Welcome to Bulletin of Botanical Research! Today is Share:

Bulletin of Botanical Research ›› 2025, Vol. 45 ›› Issue (3): 419-432.doi: 10.7525/j.issn.1673-5102.2025.03.012

• Original Paper • Previous Articles     Next Articles

Effects of the Symbiosis between Arbuscular Mycorrhizal Fungi and Fraxinus malacophylla on Spatiotemporal Dynamics of Carbon Component Content in Karst Rocky Desertification Soils

Shuang LUO1, Shaojun WANG1(), Mengjie LAN1, Rui LI1, Jiahui XIA1, Shengqiu YANG1, Xiaofei GUO2   

  1. 1.College of Ecology and Environment,Southwest Forestry University/Key Laboratory of Wetland Protection,Restoration and Ecological Service in the Plateau Region of Yunnan Province,Kunming 650224
    2.College of Soil and Water Conservation,Southwest Forestry University,Kunming 650224
  • Received:2024-12-31 Online:2025-05-20 Published:2025-05-23
  • Contact: Shaojun WANG E-mail:shaojunwang2009@163.com

Abstract:

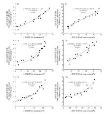
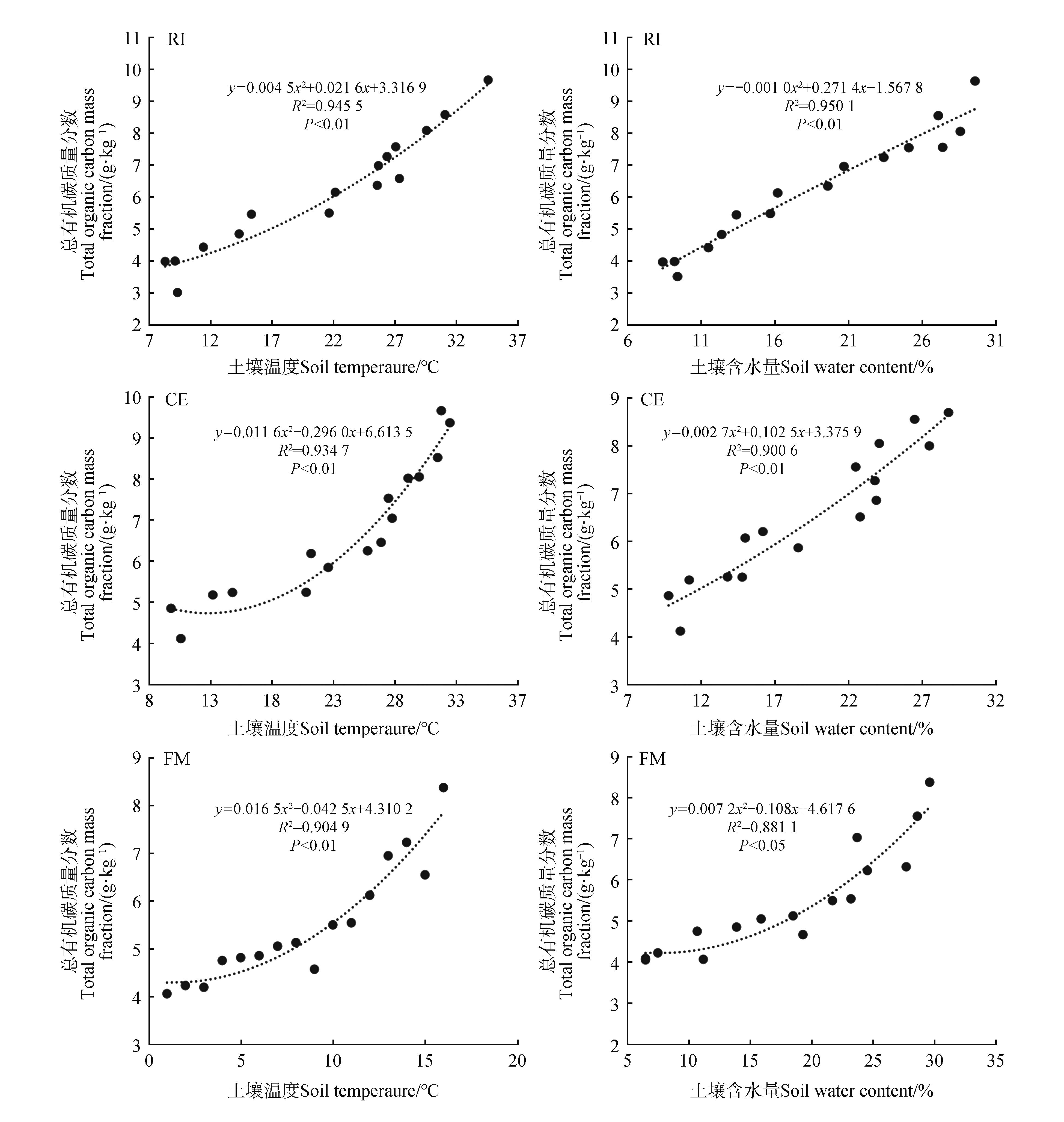
This study aimed to explore the influence of changes in soil physicochemical properties caused by arbuscular mycorrhiza(AM) symbiosis on carbon component accumulation in Karst rocky desertification soils. Native tree species Fraxinus malacophylla was selected as the host plant. Four AM inoculation treatments were set up as following: Funneliformis mosseae+agro-bio-fertilizer(FM), Claroideoglomus etunicatum+agro-bio-fertilizer(CE), Rhizophagus intraradices + agro-bio-fertilizer(RI), and control(CK, only agro-bio-fertilizer and without AM fungi inoculation). The coupling relationship between the temporal-spatial dynamics of carbon components(total organic carbon, microbial biomass carbon, and readily oxidizable organic carbon) contents and soil physicochemical properties under inoculation treatments was explored. The results showed that:(1) AM fungal inoculation significantly increased the accumulation of soil carbon components(P<0.05). Compared with the control, the average increment of soil carbon components under inoculation treatments was ranked as: RI(38.05%-139.34%)>CE(19.96%-88.52%)>FM(9.56%-22.95%).(2)The seasonal changes of each carbon component content under inoculation treatments presented a “single peak” pattern, with the maximum peak appearing in June. The content of each carbon component decreased along with soil profile, and the amplitude of CE was the largest(15.70%-67.44%).(3)AM fungal inoculation significantly affected the accumulation of organic carbon components due to significant changes in soil temperature and water content(P<0.05). Compared with the control, the ratio of increase in soil temperature and water content under inoculation treatments was listed in a decreasing order of RI>CE>FM. Polynomial regression analysis indicated that total organic carbon content in soils significantly increased with the increase of soil temperature and water content(P<0.05). The explanatory powers of soil temperature and water content on the changes of soil carbon pool were different under different inoculation treatments, of which the explanatory power of soil temperature was listed in a decreasing order: RI(94.55%)>CE(93.47%)>FM(90.49%); that of soil water content: RI(95.01%)>CE(90.06%)>FM(88.11%).(4)Under inoculation treatments, soil organic carbon content was correlated negatively with soil pH and bulk density, and significantly positively with soil carbon components, soil temperature, water content, content of ammonium nitrogen and nitrate nitrogen, colonization rate, and hyphal lodge density(P<0.05). The principal component results indicated that soil carbon components, soil water content, and soil temperature were the main factors affecting accumulation of soil organic carbon content. Therefore, AM fungi symbiosis with F. malacophylla mainly significantly regulated the temporal-spatial dynamics of carbon pool accumulation in rocky desertification soil by mediating changes in soil carbon and nitrogen contents.

Key words: Fraxinusmalacophylla, AM fungi, soil carbon pool, temporal-spatial dynamics

CLC Number: