Bulletin of Botanical Research ›› 2026, Vol. 46 ›› Issue (1): 131-144.doi: 10.7525/j.issn.1673-5102.2026.01.012
• Original Paper • Previous Articles Next Articles
Yuhan LIU1, Tingting LI1, Liu YANG1, Te LI1, Gang LIU1, Xiuwei WANG1,2(
)
Received:2025-07-21
Online:2026-01-20
Published:2026-01-20
Contact:
Xiuwei WANG
E-mail:wxgreat@nefu.edu.cn
CLC Number:
Yuhan LIU, Tingting LI, Liu YANG, Te LI, Gang LIU, Xiuwei WANG. Differences in Leaf Stomatal Traits across Plant Life Forms and Stomatal Distribution Types and Their Associations with Leaf Economic Traits[J]. Bulletin of Botanical Research, 2026, 46(1): 131-144.
Add to citation manager EndNote|Ris|BibTeX
URL: https://bbr.nefu.edu.cn/EN/10.7525/j.issn.1673-5102.2026.01.012
Table 1
A summary of 22 common tree species investigated
| 9.2~15.0 | ||||||
| 14.5~19.0 | ||||||
| 20.2~25.6 | ||||||
| 9.6~18.5 | ||||||
| 32.3~37.2 | ||||||
| 6.1~8.2 | ||||||
| 3.3~5.7 | ||||||
| 9.1~18.3 | ||||||
| 12.1~16.8 | ||||||
| 9.1~10.9 | ||||||
| 12.3~22.1 | ||||||
| 22.3~28.6 | ||||||
| 50.5~55.5 | ||||||
| 28.5~33.5 | ||||||
| 3.6~9.0 | ||||||
Table 2
Leaf stomata traits of 22 common tree species investigated
统计指标 Statistical index | 上表皮 Adaxial epidermis | 下表皮 Abaxial epidermis | ||||||
|---|---|---|---|---|---|---|---|---|
气孔密度 DS/(No.·mm-2) | 气孔大小 SS/μm2 | 气孔相对面积ASR/% | 气孔开度 AS/% | 气孔密度 DS/(No.·mm-2) | 气孔大小 SS/μm2 | 气孔相对面积 ASR/% | 气孔开度 AS/% | |
样本量 Sample size | 24 | 24 | 24 | 24 | 109 | 109 | 109 | 109 |
平均值 Mean | 38.06 | 342.87 | 1.22 | 48.53 | 276.75 | 347.95 | 7.41 | 46.14 |
最小值 Minimum | 10.11 | 248.82 | 0.35 | 38.49 | 68.82 | 126.50 | 2.11 | 24.30 |
最大值 Maximum | 97.69 | 605.41 | 2.47 | 55.85 | 1 057.21 | 1 386.50 | 22.49 | 60.21 |
标准误差 Standard error | 4.67 | 18.56 | 0.12 | 0.81 | 21.69 | 21.47 | 0.40 | 0.72 |
偏度 Skewness | 1.18 | 1.27 | 0.61 | -0.74 | 1.70 | 2.55 | 1.50 | -0.32 |
峰度 Kurtosis | 0.63 | 1.52 | -0.77 | 0.76 | 2.07 | 8.13 | 2.39 | -0.26 |
变异系数 Coefficient of variation | 0.60 | 0.27 | 0.50 | 0.08 | 0.82 | 0.64 | 0.57 | 0.16 |
Table 3
Two-way ANOVA results of the effects of life form and stomatal distribution type on stomatal traits
性状 Trait | 效应 Effect | 自由度 df | F | P |
|---|---|---|---|---|
气孔密度 DS | 生活型 Life form | 1 | 7.91 | ** |
| 气孔分布类型 Stomatal distribution type | 1 | 2.31 | 0.13 | |
| 气孔分布类型×生活型 Stomatal distribution type×Life form | 1 | 5.44 | * | |
气孔大小 SS | 生活型 Life form | 1 | 3.40 | 0.07 |
| 气孔分布类型 Stomatal distribution type | 1 | 0.40 | 0.53 | |
| 气孔分布类型×生活型 Stomatal distribution type×Life form | 1 | 0.01 | 0.93 | |
气孔相对面积 ASR | 生活型 Life form | 1 | 3.50 | 0.07 |
| 气孔分布类型 Stomatal distribution type | 1 | 7.50 | ** | |
| 气孔分布类型×生活型 Stomatal distribution type×Life form | 1 | 10.70 | ** | |
气孔开度 AS | 生活型 Life form | 1 | 5.86 | * |
| 气孔分布类型 Stomatal distribution type | 1 | 3.95 | * | |
| 气孔分布类型×生活型 Stomatal distribution type×Life form | 1 | 0.23 | 0.63 |
Table 4
Pearson’s correlation coefficients among stomatal traits and leaf economic traits
特征 Trait | 叶资源经济性状 Leaf economic traits | 气孔特征 Stomatal traits | ||||||||
|---|---|---|---|---|---|---|---|---|---|---|
比叶面积 ASL | 叶面积 AL | 叶片厚度 TL | 叶绿素 含量 Chl | 叶片氮 含量 NL | 干物质 含量 CLDM | 气孔密度 DS | 气孔大小 SS | 气孔相 对面积 ASR | 气孔开度 AS | |
| 气孔密度DS | -0.31** | 0.03 | -0.04 | -0.03 | -0.19* | 0.51** | 1 | |||
| 气孔大小SS | -0.03 | 0.73 | -0.01 | -0.14 | -0.18 | -0.13 | -0.44** | 1 | ||
| 气孔相对面积ASR | -0.37** | 0.13 | 0.05 | -0.15 | -0.36** | 0.42** | 0.77** | 0.12 | 1 | |
| 气孔开度AS | -0.18 | -0.04 | 0.07 | 0.01 | -0.21* | 0.07 | -0.20* | 0.40** | 0.10 | 1 |
Fig.3
Allometric relations of leaf stomatal traitsAll traits were log-transformed to meet the normality assumption. The CI represented the 95% confidence interval for the slope,the asterisks after R2 (*) indicated significance levels of SMA regression (*. P<0.05;***. P<0.001); values in parentheses showed P for testing slope deviation from 1(or -1),these represented two distinct statistical tests.
Table 5
SMA regressions of stomatal traits of different life forms and stomatal distribution types
性状 Trait | 生活型 Life form | 气孔分布类型 Stomatal distribution type | ||||||
|---|---|---|---|---|---|---|---|---|
乔木 Tree | 灌木 Shrub | 单面气孔型 Hypostomaty | 双面气孔型 Amphistomaty | |||||
| R2 | P | R2 | P | R2 | P | R2 | P | |
| DS-SS | 0.50 | ** | 0.27 | 0.37 | 0.53 | *** | 0.16 | 0.50 |
| DS-ASR | 0.53 | *** | 0 | 0.95 | 0.45 | ** | 0.46 | 0.21 |
| AS-SS | 0.16 | 0.11 | 0.36 | 0.28 | 0.25 | * | 0.09 | 0.62 |
Fig.4
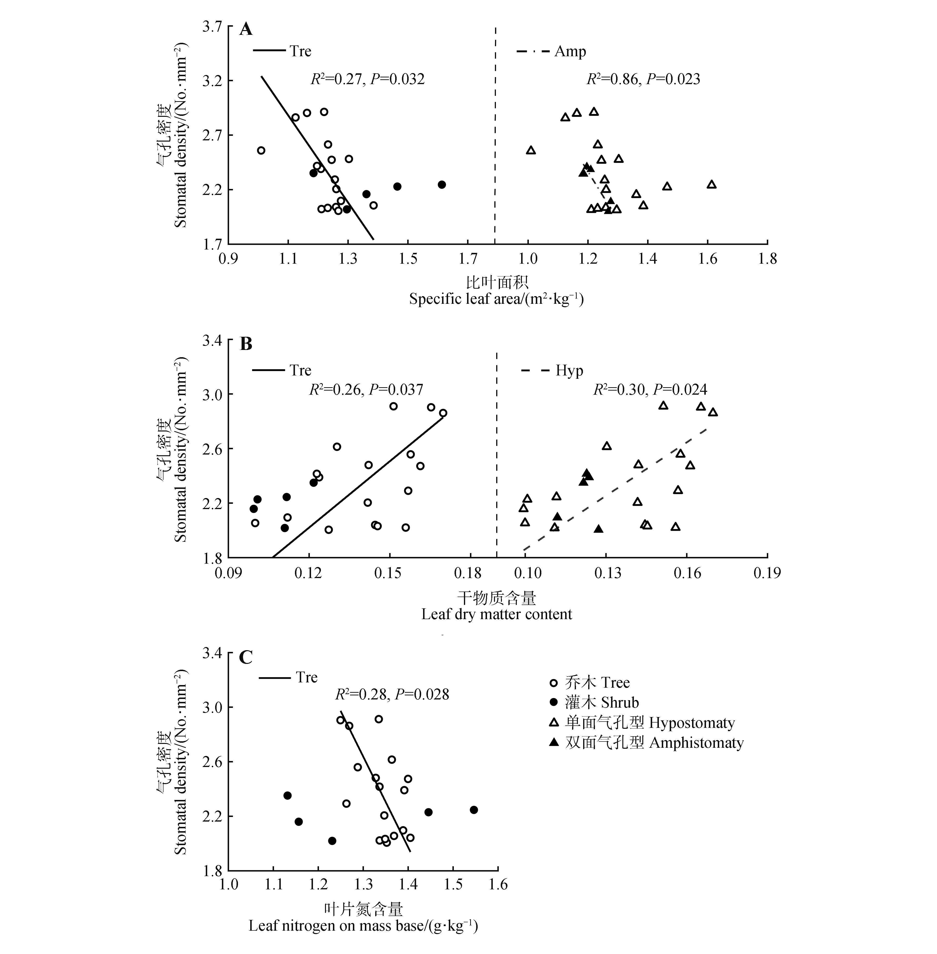
SMA regressions between stomatal density and specific leaf area,leaf nitrogen on mass base and leaf dry matter content of plants with different life forms and stomatal distribution typesAll traits were log-transformed to meet the normality assumption. Only significant regression relationships were listed(P<0.05).
Fig.5
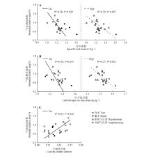
SMA regressions between stomatal relative area and specific leaf area,leaf nitrogen on mass base and leaf dry matter content of plants with different life forms and stomatal distribution typesAll traits were log-transformed to meet the normality assumption. Only significant regression relationships were listed(P<0.05).
| [1] | RAVEN J A.Selection pressures on stomatal evolution[J].New Phytologist,2002,153(3):371-386. |
| [2] | MCADAM S A M, BRODRIBB T J.Linking turgor with ABA biosynthesis:implications for stomatal responses to vapor pressure deficit across land plants[J].Plant Physiology,2016,171(3):2008-2016. |
| [3] | MARTIN C, GLOVER B J.Functional aspects of cell patterning in aerial epidermis[J].Current Opinion in Plant Biology,2007,10(1):70-82. |
| [4] | LIU C C, SACK L, LI Y,et al.Relationships of stomatal morphology to the environment across plant communities[J].Nature Communications,2023,14(1):6629. |
| [5] | MIYASHITA K, TANAKAMARU S, MAITANI T,et al.Recovery responses of photosynthesis,transpiration,and stomatal conductance in kidney bean following drought stress[J].Environmental and Experimental Botany,2005,53(2):205-214. |
| [6] | CASSON S A, HETHERINGTON A M.Environmental regulation of stomatal development[J].Current Opinion in Plant Biology,2010,13(1):90-95. |
| [7] | HAWORTH M, ELLIOTT-KINGSTON C, MCELWAIN J C.Stomatal control as a driver of plant evolution[J].Journal of Experimental Botany,2011,62(8):2419-2423. |
| [8] | HETHERINGTON A M, WOODWARD F I.The role of stomata in sensing and driving environmental change[J].Nature,2003,424(6951):901-908. |
| [9] | FRANKS P J, BEERLING D J.Maximum leaf conductance driven by CO2 effects on stomatal size and density over geologic time[J].Proceedings of the National Academy of Sciences of the United States of America,2009,106(25):10343-10347. |
| [10] | SACK L, BUCKLEY T N.The developmental basis of stomatal density and flux[J].Plant Physiology,2016,171(4):2358-2363. |
| [11] | PATHOUMTHONG P, ZHANG Z, ROY S J,et al.Rapid non-destructive method to phenotype stomatal traits[J].Plant Methods,2023,19(1):36. |
| [12] | LI Q, HOU J H, HE N P,et al.Changes in leaf stomatal traits of different aged temperate forest stands[J].Journal of Forestry Research,2021,32(3):927-936. |
| [13] | BUCHER S F, KÖNIG P, MENZEL A,et al.Traits and climate are associated with first flowering day in herbaceous species along elevational gradients[J].Ecology and Evolution,2018,8(2):1147-1158. |
| [14] | DRAKE P L, FROEND R H, FRANKS P J.Smaller,faster stomata:scaling of stomatal size,rate of response,and stomatal conductance[J].Journal of Experimental Botany,2013,64(2):495-505. |
| [15] | 倪榕蔚,甘玉婷,杨桂梅,等.热岛效应下亚热带城市植被叶气孔权衡特征及其与叶功能性状的关系[J].生态学报,2023,43(13):5336-5346. |
| NI R W, GAN Y T, YANG G M,et al.Trade-off characteristics of stomata of subtropical urban vegetation and its relationship with leaf functional traits under heat island effect[J].Acta Ecologica Sinica,2023,43(13):5336-5346. | |
| [16] | 杨克彤,常海龙,陈国鹏,等.兰州市主要绿化植物气孔性状特征[J].植物生态学报,2021,45(2):187-196. |
| YANG K T, CHANG H L, CHEN G P,et al.Stomatal traits of main greening plant species in Lanzhou[J].Chinese Journal of Plant Ecology,2021,45(2):187-196. | |
| [17] | DRAKE P L, DE BOER H J, SCHYMANSKI S J,et al.Two sides to every leaf:water and CO2 transport in hypostomatous and amphistomatous leaves[J].New Phytologist,2019,222(3):1179-1187. |
| [18] | MUIR C D.Making pore choices:repeated regime shifts in stomatal ratio[J].Proceedings of the Royal Society B:Biological Sciences,2015,282(1813):20151498. |
| [19] | BUCKLEY T N, JOHN G P, SCOFFONI C,et al.How does leaf anatomy influence water transport outside the xylem?[J].Plant Physiology,2015,168(4):1616-1635. |
| [20] | 王青,刘聪聪,何念鹏,等.内蒙古高原植物气孔性状的空间变异及其适应机制[J].生态学报,2023,43(9):3766-3777. |
| WANG Q, LIU C C, HE N P,et al.Spatial variations and adaptive mechanisms of plant stomatal traits on the Inner Mongolian Plateau[J].Acta Ecologica Sinica,2023,43(9):3766-3777. | |
| [21] | LI L, MCCORMACK M L, MA C G,et al.Leaf economics and hydraulic traits are decoupled in five species-rich tropical-subtropical forests[J].Ecology Letters,2015,18(9):899-906. |
| [22] | WRIGHT I J, REICH P B, WESTOBY M,et al.The worldwide leaf economics spectrum[J].Nature,2004,428(6985):821-827. |
| [23] | BUCHER S F, AUERSWALD K, GRÜN-WENZEL C,et al.Stomatal traits relate to habitat preferences of herbaceous species in a temperate climate[J].Flora,2017,229:107-115. |
| [24] | YIN Q L, WANG L, LEI M L,et al.The relationships between leaf economics and hydraulic traits of woody plants depend on water availability[J].Science of The Total Environment,2018,621:245-252. |
| [25] | LIU C C, LI Y, XU L,et al.Variation in leaf morphological,stomatal,and anatomical traits and their relationships in temperate and subtropical forests[J].Scientific Reports,2019,9(1):5803. |
| [26] | ZHANG S B, GUAN Z J, SUN M,et al.Evolutionary association of stomatal traits with leaf vein density in Paphiopedilum,Orchidaceae[J].PLoS One,2012,7(6):e40080. |
| [27] | TRICKER P J, TREWIN H, KULL O,et al.Stomatal conductance and not stomatal density determines the long-term reduction in leaf transpiration of poplar in elevated CO2 [J].Oecologia,2005,143(4):652-660. |
| [28] | 王瑞丽,于贵瑞,何念鹏,等.气孔特征与叶片功能性状之间关联性沿海拔梯度的变化规律:以长白山为例[J].生态学报,2016,36(8):2175-2184. |
| WANG R L, YU G R, HE N P,et al.Altitudinal variation in the covariation of stomatal traits with leaf functional traits in Changbai Mountain[J].Acta Ecologica Sinica,2016,36(8):2175-2184. | |
| [29] | 车应弟,刘旻霞,李俐蓉,等.基于功能性状及系统发育的亚高寒草甸群落构建[J].植物生态学报.2017,41(11):1157-1167. |
| CHE Y D, LIU M X, LI L R,et al.Exploring the community assembly of subalpine meadow communities based on functional traits and community phylogeny[J].Chinese Journal of Plant Ecology,2017,41(11):1157-1167. | |
| [30] | ARNON D I.Copper enzymes in isolated chloroplasts.Polyphenoloxidase in Beta Vulgaris [J].Plant Physiology,1949,24(1):1-15. |
| [31] | 张韫.土壤·水·植物理化分析教程[M].北京:中国林业出版社,2011. |
| ZHANG Y.Soil,water and plant physicochemical analysis course[M].Beijing:China Forestry Publishing House,2011. | |
| [32] | XIONG D L, FLEXAS J.From one side to two sides:the effects of stomatal distribution on photosynthesis[J].New Phytologist,2020,228(6):1754-1766. |
| [33] | MOTT K A, GIBSON A C, O'LEARY J W.The adaptive significance of amphistomatic leaves[J].Plant,Cell & Environment,1982,5(6):455-460. |
| [34] | HARRISON E L, CUBAS L A, GRAY J E,et al.The influence of stomatal morphology and distribution on photosynthetic gas exchange[J].The Plant Journal,2020,101(4):768-779. |
| [35] | PARKHURST D F.The adaptive significance of stomatal occurrence on one or both surfaces of leaves[J].Journal of Ecology,1978,66(2):367-383. |
| [36] | PATHARE V S, KOTEYEVA N, COUSINS A B.Increased adaxial stomatal density is associated with greater mesophyll surface area exposed to intercellular air spaces and mesophyll conductance in diverse C4 grasses[J].New Phytologist,2020,225(1):169-182. |
| [37] | 吴冰洁,刘玉军,姜闯道,等.叶片生长进程中气孔发育对叶温调节的影响[J].植物生理学报,2015(1):119-126. |
| WU B J, LIU Y J, JIANG C D,et al.Effects of stomatal development on leaf temperature during leaf expansion[J].Plant Physiology Journal,2015(1):119-126. | |
| [38] | BRODRIBB T J, JORDAN G J, CARPENTER R J.Unified changes in cell size permit coordinated leaf evolution[J].New Phytologist,2013,199(2):559-570. |
| [39] | 杨克彤,陈国鹏,李广,等.兰州市典型绿化树种叶性状间的权衡关系[J].生态学杂志,2020,39(5):1518-1526. |
| YANG K T, CHEN G P, LI G,et al.Trade-off among leaf traits of typical greening tree species in Lanzhou[J].Chinese Journal of Ecology,2020,39(5):1518-1526. | |
| [40] | SMITH W K, VOGELMANN T C, DELUCIA E H,et al.Leaf form and photosynthesis[J].BioScience,1997,47(11):785-793. |
| [41] | FAJARDO A, SIEFERT A.Phenological variation of leaf functional traits within species[J].Oecologia,2016, 180(4):951-959. |
| [42] | XIE J B, WANG Z Y, LI Y.Stomatal opening ratio mediates trait coordinating network adaptation to environmental gradients[J].New Phytologist,2022,235(3):907-922. |
| [43] | LORANGER J, SHIPLEY B.Interspecific covariation between stomatal density and other functional leaf traits in a local flora[J].Botany,2010,88(1):30-38. |
| [44] | BEERLING D J, KELLY C K.Evolutionary comparative analyses of the relationship between leaf structure and function[J].New Phytologist,1996,134(1):35-51. |
| [45] | LUO J X, ZANG R G, LI C Y.Physiological and morphological variations of Picea asperata populations originating from different altitudes in the mountains of southwestern China[J].Forest Ecology and Management,2006,221(1/2/3):285-290. |
| [46] | FRANKS P J, FARQUHAR G D.The mechanical diversity of stomata and its significance in gas-exchange control[J].Plant Physiology,2007,143(1):78-87. |
| [47] | SJÖMAN H, MORGENROTH J, SJÖMAN J D,et al.Diversification of the urban forest:can we afford to exclude exotic tree species?[J].Urban Forestry & Urban Greening,2016,18:237-241. |
| [1] | Kai ZHANG, Xiaodong YANG, Mierkamili MAIMAITI, Yuejuan ZHANG, Aysajan ABDUSALAM. Divergence in Floristics and Life-history Strategies of Ephemeral Plants in Xinjiang [J]. Bulletin of Botanical Research, 2026, 46(2): 310-323. |
| [2] | Xinyu YANG, Shuo ZHANG, Xiwen ZHANG, Qingshan ZHENG, Rilige SU, Jiacun GU. Ecological Stoichiometric Characteristics of Leaves, Branches, and Fine Roots of Typical Trees and Shrubs in Baiyinaobao National Nature Reserve [J]. Bulletin of Botanical Research, 2025, 45(5): 795-806. |
| [3] | YU Shun-Li;FANG Wei-Wei;ZEREN Wangmu*;Ni Zhen;ZHANG Xiao-Feng. Fruit Types of Angiosperm and Their 4 Life Forms in Tibet and Its Southeastern Region [J]. Bulletin of Botanical Research, 2013, 33(2): 154-158. |
| Viewed | ||||||
|
Full text |
|
|||||
|
Abstract |
|
|||||