Welcome to Bulletin of Botanical Research! Today is Share:

Bulletin of Botanical Research ›› 2025, Vol. 45 ›› Issue (5): 769-782.doi: 10.7525/j.issn.1673-5102.2025.05.011

• Original Paper • Previous Articles     Next Articles

Carbon Density and C, N, P Stoichiometric Characteristics of Forest Litter in Different Succession Stages in the Xiaoxing'an Mountains

Wenbiao DUAN, Zhizhen WANG, Jiayi GAO, Lixin CHEN, Yanrui FU()   

  1. College of Forestry,Northeast Forestry University,Harbin 150040
  • Received:2024-11-22 Online:2025-09-20 Published:2025-09-28
  • Contact: Yanrui FU E-mail:fuyanrui@nefu.edu.cn

Abstract:

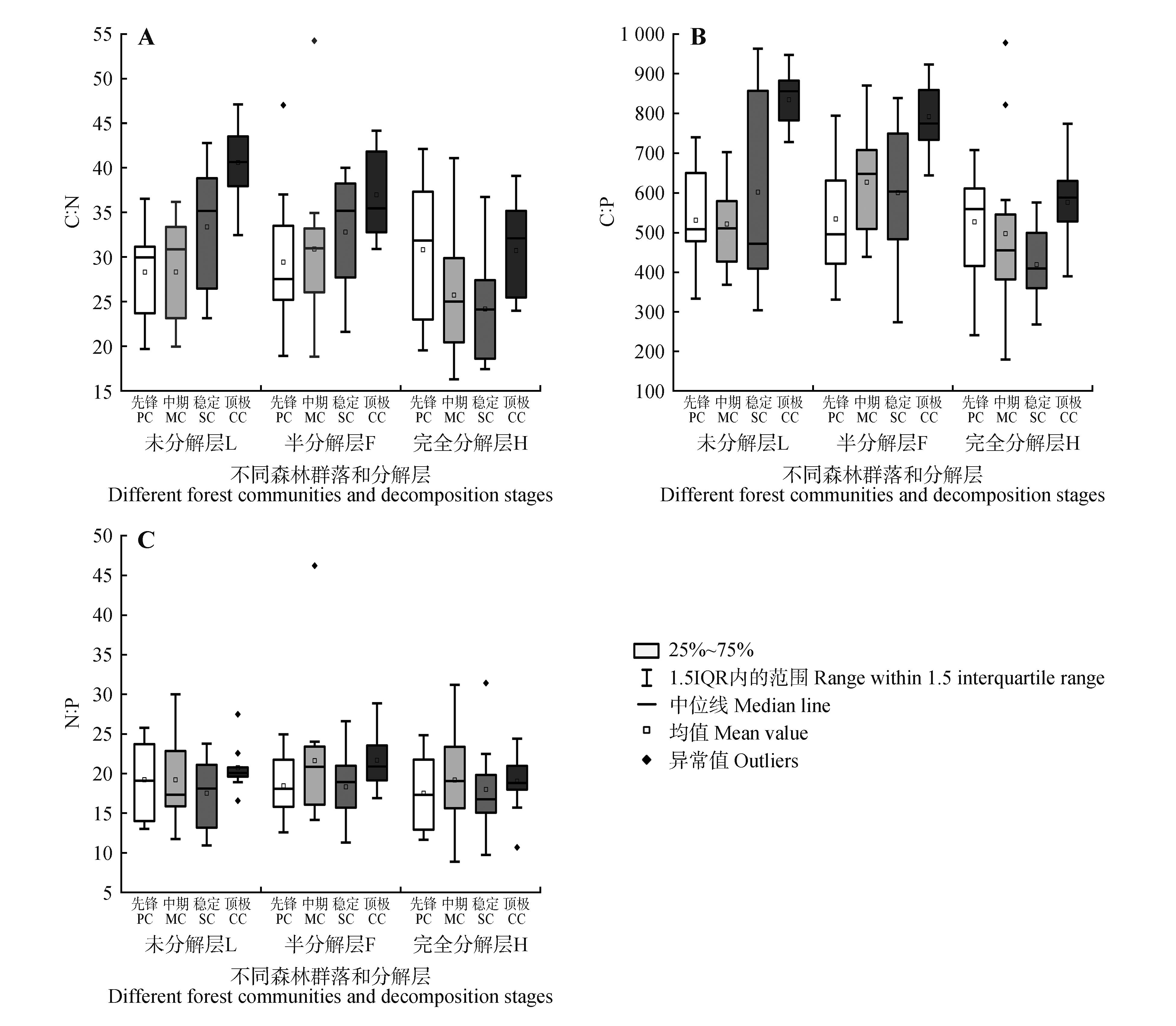
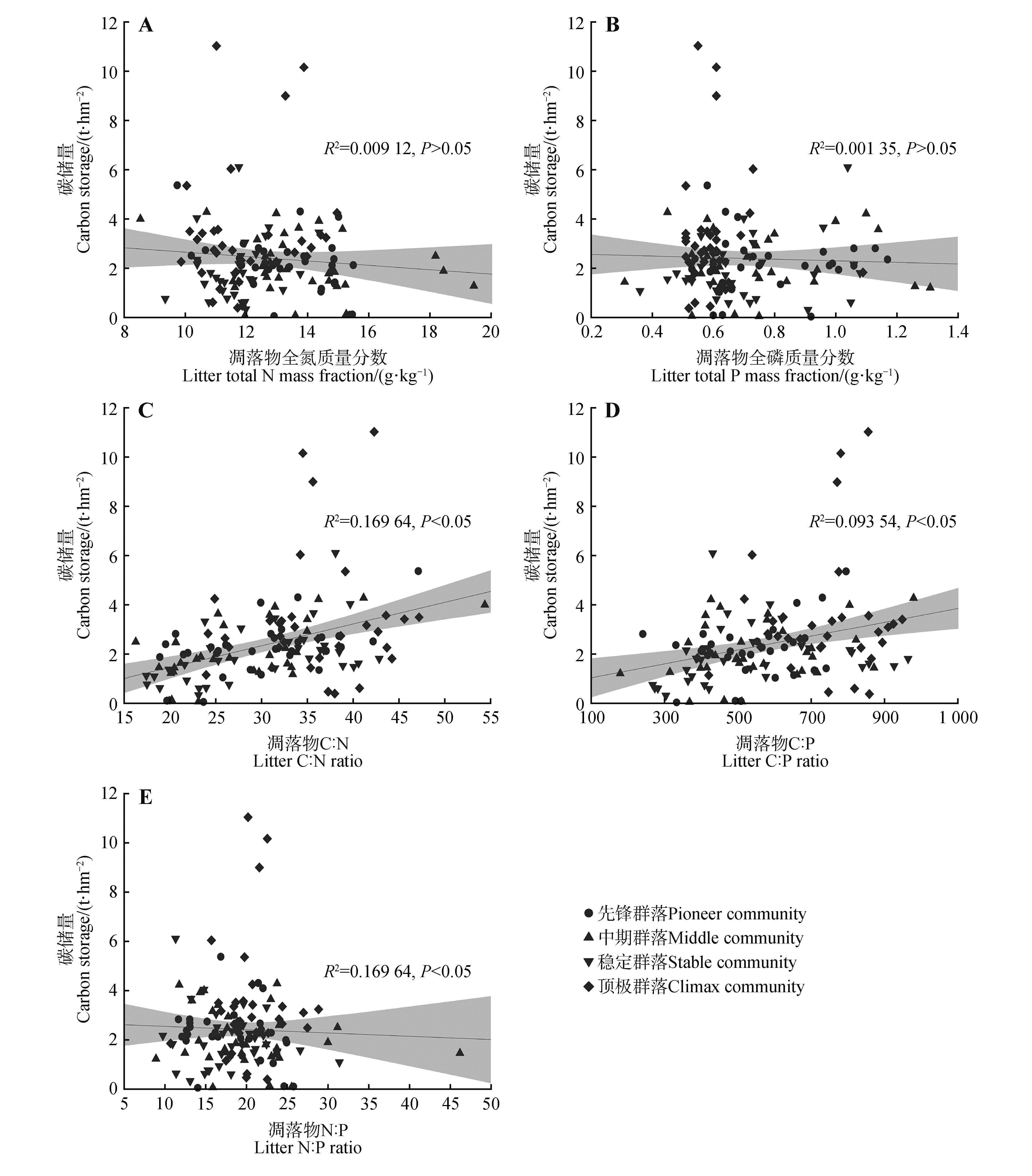
Litter is an active carbon pool in forest ecosystems, and the change of litter carbon storage directly affects the carbon sink capacity of forest ecosystems. The purpose of this study was to analyze the dynamic characteristics of litter carbon storage and stoichiometric characteristics of four forest types(natural Betula costata secondary forest, secondary broad-leaved forests, secondary coniferous-broadleaved mixed forest and original broad-leaved Korean pine forest) in different succession stages of mesophytic secondary succession of broad-leaved Korean pine forest. The aim of this study was to illustrate the effect of ecological stoichiometric characteristics of litter on its carbon storage, revealing the role of litter in ecosystem carbon sink capacity and nutrient cycling. Four forest plant communities with different succession stages in broad-leaved Korean pine forest were selected as the research objects. The standing mass, carbon storage and stoichiometric characteristics of each layer(fresh litter layer, fermentative layer, humus layer) in July and October, 2021, and May and August, 2022 were analyzed. Redundancy analysis was used to rank the effects of litter stoichiometric characteristics and upper vegetation community characteristics on litter carbon storage. Linear regression analysis was used to quantify the direct effects of litter stoichiometric characteristics on carbon storage. The main results were as follows: The total carbon storage of litter showed a trend of “decrease-increase” with the positive succession, predominantly reaching its maximum in the original broad-leaved Korean pine forest(climax community). The litter of the climax community showed the characteristics of high C content and low P content, and the C∶N and C∶P were the highest. Redundancy analysis revealed that the conifer-to-broadleaf tree species ratio was the key factor explaining litter carbon storage variation in upper vegetation indicators, showing a positive correlation with litter carbon storage. Linear regression analysis showed that litter carbon storage was positively correlated with C∶N and C∶P, and negatively correlated with N∶P. C∶N and N∶P had the highest explanatory power for carbon storage, with R2 of 0.17. This study indicated that the litter carbon storage of the climax community was higher than that of the other three communities, which was closely related to the characteristics of high C content and low P content in the litter and the high conifer-to-broadleaf tree species ratio in the climax community.

Key words: carbon storage, stoichiometric characteristics, broad leaved Korean pine forest, litter, succession

CLC Number: