Bulletin of Botanical Research ›› 2025, Vol. 45 ›› Issue (3): 393-405.doi: 10.7525/j.issn.1673-5102.2025.03.010
• Original Paper • Previous Articles Next Articles
Wu LIU1, Yaying YANG2,3, Ning GONG4, Ziwei ZOU2, Yi WANG2, Baodong CHEN5, Qiong WANG2,6, Wei LIU1,2,6(
)
Received:2024-08-28
Online:2025-05-20
Published:2025-05-23
Contact:
Wei LIU
E-mail:w_liu08@163.com
CLC Number:
Wu LIU, Yaying YANG, Ning GONG, Ziwei ZOU, Yi WANG, Baodong CHEN, Qiong WANG, Wei LIU. Growth and Physiological Responses of Ancient Celtis sinensis Seedlings to the Inoculation of Indigenous Arbuscular Mycorrhizal Fungi[J]. Bulletin of Botanical Research, 2025, 45(3): 393-405.
Add to citation manager EndNote|Ris|BibTeX
URL: https://bbr.nefu.edu.cn/EN/10.7525/j.issn.1673-5102.2025.03.010
Table 1
Response of seedling biomass of ancient C. sinensis to inoculation of indigenous AM fungi
处理 Treatment | 地上生物量 Aboveground biomass/g | 地下生物量 Underground biomass/g | 全株生物量 Total biomass/g |
|---|---|---|---|
| CK | 5.972±0.361b | 1.026±0.055b | 6.897±0.307c |
| CL | 7.264±0.475ab | 1.260±0.139ab | 8.556±0.619ab |
| FM | 6.269±0.109b | 1.257±0.051ab | 7.526±0.128bc |
| FM+CL | 7.898±0.530a | 1.320±0.037a | 9.218±0.564a |
Table 2
Comprehensive evaluation of ancient C. sinensis growth and physiologicel indexes
指标 Index | 隶属函数值 Value of the affiliation function | |||
|---|---|---|---|---|
| CK | FM | CL | FM+CL | |
| 株高Plant height | 0 | 0.487 | 0.434 | 1.000 |
| 茎粗Stem diameter | 0 | 0.821 | 1.000 | 0.937 |
| 叶片数量Number of leaves | 0.398 | 0 | 1.000 | 0.448 |
| 叶面积Leaf area | 0 | 1.000 | 0.737 | 0.879 |
| 叶绿素相对含量Relative chlorophyll content | 0 | 1.000 | 0.741 | 0.996 |
| 最大光能转化效率Maximum photochemical efficiency | 0 | 0.611 | 1.000 | 0.986 |
| 潜在光化学效率Potential photochemical efficiency | 0 | 0.471 | 1.000 | 0.853 |
| PSⅡ实际光化学效率PSⅡ actual photochemical efficiency | 0 | 0.986 | 0.810 | 1.000 |
| 非光化学淬灭系数Non-photochemical quenching coefficient | 0 | 0.930 | 0.915 | 1.000 |
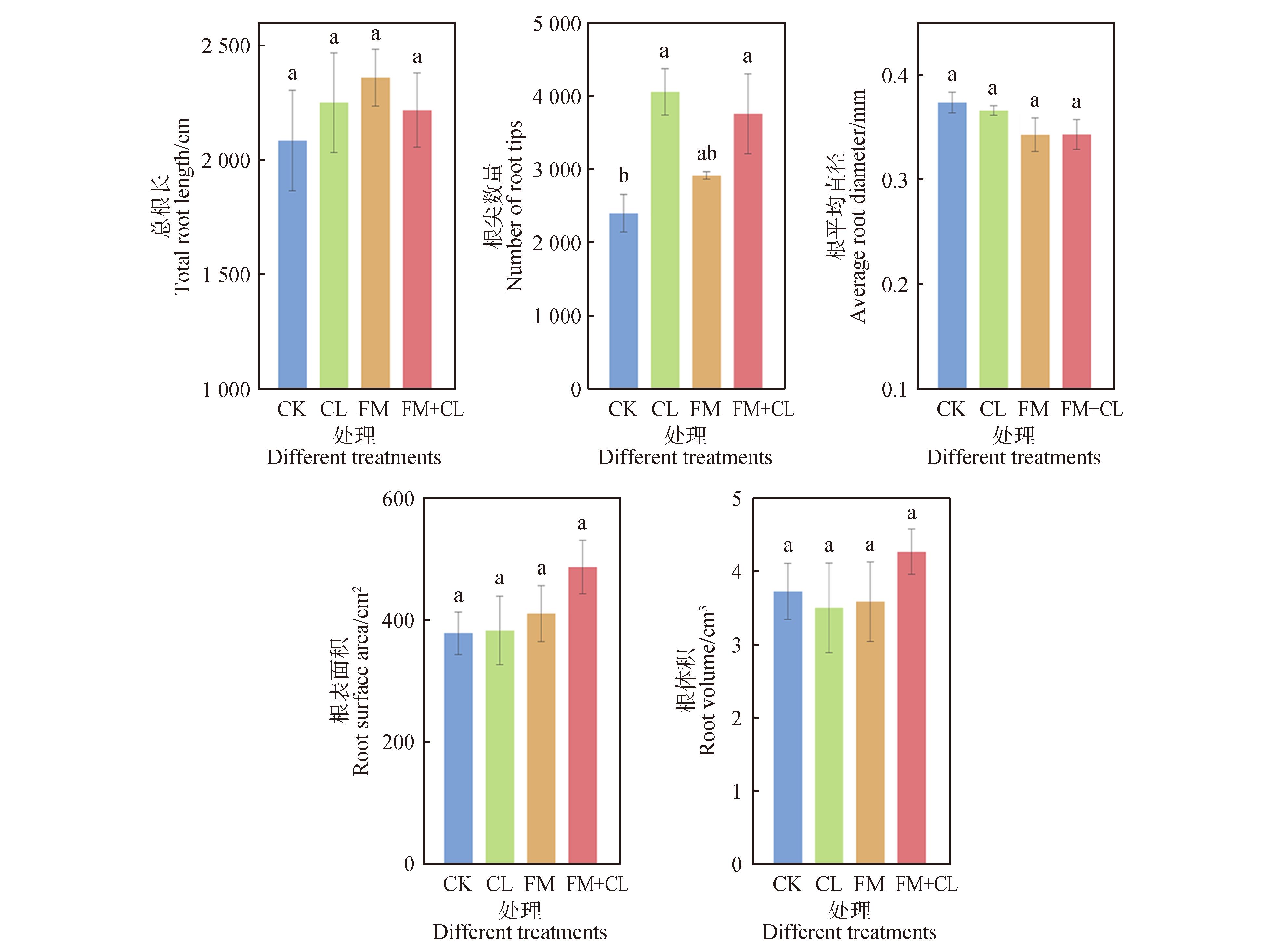
| 总根长Total root length | 0 | 1.000 | 0.602 | 0.485 |
| 根表面积Root surface area | 0 | 0.297 | 0.592 | 1.000 |
| 根平均直径Average root diameter | 1.000 | 0 | 0.756 | 0.013 |
| 根体积Root volume | 0.485 | 0.008 | 0 | 1.000 |
| 根尖数量Number of root tips | 0 | 0.312 | 1.000 | 0.818 |
| 地上生物量Dry weight of aboveground part | 0 | 0.154 | 0.671 | 1.000 |
| 地下生物量Dry weight of belowground part | 0 | 0.785 | 0.797 | 1.000 |
| 全株生物量Total dry weight | 0 | 0.271 | 0.715 | 1.000 |
| 地上部氮含量Nitrogen content of aboveground part | 0 | 0.380 | 0.788 | 1.000 |
| 地下部氮含量Nitrogen content of belowground part | 0 | 0.101 | 1.000 | 0.881 |
| 全株氮积累量Total nitrogen accumulation | 0 | 0.205 | 0.789 | 1.000 |
| 地上部磷含量Phosphorus content of aboveground part | 0 | 1.000 | 0.342 | 0.617 |
| 地下部磷含量Phosphorus content of belowground part | 0 | 1.000 | 0.394 | 0.496 |
| 全株磷积累量Total phosphorus accumulation | 0 | 1.000 | 0.557 | 0.857 |
| SOD活性 SOD activity | 0 | 0.358 | 0.896 | 1.000 |
| POD活性 POD activity | 0 | 0.100 | 0.172 | 1.000 |
| CAT活性 CAT activity | 0 | 0.303 | 1.000 | 0.604 |
| 可溶性蛋白含量Soluble protein content | 0.842 | 0 | 0.033 | 1.000 |
| 可溶性糖含量Soluble sugar content | 1.000 | 0 | 0.013 | 0.178 |
| 叶绿素含量Chlorophyll content | 0 | 0.725 | 1.000 | 0.531 |
| 平均值Average value | 0.128 | 0.493 | 0.681 | 0.813 |
| 排序Ranking | 4 | 3 | 2 | 1 |
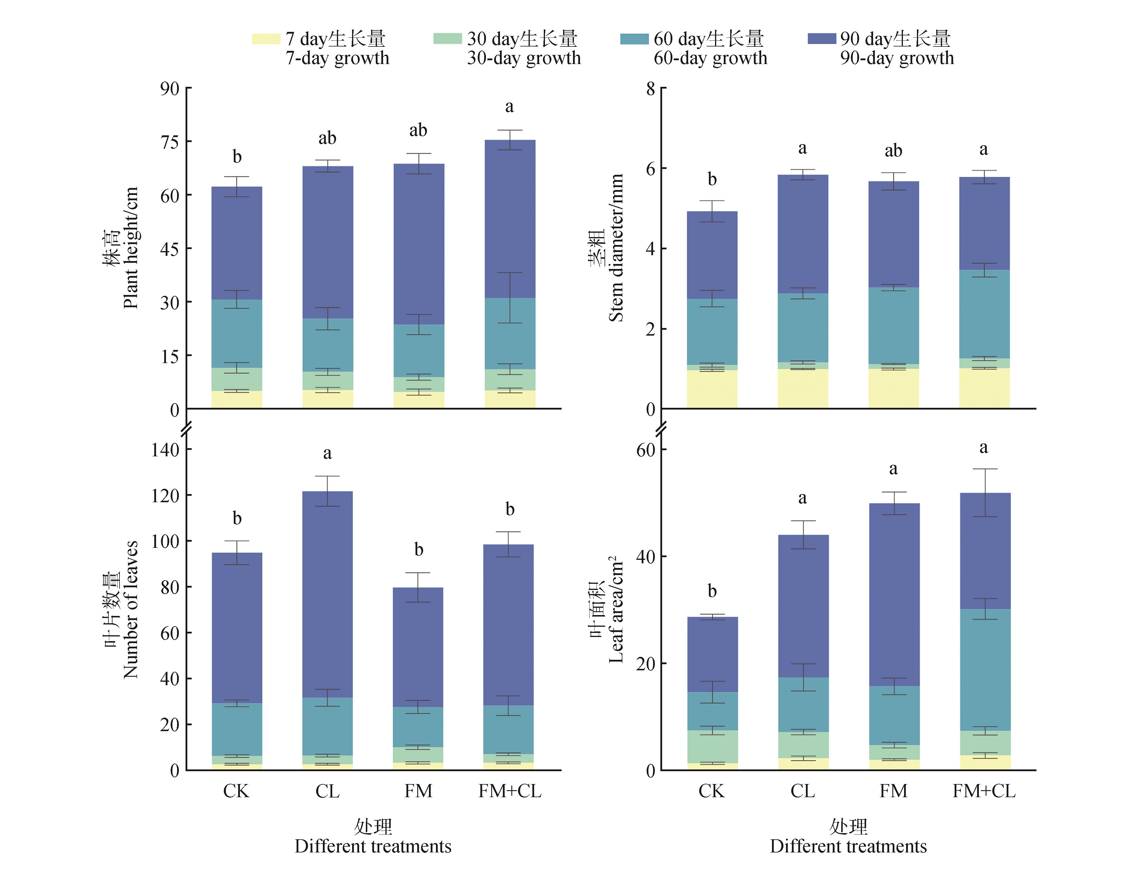
Fig.1
Response of seedling growth of ancient C. sinensis to inoculation of indigenous AM fungiCK.Without inoculation; FM.Inoculation with Funneliformis mosseae; CL.Inoculation with Claroideoglomus lamellosum; FM+CL.Mixed inoculation with Funneliformis mosseae and Claroideoglomus lamellosum;different lowercase letters indicated that there were significant differences in each growth parameter between treatments(P<0.05),n=5.
| 1 | 潘军军.朴树盆景快速成形初探[J].花木盆景, 2023(10):31-33. |
| PAN J J.Preliminary study on the rapid formation of Celtis sinensis miniascape[J].Flower Plant & Penjing,2023(10):31-33. | |
| 2 | 叶要妹.园林树木栽植养护学[M].北京:中国林业出版社,2017:373. |
| YE Y M.Landscape tree planting and maintenance[M].Beijing:China Forestry Press,2017:373. | |
| 3 | 孙光明,宋瑞珍,冯少锋,等.古树名木保护及复壮措施初探[J].河南林业科技,2002,22(4):51-52. |
| SUN G M, SONG R Z, FENG S F,et al.Preliminary exploration of protection and rejuvenation measures for ancient and famous trees[J].Journal of Henan Forestry Science and Technology,2002,22(4):51-52. | |
| 4 | SMITH S E, SMITH F A.Roles of arbuscular mycorrhizas in plant nutrition and growth:new paradigms from cellular to ecosystem scales[J].Annual Review of Plant Biology,2011,62:227-250. |
| 5 | SHI J C, WANG X L, WANG E T.Mycorrhizal symbiosis in plant growth and stress adaptation:from genes to ecosystems[J].Annual Review of Plant Biology,2023,74:569-607. |
| 6 | SIMARD S W.The foundational role of mycorrhizal networks in self-organization of interior Douglas-fir forests[J].Forest Ecology and Management,2009,258:95-107. |
| 7 | HODGE A, STORER K.Arbuscular mycorrhiza and nitrogen:implications for individual plants through to ecosystems[J].Plant and Soil,2015,386(1):1-19. |
| 8 | ORWIN K H, KIRSCHBAUM M U F, JOHN M G ST,et al.Organic nutrient uptake by mycorrhizal fungi enhances ecosystem carbon storage:a model-based assessment[J].Ecology Letters,2011,14(5):493-502. |
| 9 | SIMARD S W, BEILER K J, BINGHAM M A,et al.Mycorrhizal networks:mechanisms,ecology and modelling[J].Fungal Biology Reviews,2012,26(1):39-60. |
| 10 | 鲍士旦.土壤农化分析[M].北京:中国农业出版社,2000:42-76. |
| BAO S D.Soil and agricultural chemistry analysis[M].Beijing:China Agricultural Press,2000:42-76. | |
| 11 | 孟艳琼,张令峰,王雷宏,等.低温胁迫对6种彩叶藤本植物抗寒性生理指标的影响[J].安徽农业大学学报,2009,36(2):172-177. |
| MENG Y Q, ZHANG L F, WANG L H,et al.Effects of low temperature stress on the cold-resistance physiological indexes of six leaf-colored climbing shrub species[J].Journal of Anhui Agricultural University,2009,36(2):172-177. | |
| 12 | 向丹,徐天乐,李欢,等.丛枝菌根真菌的生态分布及其影响因子研究进展[J].生态学报,2017,37(11):3597-3606. |
| XIANG D, XU T L, LI H,et al.Ecological distribution of arbuscular mycorrhizal fungi and the influencing factors[J].Acta Ecologica Sinica,2017,37(11):3597-3606. | |
| 13 | WU Q S, ZOU Y N.Beneficial roles of arbuscular mycorrhizas in citrus seedlings at temperature stress[J].Scientia Horticulturae,2010,125(3):289-293. |
| 14 | 王浩,方燕,刘润进,等.丛枝菌根中养分转运、代谢、利用与调控研究的最新进展[J].植物生理学报,2018,54(11):1645-1658. |
| WANG H, FANG Y, LIU R J,et al.Recent advances in the studies of nutrient transportation,metabolism,utilization and regulation in arbuscular mycorrhizas[J].Plant Physiology Journal,2018,54(11):1645-1658. | |
| 15 | WU Q P, TANG Y, DONG T F,et al.Additional AM fungi inoculation increase Populus cathayana intersexual competition[J].Frontiers in Plant Science,2018,9:607. |
| 16 | 吴强盛,韦启安.银杏丛枝菌根及其与土壤有效磷的关系[J].长江大学学报(自然科学版),2008,5(3):49-51. |
| WU Q S, WEI Q A.Arbuscular mycorrhizae of Ginkgo biloba and its correlation with soil available phosphorus[J].Journal of Yangtze University(Nature Science Edition),2008,5(3):49-51. | |
| 17 | THANNI B, MERCKX R, HAUSER S,et al.Multiple taxa inoculants of arbuscular mycorrhizal fungi enhanced colonization frequency,biomass production,and water use efficiency of cassava (Manihot esculenta)[J].International Microbiology,2024,27(4):1219-1230. |
| 18 | 王珺瑶,李艳艳,郑祥源,等.施氮下接种丛枝菌根真菌对太行山南麓典型灌木荆条生长性状的影响[J].内蒙古大学学报(自然科学版),2024,55(1):74-81. |
| WANG J Y, LI Y Y, ZHENG X Y,et al.The effects of nitrogen application and arbuscular mycorrhizal fungi inoculation on the growth character of the typical shrub species Vitex negundo in southern Taihang Mountains[J].Journal of Inner Mongolia University (Natural Science Edition),2024,55(1):74-81. | |
| 19 | HUANG T, XIE K L, ZHANG Z H,et al.The colonization of the arbuscular mycorrhizal fungus Rhizophagus irregularis affects the diversity and network structure of root endophytic bacteria in maize[J].Scientia Horticulturae,2024,326:112774. |
| 20 | SMITH F A, SMITH S E.Structural diversity in (vesicular)-arbuscular mycorrhizal symbioses[J].New phytologist,1997,137(3):373-388. |
| 21 | SHARIF M, CLAASSEN N.Action mechanisms of arbuscular mycorrhizal fungi in phosphorus uptake by Capsicum annuum L.[J].Pedosphere,2011,21(4):502-511. |
| 22 | MANAUT N, SANGUIN H, OUAHMANE L,et al.Potentialities of ecological engineering strategy based on native arbuscular mycorrhizal community for improving afforestation programs with carob trees in degraded environments[J].Ecological Engineering,2015,79:113-119. |
| 23 | 吉春龙,田萌萌,马继芳,等.丛枝菌根真菌对植物营养代谢与生长影响的研究进展[J].浙江师范大学学报(自然科学版),2010,33(3):303-309. |
| JI C L, TIAN M M, MA J F,et al.Advances in the researches on the effects of arbuscular mycorrhizal fungi on plant nutrition metabolism and growth effects[J].Journal of Zhejiang Normal University (Natural Sciences),2010,33(3):303-309. | |
| 24 | 申开平.接种AM真菌和施磷对喀斯特地区紫茎泽兰与林泽兰养分竞争的影响[D].贵阳:贵州大学,2021. |
| SHEN K P.Effect of AM fungi inoculation and phosphorus application on nutrient competition between Eupatorium adenophorum and Eupatorium lindleyanum in Karst areas[D].Guiyang:Guizhou University,2021. | |
| 25 | AMIRI R, NIKBAKHT A, ETEMADI N,et al.Nutritional status,essential oil changes and water-use efficiency of rose geranium in response to arbuscular mycorrhizal fungi and water deficiency stress[J].Symbiosis,2017, 73(1):15-25. |
| 26 | WANG Y H, WANG M Q, LI Y,et al.Effects of arbuscular mycorrhizal fungi on growth and nitrogen uptake of Chrysanthemum morifolium under salt stress[J].PLoS One,2018,13(4):e0196408. |
| 27 | 潘瑞炽.植物生理学[M].北京:高等教育出版社,2012:79. |
| PAN R C.Plant physiology[M].Beijing:Higher Education Press,2012:79. | |
| 28 | 曹岩坡,戴鹏,戴素英.丛枝菌根真菌(AMF)对低温胁迫下黄瓜幼苗生长及叶绿素荧光参数的影响[J].河北农业科学,2016,20(1):34-37. |
| CAO Y P, DAI P, DAI S Y.Effects of arbuscular mycorrhiza fungi on seedlings growth and chlorophyll fluorescence parameters in cucumber under low temperature stress[J].Journal of Hebei Agricultural Sciences,2016,20(1):34-37. | |
| 29 | 马坤,王彦淇,杨建军,等.不同干旱胁迫条件下丛枝菌根真菌对木棉叶绿素荧光参数的影响[J].植物资源与环境学报,2017,26(3):35-43. |
| MA K, WANG Y Q, YANG J J,et al.Effect of arbuscular mycorrhizal fungi on chlorophyll fluorescence parameters of Bombax ceiba under different drought stress conditions[J].Journal of Plant Resources and Environment,2017,26(3):35-43. | |
| 30 | 吴雅娟,查天山,贾昕,等.油蒿(Artemisia ordosica)光化学量子效率和非光化学淬灭的动态及其影响因子[J].生态学杂志,2015,34(2):319-325. |
| WU Y J, ZHA T S, JIA X,et al.Temporal variation and controlling factors of photochemical efficiency and non-photo chemical quenching in Artemisia ordosica [J].Chinese Journal of Ecology,2015,34(2):319-325. | |
| 31 | 刘家忠,龚明.植物抗氧化系统研究进展[J].云南师范大学学报(自然科学版),1999,19(6):1-11. |
| LIU J Z, GONG M.Advances in antioxidant systems of plants[J].Journal of Yunnan Normal University (Natural Sciences Edition),1999,19(6):1-11. | |
| 32 | 王穗子,金则新,李月灵,等.铜胁迫条件下AMF对海州香薷光合色素含量、抗氧化能力和膜脂过氧化的影响[J].生态学报,2015,35(23):7699-7708. |
| WANG S Z, JIN Z X, LI Y L,et al.Effects of arbuscular mycorrhizal fungi inoculation on the photosynthetic pigment contents,anti-oxidation capacity and membrane lipid peroxidation of Elsholtzia splendens leaves under copper stress[J].Acta Ecologica Sinica,2015,35(23):7699-7708. | |
| 33 | 姚玉涛,张国新,丁守鹏,等.盐胁迫对草莓苗期生长及氧化还原系统的影响[J].北方园艺,2021(17):22-29. |
| YAO Y T, ZHANG G X, DING S P,et al.Effects of salt stress on strawberry seedling growth and antioxidant system[J].Northern Horticulture,2021(17):22-29. | |
| 34 | KAPOOR R, SINGH N.Arbuscular mycorrhizas and stress tolerance of plants[M].Singapore:Springer,2017:225-243. |
| 35 | 陈伟.丛枝菌根真菌对楸树生长和氮素吸收与利用的影响及相关机制[D].杨凌:西北农林科技大学,2023. |
| CHEN W.Effects of arbuscular mycorrhizal fungus on the growth and nitrogen uptake and utilization of Catalpa bungei and related mechanisms[D].Yangling:Northwest A & F University,2023. | |
| 36 | 朱一民,李婷,景宇杭,等.八种红树植物幼苗的叶片可溶性蛋白和抗氧化酶活性对光强的响应[J].广西植物,2023,43(4):606-615. |
| ZHU Y M, LI T, JING Y H,et al.Responses of soluble protein contents and antioxidant enzyme activities in leaves of eight mangrove species seedlings to light intensities[J].Guihaia,2023,43(4):606-615. | |
| 37 | 王嘉佳,唐中华.可溶性糖对植物生长发育调控作用的研究进展[J].植物学研究,2014,3(3):71-76. |
| WANG J J, TANG Z H.The regulation of soluble sugars in the growth and development of plants[J].Botanical Research,2014,3(3):71-76. | |
| 38 | YEE D A, TISSUE D T.Relationships between non-structural carbohydrate concentration and flowering in a subtropical herb,Heliconia caribaea (Heliconiaceae)[J].Caribbean Journal of Science,2005,41(2):243-249. |
| 39 | 孙竹.黄麻(Corchorus capsularis L.)对Cd的富集特征及生理响应研究[D].雅安:四川农业大学,2015. |
| SUN Z.Accumulation characteristics and physiological response of cadmium in Corchorus capsularis L.[D].Ya’an:Sichuan Agricultural University,2015. |
| [1] | Jianhui CHUN, Wenlong DONG, Yuanchao TU, Fang LIU, Yunjian XU. Identification of the Maize GLP Family Genes and Their Expression in Response to Arbuscular Mycorrhizal Symbiosis [J]. Bulletin of Botanical Research, 2025, 45(3): 406-418. |
| Viewed | ||||||
|
Full text |
|
|||||
|
Abstract |
|
|||||