] | 铁得祥,胡红玲,喻秀艳,等.桢楠幼树光合特性对镉胁迫的响应[J].生态学报,2020,40(11):3738-3746. |
| TIE D X, HU H L, YU X Y,et al.Responses of photosynthetic characteristics and chlorophyll fluorescence parameters of Phoebe zhennan saplings to cadmium stress[J].Acta Ecologica Sinica,2020,40(11):3738-3746. | |
| [51] | POZO A D, PÉREZ P, MORCUENDE R,et al.Acclimatory responses of stomatal conductance and photosynthesis to elevated CO2 and temperature in wheat crops grown at varying levels of N supply in a Mediterranean environment[J].Plant Science,2005,169(5):908-916. |
| [52] | 赵弘益,管珏镧,张雪媛,等.土壤镉胁迫对檫木光合特性的影响[J].植物研究,2021,41(4):506-513. |
| ZHAO H Y, GUAN J L, ZHANG X Y,et al.Photosynthetic characteristics of Sassafras tzumu under cadmium stress in soil[J].Bulletin of Botanical Research,2021,41(4):506-513. | |
| [53] | 张磊,于燕玲,张磊.外源镉胁迫对玉米幼苗光合特性的影响[J].华北农学报,2008,23(1):101-104. |
| ZHANG L, YU Y L, ZHANG L.Influence of added cadmium stress on photosynthetic characteristics of maize in seedling stage[J].Acta Agriculturae Boreali-Sinica,2008,23 (1):101-104. | |
| [54] | 苏玲,章永松,林咸永,等.维管植物的镉毒和耐性机制[J].植物营养与肥料学报,2000,6 (1):106 -112. |
| SU L, ZHANG Y S, LIN X Y,et al.Cadmium toxicity and tolerance in vascular plants[J].Journal of Plant Nutrition and Fertilizers,2000,6 (1):106-112. | |
| [55] | 刘会超,刘孟刚,姚连芳,等.镉胁迫对银条生物量及光合特性的影响[J].华北农学报,2010,25(4):162-165. |
| LIU H C, LIU M G, YAO L F,et al.Effects of cadmium stress on biomass and photosynthetic characteristics of Stachys floridana [J].Acta Agriculturae Boreali-Sinica,2010,25(4):162-165. | |
| [56] | 简敏菲,杨叶萍,余厚平,等.不同浓度Cd2+胁迫对苎麻叶绿素及其光合荧光特性的影响[J].植物生理学报,2015,51 (8):1331-1338. |
| JIAN M F, YANG Y P, YU H P,et al.Influences of different cadmium concentration stress on chlorophyll and its photosynthetic fluorescence characteristics of Ramie (Boehmeria nivea)[J].Plant Physiology Journal,2015,51(8):1331-1338. |
| [1] | 王洪政, 余绍莲, 马月花, 任玲芸, 倪红伟. 硒对膜荚黄芪镉胁迫的缓解机制解析[J]. 植物研究, 2024, 44(4): 565-575. |
| [2] | 钟鑫爱, 孟诗琪, 周婉婷, 姚琦, 张琼, 兴旺, 刘大丽. 甜菜谷胱甘肽S-转移酶基因家族鉴定及在镉胁迫下的响应分析[J]. 植物研究, 2022, 42(5): 790-801. |
| [3] | 高冰, 高鹏飞, 范卫芳, 冯郑红, 吴建慧. 镉胁迫对绢毛委陵菜-丛枝菌根真菌共生体根系结构和生理的影响[J]. 植物研究, 2022, 42(4): 647-656. |
| [4] | 赵弘益, 管珏镧, 张雪媛, 梁清, 张健, 胡红玲. 土壤镉胁迫对檫木光合特性的影响[J]. 植物研究, 2021, 41(4): 506-513. |
| [5] | 邱东, 张静, 吴楠, 陶冶. 微生境对耐旱石生毛尖紫萼藓水分保持与散失特性的影响[J]. 植物研究, 2021, 41(2): 180-190. |
| [6] | 宋子文, 刘焕臻, 马晓雨, 孙国语, 易嘉欣, 张春华, 尤远祥, 王德秋, 李开隆. 镉胁迫对大青杨不同倍体的生长及生理生化的影响[J]. 植物研究, 2020, 40(5): 728-734. |
| [7] | 关韬, 刘超, 李开隆, 夏德安, 马旭俊. 杨树HDA902基因在低温胁迫应答反应中的功能[J]. 植物研究, 2020, 40(2): 251-256. |
| [8] | 马月花, 郭晓瑞, 杨楠, 张野, 唐中华, 王洪政. 黄芪幼苗对镉胁迫的生理响应机制[J]. 植物研究, 2019, 39(4): 497-504. |
| [9] | 金玲;高媚娇;段喜华;郭晓瑞*. 锌胁迫长春花不同部位Zn积累受外源乙烯利调控的特点[J]. 植物研究, 2015, 35(1): 150-153. |
| [10] | 刘大丽;毛子军;安志刚*;马龙彪;鲁振强. 过量表达拟南芥AtGCS可以提高E.coli的重金属耐受性及富集能力[J]. 植物研究, 2013, 33(3): 325-329. |
| [11] | 范庆;吕秀军;杨柳;杨颖丽*. 镉胁迫对矮牵牛种子萌发、幼苗生长及抗氧化酶活性的影响[J]. 植物研究, 2010, 30(6): 685-691. |
| 阅读次数 | ||||||
|
全文 |
|
|||||
|
摘要 |
|
|||||