Welcome to Bulletin of Botanical Research! Today is Share:

Bulletin of Botanical Research ›› 2026, Vol. 46 ›› Issue (2): 280-293.doi: 10.7525/j.issn.1673-5102.2026.02.008

• Original Paper • Previous Articles     Next Articles

Effects of Composite Inducers and Light Quality Inducers on Secondary Metabolites in Epimedium sagittatum Suspension Cells

Mengyao ZHAO1,2, Baoyu JI1,3,4, Nuo LI1, Yaozu HAN1, Lixin PEI1()   

  1. 1.School of Pharmacy,Henan University of Chinese Medicine,Zhengzhou 450046
    2.Chongqing Institute of Medicinal Plant Cultivation,Nanchuan 408435
    3.Collaborative Innovation Center of Research and Development on the Whole Industry Chain of Yu-Yao,Zhengzhou 450046
    4.State Key Laboratory for Quality Ensurance and Sustainable Use of Dao-di Herbs,Beijing 100700
  • Received:2025-12-05 Online:2026-03-20 Published:2026-04-02
  • Contact: Lixin PEI E-mail:xlpxlp@aliyun.com

Abstract:

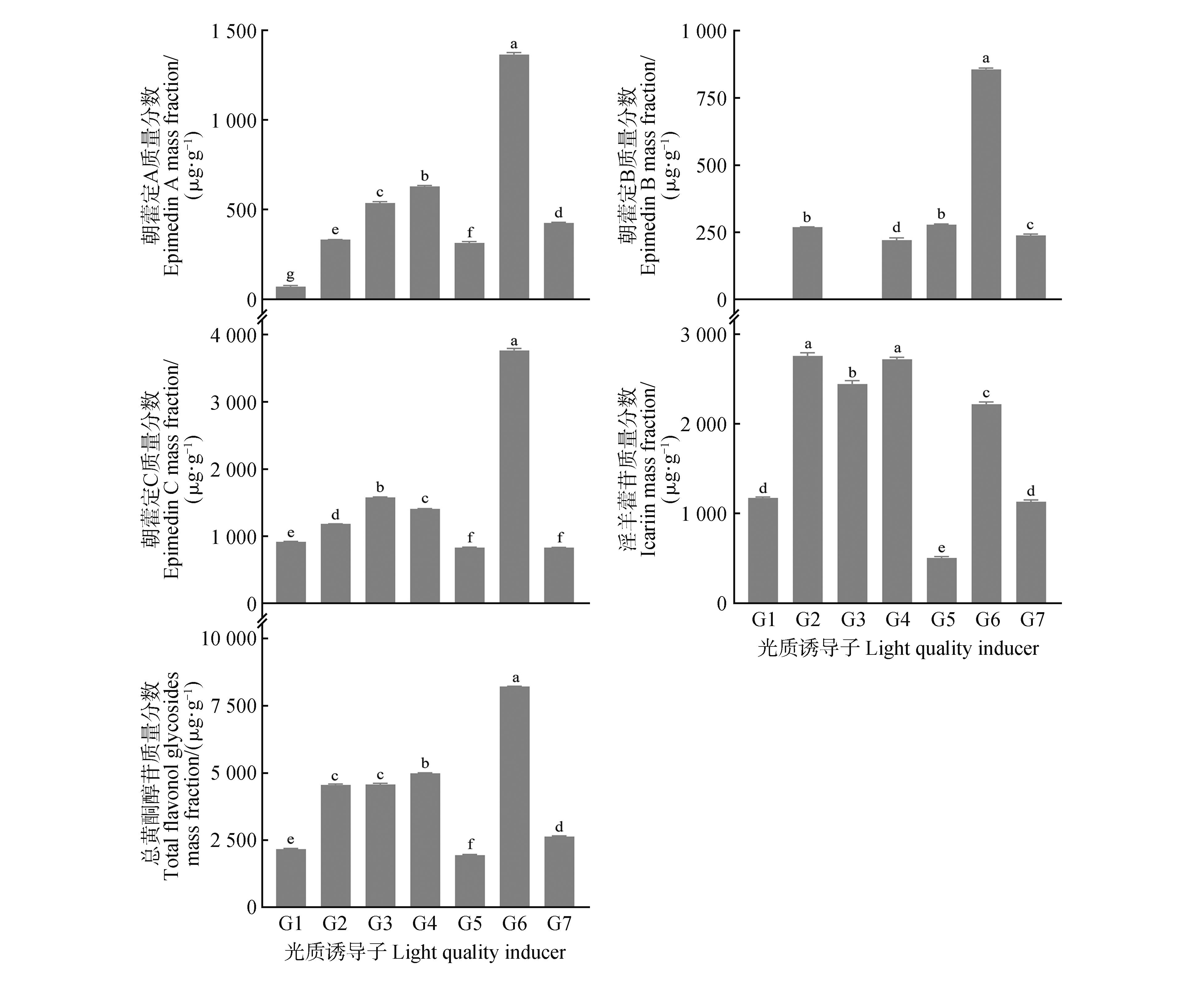
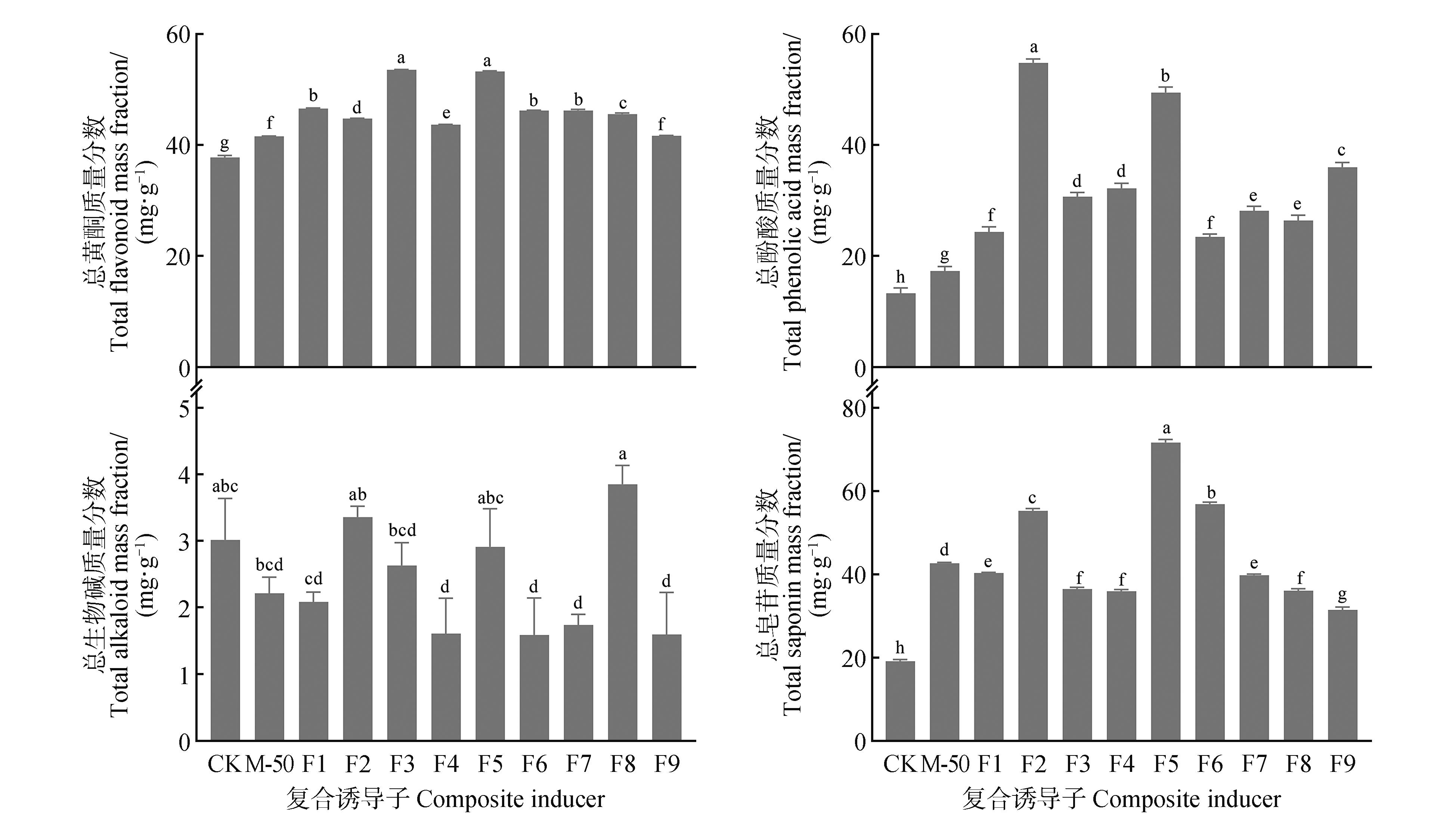
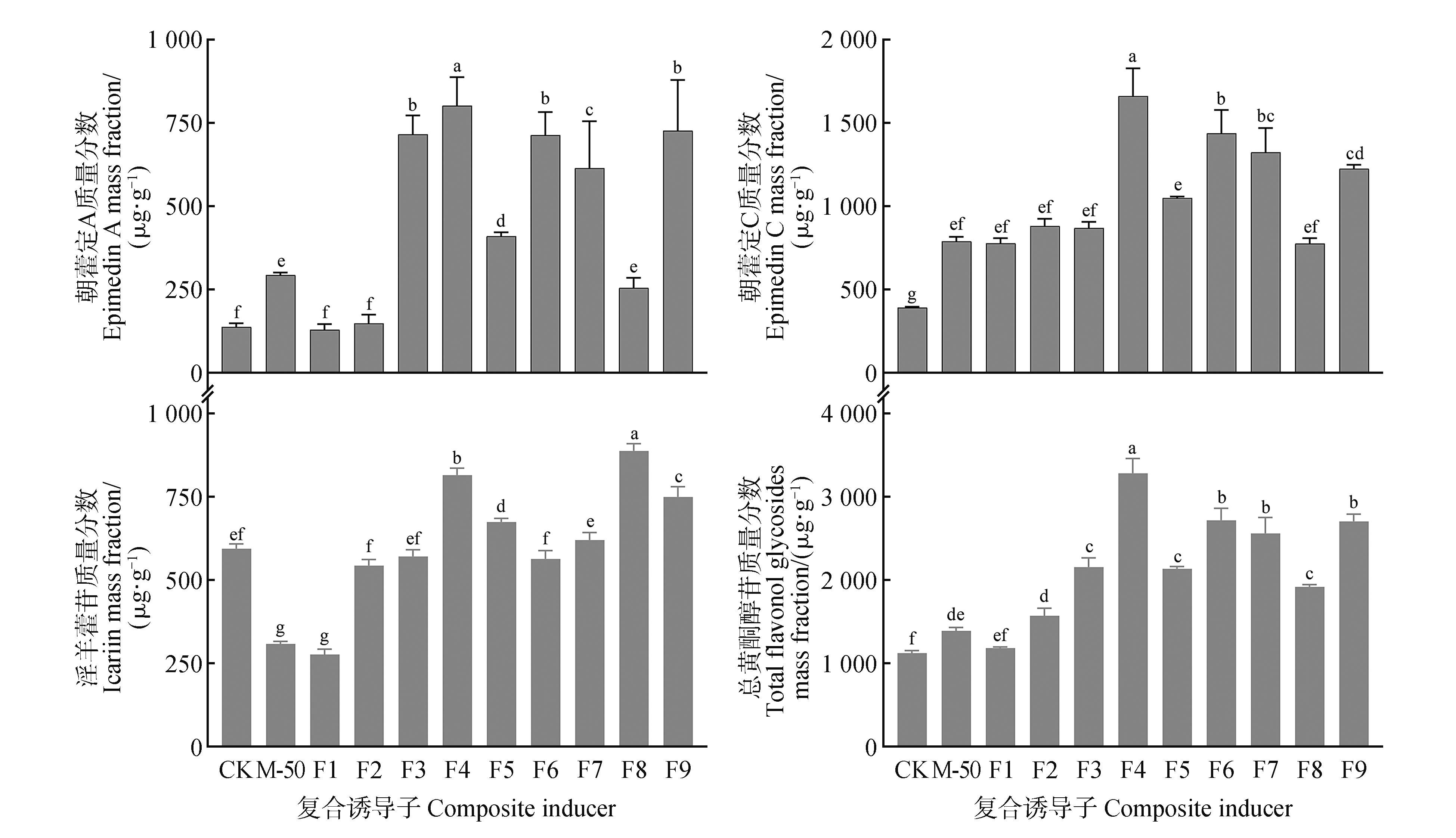
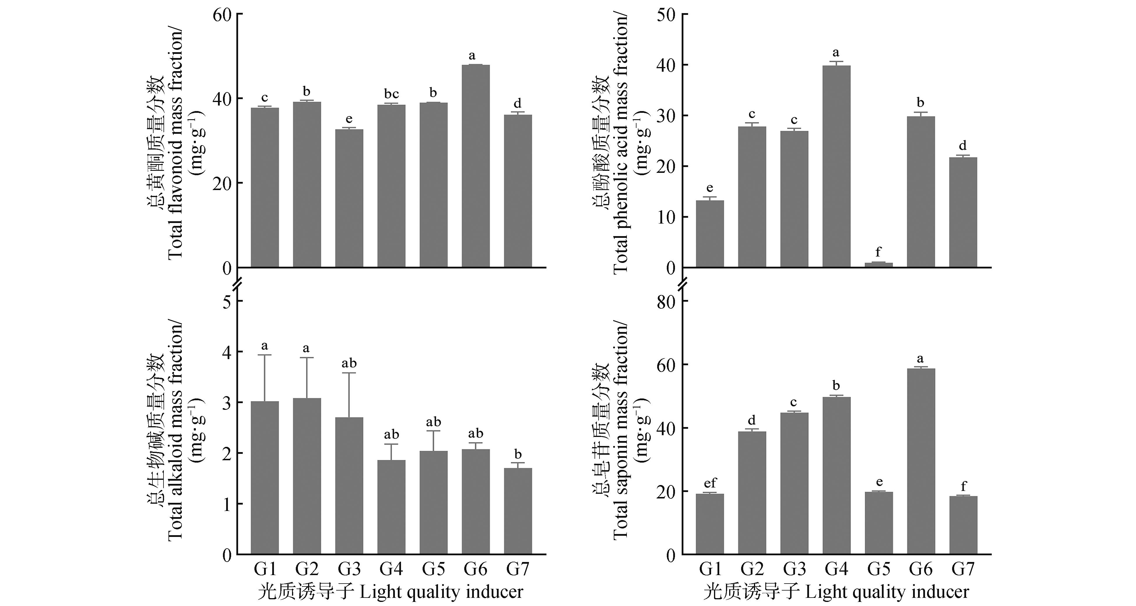
This study investigated the effects of composite inducers at varying concentrations and photomorphogenic inducers under different photoperiods on the major secondary metabolites in Epimedium sagittatum(Sieb. et Zucc.) Maxim. suspension cells. Orthogonal experiments were conducted under optimal culture conditions to evaluate the effects of three composite inducers: MeJA at 25, 50,and 75 μmol⋅L-1; SA at 25, 50, and 75 μmol⋅L-1; and CTS at 0, 10, and 20 mg⋅L-1. Additionally, induction was performed under varying light qualities and photoperiods. The findings demonstrated that the levels of secondary metabolites, including flavonol glycosides, total flavonoids, total phenolic acids, and total saponins, increased in E. sagittatum suspension cells treated with composite inducers and photomorphogenic inducers compared to the control group. The F4 treatment group (50 μmol⋅L-1 MeJA, 25 μmol⋅L-1 SA, 20 mg⋅L-1 CTS) and G6 treatment group (blue light, 16 h) exhibited significantly higher flavonol glycoside content, being 2.92 and 3.79-fold higher than the control, respectively. The F3 treatment group(25 μmol⋅L-1 MeJA, 50 μmol⋅L-1 SA, 10 mg⋅L-1 CTS) and G6 treatment group(blue light, 16 h) demonstrated significantly higher total flavonoid content, approximately 1.42 and 1.27-fold higher than the control, respectively. The F2 treatment group(25 μmol⋅L-1 MeJA, 25 μmol⋅L-1 SA) and G4 treatment group (blue light, 12 h) exhibited significantly elevated total phenolic acid content, being 4.11 and 2.94-fold higher than the control, respectively. The F8 treatment group(75 μmol⋅L-1 MeJA, 75 μmol⋅L-1 SA) and G2 treatment group (white light, 12 h) exhibited higher total alkaloid content, being 1.28 and 1.02-fold higher than the control, respectively. The total saponin content in the F5 treatment group(50 μmol⋅L-1 MeJA, 50 μmol⋅L-1 SA) and G6 treatment group(blue light, 16 h) was significantly higher, being 3.73 and 3.05-fold higher than the control, respectively. These results indicated that the application of exogenous inducers effectively enhanced the synthesis and accumulation of secondary metabolites, such as flavonoids and total saponins, in E. sagittatum.

Key words: Epimedium sagittatum, suspension cells, composite inducers, light quality inducers, secondary metabolites

CLC Number: