Welcome to Bulletin of Botanical Research! Today is Share:

Bulletin of Botanical Research ›› 2026, Vol. 46 ›› Issue (2): 294-309.doi: 10.7525/j.issn.1673-5102.2026.02.009

• Original Paper • Previous Articles     Next Articles

Development of a Wettable Powder Formulation of Bacillus subtilis C08 and Its Biocontrol Efficacy Against Tomato Early Blight

Yunxin XU1, Yuyan CONG2, Yao ZHANG1(), Aoxue WANG2()   

  1. 1.College of Life Sciences,Northeast Agricultural University,Harbin 150030
    2.College of Horticulture and Landscape Architecture,Northeast Agricultural University,Harbin 150030
  • Received:2025-06-09 Online:2026-03-20 Published:2026-04-02
  • Contact: Yao ZHANG, Aoxue WANG E-mail:zy@neau.edu.cn;axwang@neau.edu.cn

Abstract:

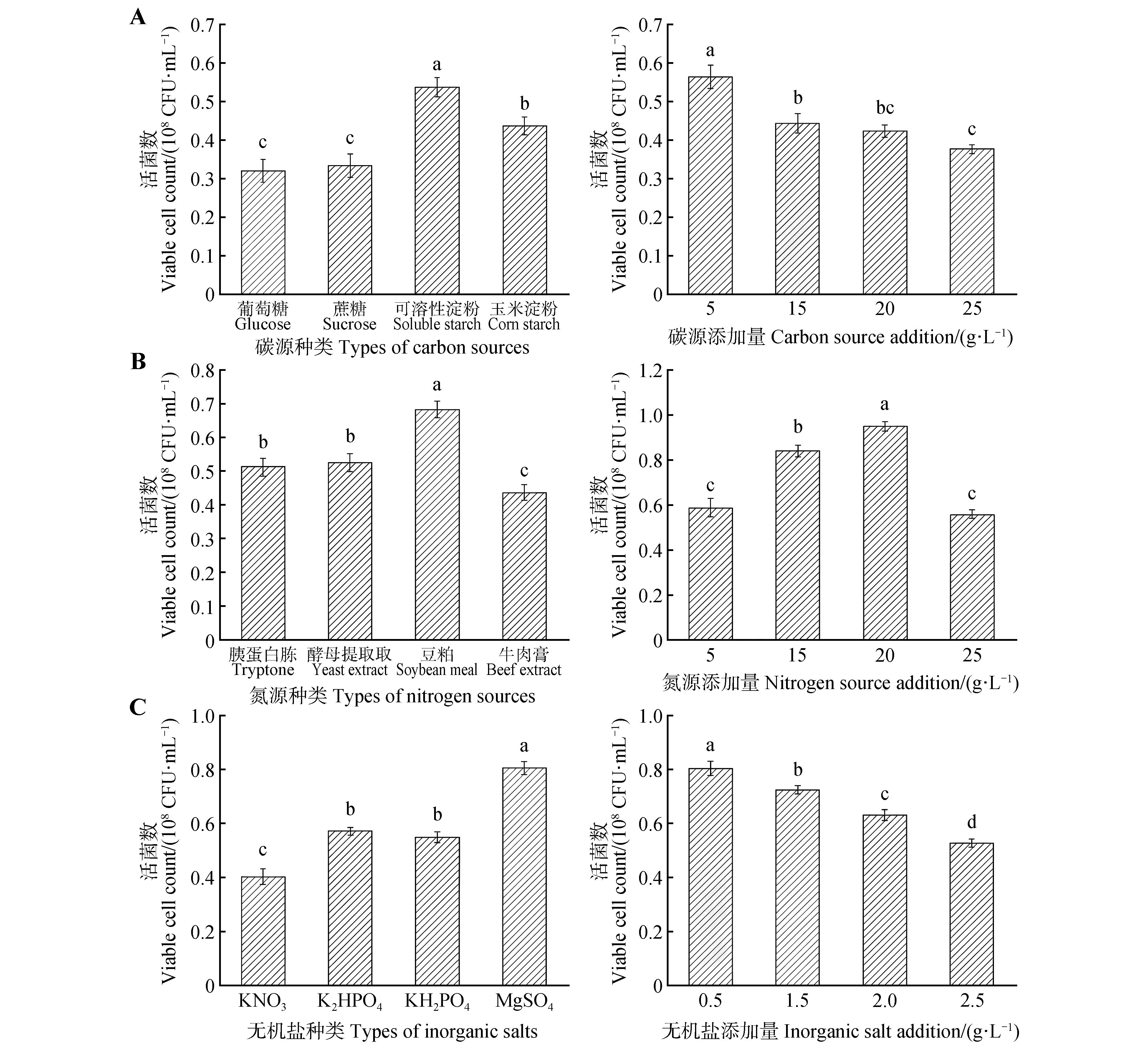
Tomato early blight, caused by Alternaria solani, represents a significant disease that severely impacts both the yield and quality of tomatoes, primarily due to its short latent period and rapid reinfection cycle. In contrast to conventional chemical control methods, biological control offers considerable potential due to its environmentally friendly and sustainable attributes. In this study, a strain of Bacillussubtilis, designated as C08, demonstrating strong antagonistic activity against A.solani, was isolated from the rhizosphere soil of healthy tomato plants. The fermentation conditions were optimized, and a wettable powder formulation was subsequently developed using the fermentation broth as the active ingredient. The results indicated that the formulation achieved high efficacy in controlling tomato early blight, significantly promoted plant growth, enhanced the activities of antioxidant enzymes such as superoxide dismutase(SOD) and peroxidase(POD), and improved soil enzyme activities such as sucrase and urease. These findings suggest that strain C08 holds substantial promise as a biocontrol agent for the sustainable management of tomato early blight.

Key words: Bacillus subtilis, tomato early blight, wettable powder, biological control

CLC Number: