Bulletin of Botanical Research ›› 2025, Vol. 45 ›› Issue (3): 447-459.doi: 10.7525/j.issn.1673-5102.2025.03.014
• Original Paper • Previous Articles Next Articles
Yaxin WANG1,2, Yuan ZHU1, Sen MENG1, Angang MING3, Hongyan JIA3, Fangcuo QIN1(
), Junkun LU1
Received:2024-12-28
Online:2025-05-20
Published:2025-05-23
Contact:
Fangcuo QIN
E-mail:qinfc@caf.ac.cn
CLC Number:
Yaxin WANG, Yuan ZHU, Sen MENG, Angang MING, Hongyan JIA, Fangcuo QIN, Junkun LU. The Effects of Mixed Eucalyptus Plantations with Different Mycorrhizal Tree Species on Soil Microbial Community[J]. Bulletin of Botanical Research, 2025, 45(3): 447-459.
Add to citation manager EndNote|Ris|BibTeX
URL: https://bbr.nefu.edu.cn/EN/10.7525/j.issn.1673-5102.2025.03.014
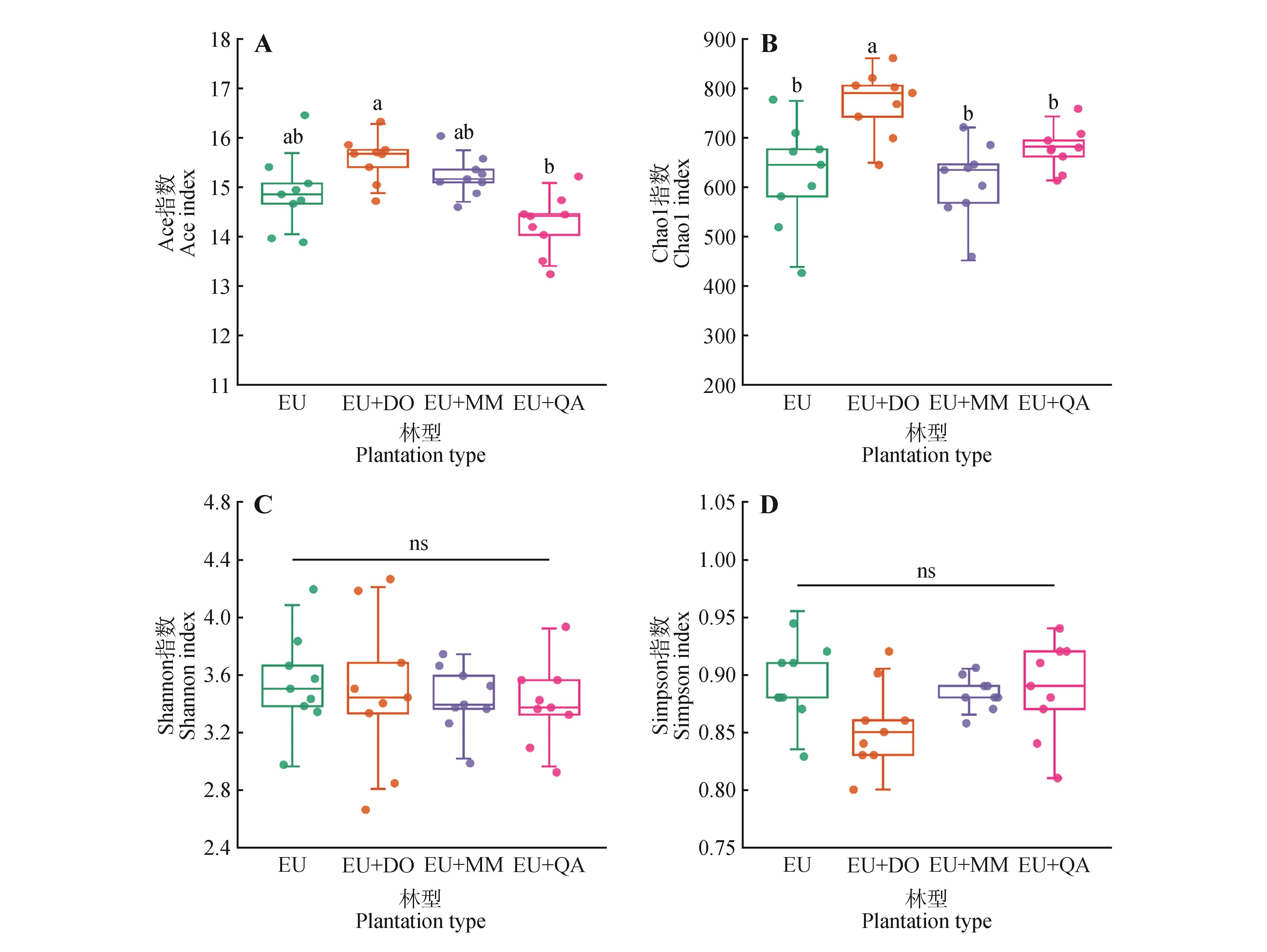
Fig.1
Diversity of soil microbial community in the monospecific and three mixed Eucalyptus plantationsDifferent lowercase letters indicated significant differences in microbial community diversity index between different plantation types(P<0.05);“ns” represented no significant difference between the groups. EU.Pure Eucalyptus plantation; EU+DO.Mixed Eucalyptus plantation with Dalbergia odorifera; EU+MM.Mixed Eucalyptus plantation with Michelia macclurei; EU+QA.Mixed Eucalyptus plantation with Quercus acutissima.
Fig.2
Bacterial and fungal communities in monospecific Eucalyptus plantation and three mixed Eucalyptus plantationsEU.Pure Eucalyptus plantation; EU+DO.Mixed Eucalyptus plantation with Dalbergia odorifera; EU+MM.Mixed Eucalyptus plantation with Michelia macclurei; EU+QA.Mixed Eucalyptus plantation with Quercus acutissima.
Table 1
Soil physical and chemical properties in monospecific Eucalyptus plantation and three mixed Eucalyptus plantations
林型 Plantation type | pH | 铵态氮 | 硝态氮 | 全氮 TN/(g∙kg-1) | 有机碳 SOC/(mg∙kg-1) | 全磷 TP/(g∙kg-1) | 全钾 TK/(g∙kg-1) | 有效磷 AP/(g∙kg-1) | 有效钾 AK/(g∙kg-1) |
|---|---|---|---|---|---|---|---|---|---|
| EU | 4.41±0.20ab | 2.78±1.20a | 12.20±2.34ab | 1.19±0.36a | 24.95±4.92a | 0.25±0.04a | 9.16±3.57a | 2.42±0.71a | 62.97±2.98b |
| EU+DO | 4.37±0.17ab | 2.88±1.20a | 13.82±2.54a | 1.18±0.34a | 20.58±2.48b | 0.25±0.03ab | 9.39±2.97a | 2.22±0.51a | 60.67±3.08b |
| EU+MM | 4.51±0.27a | 1.28±0.78b | 14.32±2.69a | 1.16±0.10a | 22.96±1.23ab | 0.22±0.03b | 8.34±1.42ab | 1.81±0.68ab | 71.82±4.49a |
| EU+QA | 4.48±0.19ab | 2.16±0.19ab | 13.37±1.82ab | 0.98±0.14ab | 23.56±2.10a | 0.22±0.02ab | 7.95±1.28abc | 1.98±0.41ab | 52.10±1.82c |
Fig.3
Relative abundance of functional genes of bacterial and fungal communities in monospecific Eucalyptus plantation and three mixed Eucalyptus plantationsEU.Pure Eucalyptus plantation; EU+DO.Mixed Eucalyptus plantation with Dalbergia odorifera; EU+MM.Mixed Eucalyptus plantation with Michelia macclurei; EU+QA.Mixed Eucalyptus plantation with Quercus acutissima.
Table 2
Topological characteristics of microbial networks in monospecific Eucalyptus plantation and three mixed Eucalyptus plantations
林型 Plantation type | 平均最短路径 Average shortest path length | 平均度 Average degree | 网络直径 Network diameter | 网络密度 Network density | 聚类系数 Clustering coefficient | 模块化 Modularity | 正相关关系 Positive correlation | 负相关关系 Negative correlation | 稳定性 Stability |
|---|---|---|---|---|---|---|---|---|---|
| EU | 4.705 | 8.534 | 13.367 | 0.028 | 0.595 | 0.577 | 1 247 | 80 | 0.545 |
| EU+DO | 3.497 | 4.986 | 12.484 | 0.036 | 0.564 | 0.684 | 333 | 16 | 0.039 |
| EU+MM | 3.505 | 17.383 | 14.883 | 0.093 | 0.714 | 0.311 | 1 317 | 317 | 0.133 |
| EU+QA | 18.200 | 30.521 | 9.167 | 0.163 | 0.925 | 0.153 | 2 687 | 182 | 0.882 |
Fig.4
Microbial co-occurrent networks in monospecific Eucalyptus plantation and three mixed Eucalyptus plantationsNodes represented different operational taxonomic units(OTUs),node sizes were proportional to the degree,node colors were divided by modules,edges represented significant correlations between OTUs(P<0.001). EU.Pure Eucalyptus plantation; EU+DO.Mixed Eucalyptus plantation with Dalbergia odorifera; EU+MM.Mixed Eucalyptus plantation with Michelia macclurei; EU+QA.Mixed Eucalyptus plantation with Quercus acutissima.
Fig.5
Microbial community composition in co-occurrence networks of different Eucalyptus plantations at the phylum level and their relationships with soil propertiesEU.Pure Eucalyptus plantation; EU+DO.Mixed Eucalyptus plantation with Dalbergia odorifera; EU+MM.Mixed Eucalyptus plantation with Michelia macclurei; EU+QA.Mixed Eucalyptus plantation with Quercus acutissima. SOC.Organic carbon; TN.Total nitrogen; TP.Total phosphorus; TK.Total potassium; AP.Available phosphorus; AK.Available potassium; NO3-.Nitrate nitrogen; NH4+.Ammonium nitrogen. Asterisks indicated levels of significance: * represented P<0.05, ** represented P<0.01.
Fig.6
Topological character and keystone taxa of soil microbes in monospecific Eucalyptus plantation and three mixed plantationsEU.Pure Eucalyptus plantation; EU+DO.Mixed Eucalyptus plantation with Dalbergia odorifera; EU+MM.Mixed Eucalyptus plantation with Michelia macclurei; EU+QA.Mixed Eucalyptus plantation with Quercus acutissima.
Fig.7
The venn diagram of keystone taxa in monospecific Eucalyptus plantation and three mixed plantationsEU.Pure Eucalyptus plantation; EU+DO.Mixed Eucalyptus plantation with Dalbergia odorifera; EU+MM.Mixed Eucalyptus plantation with Michelia macclurei; EU+QA.Mixed Eucalyptus plantation with Quercus acutissima.
Fig.8
Mantel analysis of microbial topological characteristics in network and soil properties in different Eucalyptus plantationsEU.Pure Eucalyptus plantation; EU+DO.Mixed Eucalyptus plantation with Dalbergia odorifera; EU+MM.Mixed Eucalyptus plantation with Michelia macclurei; EU+QA.Mixed Eucalyptus plantation with Quercus acutissima. SOC.Soil organic carbon; TN.Total nitrogen; TP.Total phosphorus; TK.Total potassium; AP.Available phosphorus; AK.Available potassium; NO3-.Nitrate nitrogen; NH4+.Ammonium nitrogen. Asterisks indicated levels of significance: * represented P<0.05, ** represented P<0.01, and *** represented P<0.001.
| 1 | 温远光,张祖峰,周晓果,等.珍贵乡土树种与桉树混交对生态系统生物量和碳储量的影响[J].广西科学,2020,27(2):111-119. |
| WEN Y G, ZHANG Z F, ZHOU X G,et al.Effects of mixing precious indigenous tree species and Eucalyptus on ecosystem biomass and carbon stocks[J].Guangxi Sciences,2020,27(2):111-119. | |
| 2 | 温远光,刘世荣,陈放.连栽对桉树人工林下物种多样性的影响[J].应用生态学报,2005,16(9):1667-1671. |
| WEN Y G, LIU S R, CHEN F.Effects of continuous cropping on understorey species diversity in Eucalypt plantations[J].Chinese Journal of Applied Ecology,2005,16(9):1667-1671. | |
| 3 | FENG Y H, SCHMID B, LOREAU M,et al.Multispecies forest plantations outyield monocultures across a broad range of conditions[J].Science,2022,376(6595):865-868. |
| 4 | BAUHUS J, VAN WINDEN A P, NICOTRA A B.Aboveground interactions and productivity in mixed-species plantations of Acacia mearnsii and Eucalyptus globulus [J].Canadian Journal of Forest Research,2004,34(3):686-694. |
| 5 | ZHANG H, GUAN D S, SONG M W.Biomass and carbon storage of Eucalyptus and Acacia plantations in the Pearl River Delta,South China[J].Forest Ecology and Management,2012,277:90-97. |
| 6 | FORRESTER D I, BAUHUS J, COWIE A L.Nutrient cycling in a mixed-species plantation of Eucalyptus globulus and Acacia mearnsii [J].Canadian Journal of Forest Research,2005,35(12):2942-2950. |
| 7 | SANTOS F M, CHAER G M, DINIZ A R,et al.Nutrient cycling over five years of mixed-species plantations of Eucalyptus and Acacia on a sandy tropical soil[J].Forest Ecology and Management,2017,384:110-121. |
| 8 | AKATSUK M, MAKITA N.Influence of fine root traits on in situ exudation rates in four conifers from different mycorrhizal associations[J].Tree Physiology,2020,40(8):1071-1079. |
| 9 | PHILLIPS R P, BRZOSTEK E, MIDGLEY M G.The mycorrhizal-associated nutrient economy:a new framework for predicting carbon-nutrient couplings in temperate forests[J].New Phytologist,2013,199(1):41-51. |
| 10 | YAO X Y, ZANG Q C, ZHOU H J,et al.Introduction of Dalbergia odorifera enhances nitrogen absorption on Eucalyptus through stimulating microbially mediated soil nitrogen-cycling[J].Forest Ecosystems,2021,8:1-12. |
| 11 | 于福科,黄新会,王克勤,等.桉树人工林生态退化与恢复研究进展[J].中国生态农业学报(中英文),2009,17(2):393-398. |
| YU F K, HUANG X H, WANG K Q,et al.An overview of ecological degradation and restoration of Eucalyptus plantation[J].Chinese Journal of Eco-Agriculture,2009,17(2):393-398. | |
| 12 | FORRESTER D I, BAUHUS J, KHANNA P K.Growth dynamics in a mixed-species plantation of Eucalyptus globulus and Acacia mearnsii [J].Forest Ecology and Management,2004,193(1/2):81-95. |
| 13 | PEREIRA A P A, DURRER A, GUMIERE T,et al.Mixed Eucalyptus plantations induce changes in microbial communities and increase biological functions in the soil and litter layers[J].Forest Ecology and Management,2019,433:332-342. |
| 14 | STEENWERTH K L, JACKSON L E, CALDERÓN F J,et al.Soil microbial community composition and land use history in cultivated and grassland ecosystems of coastal California[J].Soil Biology and Biochemistry,2002, 34(11):1599-1611. |
| 15 | JANSSON J K, HOFMOCKEL K S.Soil microbiomes and climate change[J].Nature Reviews Microbiology,2020,18(1):35-46. |
| 16 | TIAN J, DUNGAIT J A J, LU X K,et al.Long-term nitrogen addition modifies microbial composition and functions for slow carbon cycling and increased sequestration in tropical forest soil[J].Global Change Biology,2019,25(10):3267-3281. |
| 17 | 朱媛,王亚鑫,覃方锉,等.不同林龄桉树根际及非根际土壤微生物群落结构及功能[J].生态学报,2024,44(18):8409-8422. |
| ZHU Y, WANG Y X, QIN F C,et al.Composition and function of soil microbial community in rhizosphere soil and bulk soil of Eucalyptus plantation across different stand ages[J].Acta Ecologica Sinica,2024,44(18):8409-8422. | |
| 18 | WAGG C, SCHLAEPPI K, BANERJEE S,et al.Fungal-bacterial diversity and microbiome complexity predict ecosystem functioning[J].Nature Communications,2019,10(1):4841. |
| 19 | CHEN G, ZHU H L, ZHANG Y.Soil microbial activities and carbon and nitrogen fixation[J].Research in Microbiology,2003,154(6):393-398. |
| 20 | DENG M F, HU S J, GUO L L,et al.Tree mycorrhizal association types control biodiversity-productivity relationship in a subtropical forest[J].Science Advances,2023,9(3):eadd4468. |
| 21 | CHEEKE T E, PHILLIPS R P, BRZOSTEK E R,et al.Dominant mycorrhizal association of trees alters carbon and nutrient cycling by selecting for microbial groups with distinct enzyme function[J].New Phytologist,2017,214(1):432-442. |
| 22 | PEREIR A P A, ZAGATT M R G, BRANDANI C B,et al. Acacia changes microbial indicators and increases C and N in soil organic fractions in intercropped Eucalyptus plantations[J].Frontiers in Microbiology,2018,9:655. |
| 23 | 鲍士旦.土壤农化分析[M].3版.北京:中国农业出版社,2000. |
| BAO S D.Soil agrochemical analysis[M].3rd ed.Beijing:China Agricultural Press,2000 | |
| 24 | YIN S Q, ZHANG W M, TONG T J,et al.Feedstock-dependent abundance of functional genes related to nitrogen transformation controlled nitrogen loss in composting[J].Bioresource Technology,2022,361:127678. |
| 25 | CHEN S F, ZHOU Y Q, CHEN Y R,et al.fastp:an ultra-fast all-in-one FASTQ preprocessor[J].Bioinformatics,2018,34(17):i884-i890. |
| 26 | LI D H, LIU C M, LUO R B,et al.MEGAHIT:an ultra-fast single-node solution for large and complex metagenomics assembly via succinct de Bruijn graph[J].Bioinformatics,2015,31(10):1674-1676. |
| 27 | ZHU W H, LOMSADZE A, BORODOVSKY M. Ab initio gene identification in metagenomic sequences[J].Nucleic Acids Research,2010,38(12):e132. |
| 28 | KANEHISA M, ARAKI M, GOTO S,et al.KEGG for linking genomes to life and the environment[J].Nucleic Acids Research,2008,36:D480-D484. |
| 29 | 邓泱泱,荔建琦,吴松锋,等.nr数据库分析及其本地化[J].计算机工程,2006,32(5):71-73. |
| DENG Y Y, LI J Q, WU S F,et al.Integrated nr database in protein annotation system and its localization[J].Computer Engineering,2006,32(5):71-73. | |
| 30 | LIU J W, ZHU S Q, LIU X Y,et al.Spatiotemporal dynamics of the archaeal community in coastal sediments:assembly process and co-occurrence relationship[J].The ISME Journal,2020,14(6):1463-1478. |
| 31 | XIAO H C, SHENG H, ZHANG L N,et al.How does land-use change alter soil microbial diversity,composition,and network in subtropical China?[J].Catena,2023,231:107335. |
| 32 | HU W, ZHENG N N, ZHANG Y,et al.Metagenomics analysis reveals effects of salinity fluctuation on diversity and ecological functions of high and low nucleic acid content bacteria[J].Science of The Total Environment,2024,933:173186. |
| 33 | LI M, RAZA M, SONG S,et al.Application of culturomics in fungal isolation from mangrove sediments[J].Microbiome,2023,11(1):272. |
| 34 | GAO W, ZHAO J, GUO X B,et al.Intensive N2 fixation accelerates microbial turnover in cropland soils[J].Science of The Total Environment,2024,916:170081. |
| 35 | BENJAMINI Y, KRIEGER A M, YEKUTIELI D.Adaptive linear step-up procedures that control the false discovery rate[J].Biometrika,2006,93(3):491-507. |
| 36 | GUIMERÀ R, NUNES AMARAL L A.Functional cartography of complex metabolic networks[J].Nature,2005,433(7028):895-900. |
| 37 | DENG Y, JIANG Y H, YANG Y F,et al.Molecular ecological network analyses[J].BMC Bioinformatics,2012,13(1):113. |
| 38 | BANERJEE S, BAAH-ACHEAMFOUR M, Carlyle C N,et al.Determinants of bacterial communities in Canadian agroforestry systems[J].Environmental Microbiology,2016,18(6):1805-1816. |
| 39 | YUAN M M, GUO X, WU L W,et al.Climate warming enhances microbial network complexity and stability[J].Nature Climate Change,2021,11(4):343-348. |
| 40 | MONTAGNINI F.Accumulation in above-ground biomass and soil storage of mineral nutrients in pure and mixed plantations in a humid tropical lowland[J].Forest Ecology and Management,2000,134(1/3):257-270. |
| 41 | PEI Z Q, LEPPERT K N, EICHENBER D,et al.Leaf litter diversity alters microbial activity,microbial abundances,and nutrient cycling in a subtropical forest ecosystem[J].Biogeochemistry,2017,134(1/2):163-181. |
| 42 | GUO Q, GONG L.Compared with pure forest,mixed forest alters microbial diversity and increases the complexity of interdomain networks in arid areas[J].Microbiology Spectrum,2024,12(1):e0264223. |
| 43 | GILLESPIE L M, HATTENSCHWILER S, MILCU A,et al.Tree species mixing affects soil microbial functioning indirectly via root and litter traits and soil parameters in European forests[J].Functional Ecology,2021,35(10):2190-2204. |
| 44 | NIE H J, QIN T L, YAN D H,et al.How do tree species characteristics affect the bacterial community structure of subtropical natural mixed forests?[J].Science of The Total Environment,2021,764:144633. |
| 45 | KOUTIKA L S, FIORE A, TABACCHIONI S,et al.Influence of Acacia mangium on soil fertility and bacterial community in Eucalyptus plantations in the Congolese Coastal Plains[J].Sustainability,2020,12(21):8763. |
| 46 | LI W Q, HUANG Y X, CHEN F S,et al.Mixing with broad-leaved trees shapes the rhizosphere soil fungal communities of coniferous tree species in subtropical forests[J].Forest Ecology and Management,2021,480:118664. |
| 47 | ZHAO M L, ZHAO J, YUAN J,et al.Root exudates drive soil-microbe-nutrient feedbacks in response to plant growth[J].Plant,Cell & Environment,2020,44(2):613-628. |
| 48 | 陈永康,谭许脉,李萌,等.珍贵固氮树种降香黄檀与二代巨尾桉混交种植对土壤微生物群落结构和功能的影响[J].广西植物,2021,41(9):1476-1485. |
| CHEN Y K, TAN X M, LI M,et al.Effects of mixture of valuable nitrogen-fixing tree species Dalbergia odorifera and second-generation Eucalyptus urophylla on structure and function of soil microbial community in subtropical China[J].Guihaia,2021,41(9):1476-1485. | |
| 49 | OUYANG Y, EVANS S E, FRIESEN M L,et al.Effect of nitrogen fertilization on the abundance of nitrogen cycling genes in agricultural soils:a meta-analysis of field studies[J].Soil Biology and Biochemistry,2018,127:71-78. |
| 50 | GORZELAK M A, ASAY A K, PICKLES B J,et al.Inter-plant communication through mycorrhizal networks mediates complex adaptive behaviour in plant communities[J].AoB Plants,2015,7:plv050. |
| 51 | WAGG C, JANSA J, STADLER M,et al.Mycorrhizal fungal identity and diversity relaxes plant-plant competition[J].Ecology,2011,92(6):1303-1313. |
| 52 | LIU X B, BURSLEM D F R P, TAYLOR J D,et al.Partitioning of soil phosphorus among arbuscular and ectomycorrhizal trees in tropical and subtropical forests[J].Ecology Letters,2018,21(5):713-723. |
| 53 | 江盈,邹锋,黄建,等.六个外生菌根真菌菌株在不同难溶性磷源下的溶磷特性[J].菌物学报,2023, 42(6):1311-1329. |
| JIANG Y, ZOU F, HUANG J,et al.Phosphorus dissolving characteristics of six ectomycorrhizal fungal strains under different insoluble phosphorus sources[J].Mycosystema,2023,42(6):1311-1329. | |
| 54 | THAKUR M P, QUAST V, VAN DAM N M,et al.Interactions between functionally diverse fungal mutualists inconsistently affect plant performance and competition[J].Oikos,2019,128(8):1136-1146. |
| 55 | YAO X Y, LI Y F, LIAO L N,et al.Enhancement of nutrient absorption and interspecific nitrogen transfer in a Eucalyptus urophylla × Eucalyptus grandis and Dalbergia odorifera mixed plantation[J].Forest Ecology and Management,2019,449:117465. |
| 56 | QIN F C, YANG F C, MING A G,et al.Mixture enhances microbial network complexity of soil carbon,nitrogen and phosphorus cycling in Eucalyptus plantations[J].Forest Ecology and Management,2024,553:121632. |
| 57 | STAMOU G P, MONOKROUSO N, GWYNN-JONES D,et al.A polyphasic approach for assessing ecosystem connectivity demonstrates that perturbation remodels network architecture in soil microcosms[J].Microbial Ecology,2019,78(4):949-960. |
| 58 | JIAO S, XU Y Q, ZHANG J,et al.Core microbiota in agricultural soils and their potential associations with nutrient cycling[J].mSystems,2019,4(2):e00313-18. |
| 59 | MENG W J, CHANG L, QU Z L,et al.Dominant tree species and litter quality govern fungal community dynamics during litter decomposition[J].Journal of Fungi,2024,10(10):690. |
| 60 | KATO K, HAMAGUCHI T, NAGAO R,et al.Structural basis for the absence of low-energy chlorophylls in a photosystem I trimer from Gloeobacter violaceus [J].elife,2022,11:e73990. |
| 61 | ZHENG R K, WANG C, LIU R,et al.Physiological and metabolic insights into the first cultured anaerobic representative of deep-sea Planctomycetes bacteria[J].eLife,2024,12:RP89874. |
| 62 | 黄佩蓓,焦念志,冯洁,等.海洋浮霉状菌多样性与生态学功能研究进展[J].微生物学通报,2014,41(9):1891-1902. |
| HUANG P B, JIAO N Z, FENG J,et al.Research progress on Planctomycetes’ diversity and ecological function in marine environments[J].Microbiology China,2014,41(9):1891-1902. |
| [1] | Jun ZHI, Wenbiao DUAN, Ming GAO, Wei HU, Meng LI, Shuren WANG. Impact of Land Use Patterns on the Structure and Function of Soil Bacterial Communities [J]. Bulletin of Botanical Research, 2025, 45(1): 22-33. |
| [2] | Yuanyuan TANG, Fuying DENG, Xiaoqing ZHAO, Pei HUANG, Junyi TAO, Shijie ZHOU, Bocheng CHU. Effects of Eucalyptus Introduction on Species Composition and Diversity of Understory Plant Functional Groups [J]. Bulletin of Botanical Research, 2023, 43(6): 943-952. |
| [3] | Ping LUO, Haonan ZHANG, Jianmin XU, Bing HU, Xiaoping WANG, Guangyou LI, Chunjie FAN. Establishment of Agrobacterium rhizogenes-mediated Genetic Transformation System of Eucalyptus urophylla × E. grandis [J]. Bulletin of Botanical Research, 2022, 42(3): 512-520. |
| [4] | Ze-Chen WANG, Ya-Mei LIU, Le-Jun OUYANG, Li-Mei LI, Chu-Yan LIANG, Jing-Yin PAN. Construction and Verification of an Eucalyptus Gene Editing Vector with Visual Selection Markers [J]. Bulletin of Botanical Research, 2021, 41(5): 816-823. |
| [5] | Min WANG, Run-Hui ZHOU, Fei-Yan YU, Hong-Jun DONG, Cong-Lin CHEN, Jing YU, Jian-Feng HAO. Dynamic Changes of Undergrowth Species Diversity and Biomass of Eucalyptus robusta Plantations at Different Ages [J]. Bulletin of Botanical Research, 2021, 41(4): 496-505. |
| [6] | PENG Yao, CAO Feng-Yan, QU Lai-Ye. Effects of Fire Intensity on the Soil Microbial Community of Larch gmelinii Forests [J]. Bulletin of Botanical Research, 2017, 37(4): 549-555. |
| Viewed | ||||||
|
Full text |
|
|||||
|
Abstract |
|
|||||