欢迎访问《植物研究》杂志官方网站,今天是

植物研究 ›› 2025, Vol. 45 ›› Issue (2): 181-190.doi: 10.7525/j.issn.1673-5102.2025.02.004

• 研究论文 • 上一篇    下一篇

植物热形态建成中PIF4调控SAURs基因表达

王玺尧1,2, 刘艳玲2, 王昕1()   

  1. 1.沈阳大学生命科学与工程学院,沈阳 110000
    2.宁波晟千农业科技服务有限公司,宁波 315100
  • 收稿日期:2024-08-16 出版日期:2025-03-20 发布日期:2025-04-04
  • 通讯作者: 王昕 E-mail:xwang166@126.com
  • 作者简介:王玺尧(1999—),男,硕士研究生,主要从事植物抗逆分子机制研究。
  • 基金资助:
    国家自然科学基金项目(31600220)

PIF4 Regulates the Expression of SAURs in Plant Thermomorphogenesis

Xiyao WANG1,2, Yanling LIU2, Xin WANG1()   

  1. 1.College of Life Science and Bioengineering,Shenyang University,Shenyang 110000
    2.Ningbo Shengqian Agricultural Science and Technology Service Co. ,LTD,Ningbo 315100
  • Received:2024-08-16 Online:2025-03-20 Published:2025-04-04
  • Contact: Xin WANG E-mail:xwang166@126.com

摘要:

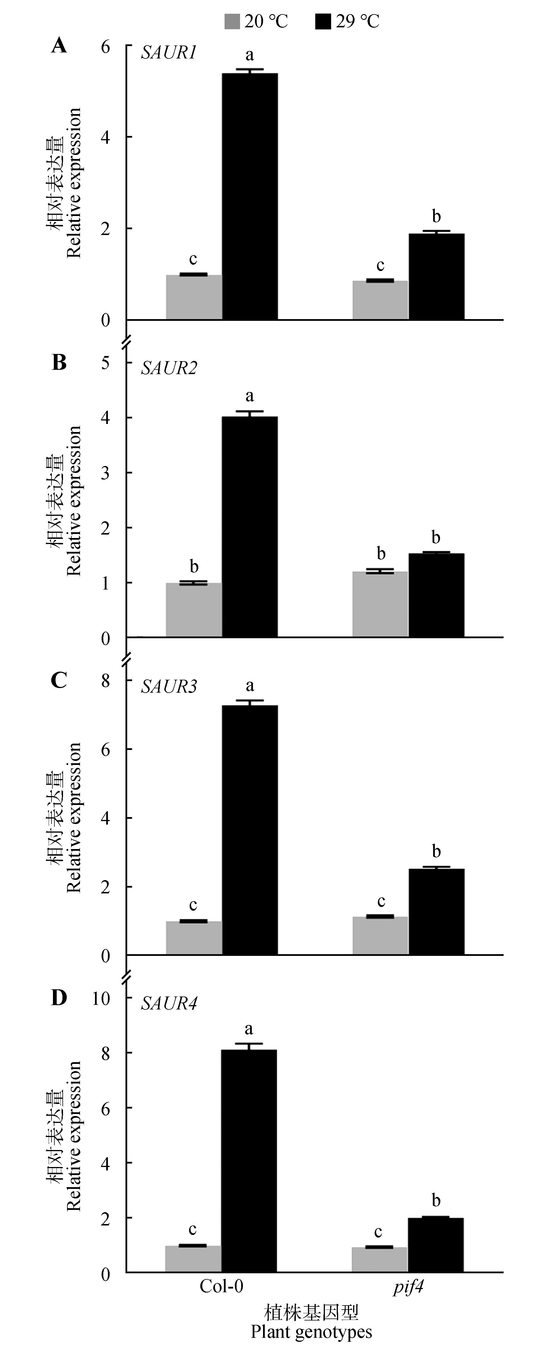
高等植物在高于最适温度且低于逆境高温的温和高温范围内,发生的一系列形态变化统称为热形态建成。在这些形态变化中,以高温诱导的下胚轴伸长受到的关注最多,研究也最为深入。SMALL AUXIN UP RNASAUR)基因家族在促进生长和细胞伸长过程中发挥着重要作用。然而,对于高温调控SAURs的分子机制还知之甚少。该研究以拟南芥(Arabidopsis thaliana)Col-0野生型、pif4-2突变体和4种转基因植物为材料,采用实时荧光定量PCR、染色质免疫共沉淀、双荧光素酶报告基因检测和表型分析的方法探索了热形态建成中高温调控SAUR1~SAUR4的分子机制。结果表明:高温促进SAUR1~SAUR4转录,并且这一促进作用需要转录因子PHYTOCHROME-INTERACTING FACTOR 4(PIF4);转录因子PIF4结合SAUR1~SAUR4启动子区中含有E-box的区域,并且温和高温会提高这些结合的强度;在热形态建成信号转导通路中SAUR1处于PIF4的下游;PIP4对SAUR1~SAUR4的调控需要生长素信号转导通路的参与。以上结果表明,高温通过影响PIF4与SAUR1~SAUR4启动子染色质的结合强度来调控这4个基因的转录。该研究有助于理解热形态建成中高温调控下胚轴伸长的下游分子机制,从而丰富抗热育种理论。

关键词: 热形态建成, 下胚轴伸长, PIF4, SAURs

Abstract:

Thermomorphogenesis is defined as a series of morphological changes that occur in higher plants when the temperature is higher than an optimal temperature and lower than the stress temperature. Among these morphological changes, hypocotyl elongation induced by high temperature has received the most attention and has been studied most deeply. SMALL AUXIN UP RNASAUR) gene family plays a key role in promoting growth and cell elongation. However, little is known about the molecular mechanism of high temperature regulation of SAURs. In this study, Arabidopsis Col-0 wild type, pif4-2 mutant and four transgenic plants were used as research materials. Real-time Quantitative PCR(qPCR), chromatin immunoprecipitation(ChIP), double luciferase reporter gene detection and phenotypic analysis were used to explore the molecular mechanisms of high temperature regulated SAUR1-SAUR4. The results were as follows: high temperature promoted SAUR1-SAUR4 transcription and this promotion required transcription factor PHYTOCHROME-INTERACTING FACTOR 4(PIF4); transcription factor PIF4 binded to the E-box region in the promoter regions of SAUR1-SAUR4, and mild-high temperature enhanced these binding; auxin was downstream of PIF4 in the thermomorphogenesis signaling pathway; auxin signaling pathway was required for the regulation of SAUR1-SAUR4 by PIF4. These results indicated that high temperature regulated the transcription of these four genes by influencing the binding strength of PIF4 and SAUR1-SAUR4 promoter chromatin. This research deepens our understanding of the molecular mechanism underlying hypocotyl elongation downstream genes regulated by high temperature during thermomorphogenesis, thus enriching the theoretical basis of heat-resistant breeding.

Key words: thermomorphogenesis, hypocotyl elongation, PIF4, SAURs

中图分类号: